Đề thi môn toán vào lớp 10 tại TPHCM:

Đề thi toán vào lớp 10 công lập TPHCM.

Đề thi toán vào lớp 10 công lập TPHCM.
Nhận định về đề thi
Thầy Đặng Hoàng Dư, giáo viên toán tại TPHCM đánh giá đề toàn kỳ thi lớp 10 tại TPHCM năm nay có độ khó tương đương với đề thi năm 2021, 2022 nhưng khả năng phân hóa tốt hơn.
Đề thi gồm có 8 câu hỏi, giống cấu trúc đề thi cũ không có gì thay đổi. Trong đó, đa số các dạng toán thuộc diện quen thuộc.
Câu 1,2,3,4,5,6 quá quen thuộc. Câu 3 nằm trong đề thi học kì và thi thử của các năm trước hầu như giáo viên nào cũng ôn qua cho học sinh.
Câu 7 mang tính phân loại tốt. Câu 8 năm nay xuất hiện câu hỏi mới ở phần hình câu c ý 2 là chứng minh 3 điểm thẳng hàng Đây là câu khó mang tính chất phân loại cao. Đề thi đã thể hiện sự phân hóa học sinh khá tốt, phù hợp với mục tiêu của một kỳ thi tuyển.
“Với đề thi này thí sinh sẽ dễ dàng đạt được 6 điểm nhưng để đạt được 8 điểm thì không dễ”, thầy Dư nhận định.
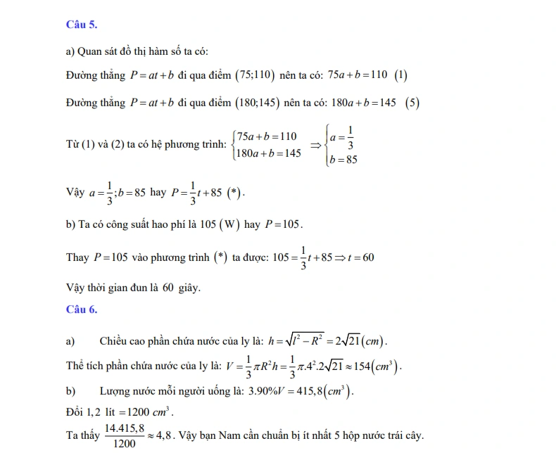
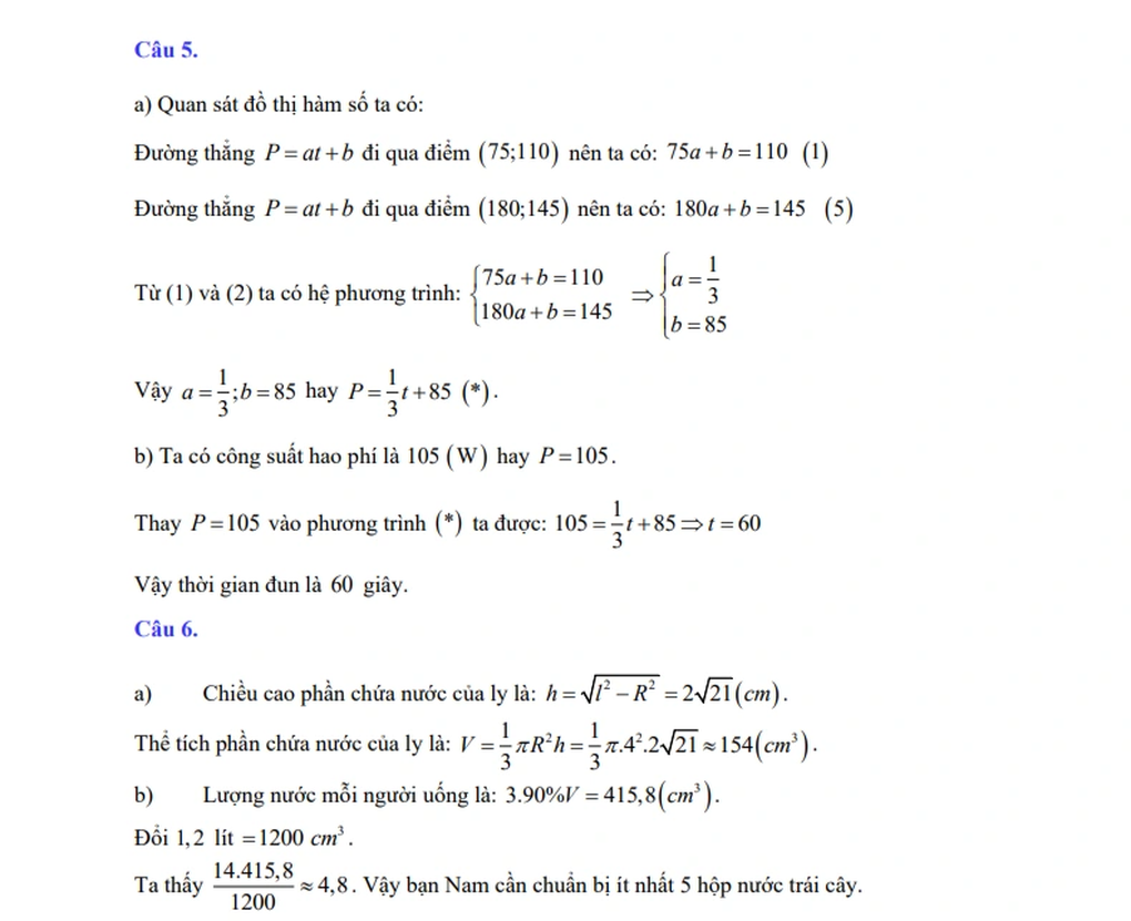
Đáp án gợi ý do Hệ thống giáo dục HOCMAI thực hiện:

Đáp án gợi ý môn toán vào lớp 10 TPHCM.

Đáp án gợi ý môn toán vào lớp 10 TPHCM.

Đáp án gợi ý môn toán vào lớp 10 TPHCM.

Đáp án gợi ý môn toán vào lớp 10 TPHCM.



Thí sinh cho rằng đề không khó
Sau khi kết thúc giờ làm bài thi môn toán, tại điểm thi Trường THCS Lê Lợi (quận 3, TPHCM), đa số các thí sinh nhận xét đề thi khó hơn so với mọi năm.
Theo em Nguyễn Hoàng Phú Cường (học sinh trường THCS Lê Lợi Hai Bà Trưng), đề thi có tính phân loại cao. Đặc biệt những câu khó, lấy điểm 8 trở lên thường cho học sinh giỏi.
“Em nghĩ bài thi này em có thể đạt 6-7 điểm. Trong đó, các câu khó nhất em nghĩ nằm ở phần hình học. Về điểm chuẩn thì em đoán năm nay điểm sẽ tăng do hai môn ngữ văn và tiếng Anh rất dễ”, Phú Cường nói.

Phòng thi môn toán tại Trường THPT Trưng Vương (quận 1, TPHCM) (Ảnh: Nam Anh).

Thí sinh thi môn toán vào lớp 10 tại Trường THPT Trưng Vương (quận 1, TPHCM) (Ảnh: Nam Anh).
Huỳnh Hoàng Nhã Kỹ (học sinh Trường THCS Đoàn Thị Điểm) nhận xét rằng đề thi không quá khó đối với em. Nhã Kỳ đã hoàn thành bài thi sớm 15 phút và còn thời gian để dò lại kết quả.
“Em nghĩ điểm chuẩn sẽ tăng vì đề không quá khó. Em tập trung vào làm phần số học, còn phần hình thì chỉ làm tốt được câu a thôi”, Nhã Kỳ bộc bạch.
Em Đinh Bảo Hân (học sinh trường THCS Lê Lợi cho hay em khá yếu môn toán thực tế nên rất dễ sai phần này trong bài. “Bản thân em thì nghĩ điểm chuẩn sẽ giữ nguyên hoặc nếu tăng chỉ tăng 1 điểm thôi vì đề thi cũng không quá khác biệt so với mọi năm”, Bảo Hân nhận định.

Thí sinh ra khỏi phòng thi môn toán tại điểm thi Trường THCS Lê Lợi (quận 3, TPHCM) (Ảnh: Nguyễn Vy).