Đề thi tuyển sinh môn Toán vào 10 Quảng Ninh năm học 2024-2025 chính thức được Đọc tài liệu cập nhật nhanh nhất kèm đáp án chi tiết. Tham khảo ngay nội dung đề thi và đáp án bên dưới.
Đề thi vào 10 môn toán Quảng Ninh 2024
Kỳ thi tuyển sinh vào lớp 10 của tỉnh sẽ diễn ra trong thời gian tới. Đề thi vào lớp 10 môn Toán tỉnh Quảng Ninh 2024 chính thức sẽ được cập nhật ngay lập tức sau thời gian làm bài.
ĐÁP ÁN THAM KHẢO
Đáp án do cô Ngô Huyền Thư vừa giải.

Xem thêm thông tin tuyển sinh
- Điểm chuẩn lớp 10 năm 2024 Quảng Ninh
- Đề thi tuyển sinh lớp 10 môn Anh Quảng Ninh
- Đề thi tuyển sinh lớp 10 môn văn Quảng Ninh
- Điểm thi tuyển sinh lớp 10 năm 2024 Quảng Ninh
Đề thi vào 10 môn toán Quảng Ninh 2023
ĐỀ THI

Đề và đáp án tham khảo sẽ được chúng tôi cập nhật ngay sau thời gian diễn ra chính thức của kỳ thi năm nay, Chúc các em có một kết quả thật tốt.
ĐÁP ÁN THAM KHẢO
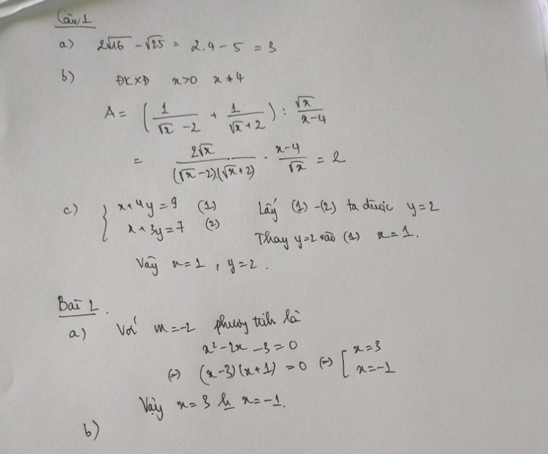
Câu 1.
a) (2sqrt{9} – sqrt{16} = 2.3 – 4 = 2)
b) (y = ax^2) đi qua điểm A (1; 2)
(=> 2 = a.1^2 => a = 2)
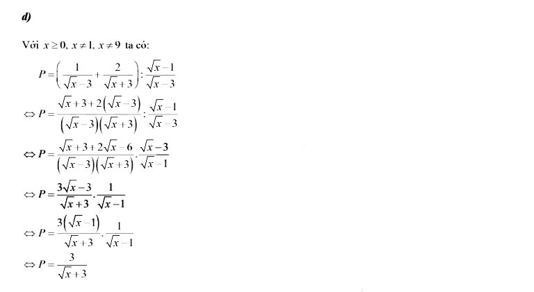
c)
(left{ matrix{ 2x+y = 7 hfill cr x – 2y = -4 hfill cr} right. ⇔ left{ matrix{ 2x+y = 7 hfill cr 2x – 4y = -8 hfill cr} right. ⇔ left{ matrix{ 5y = 15 hfill cr 2x – 4y = -8 hfill cr} right. ⇔ left{ matrix{ y = 3 hfill cr x = 2 hfill cr} right. ) 
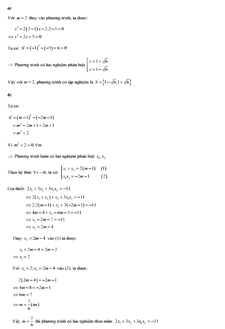
Câu 2.

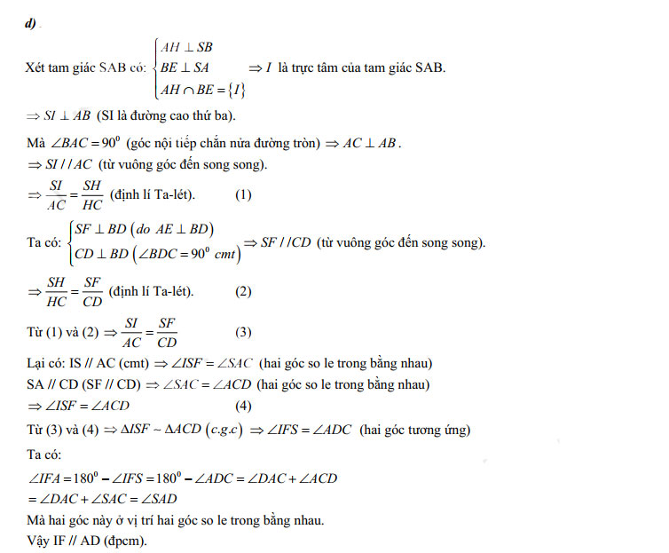
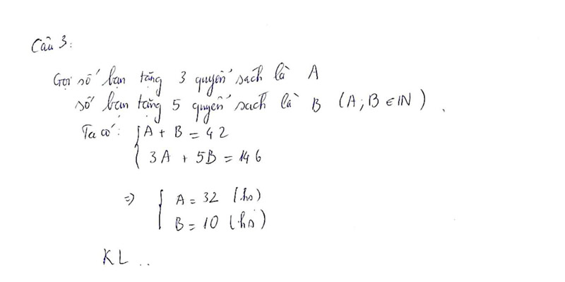
Câu 3.

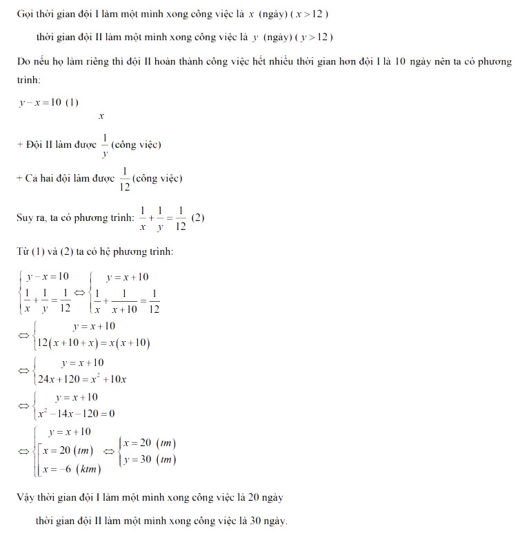
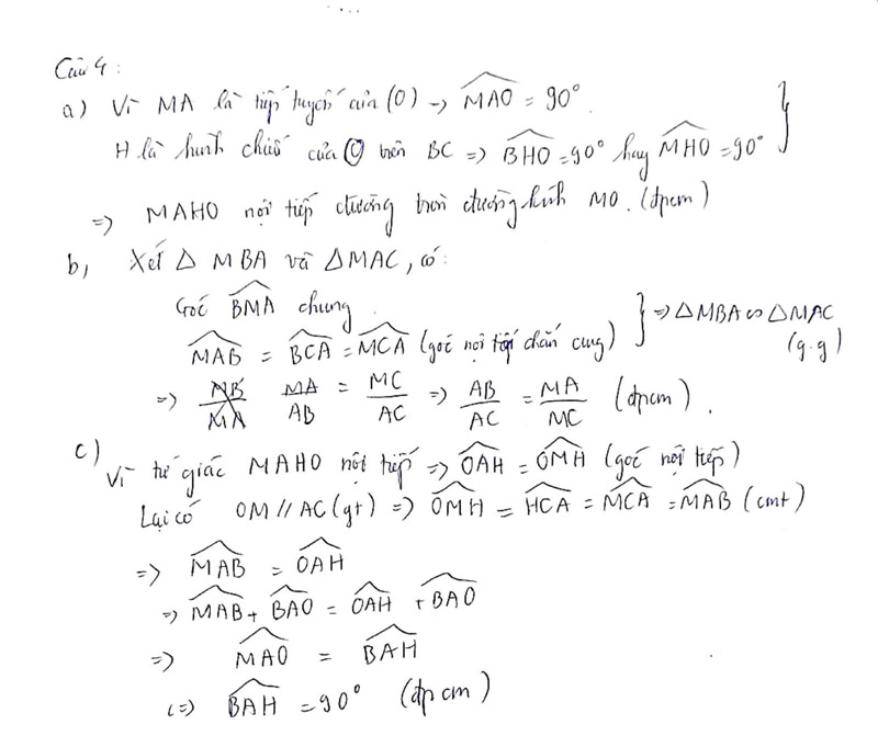
Câu 4


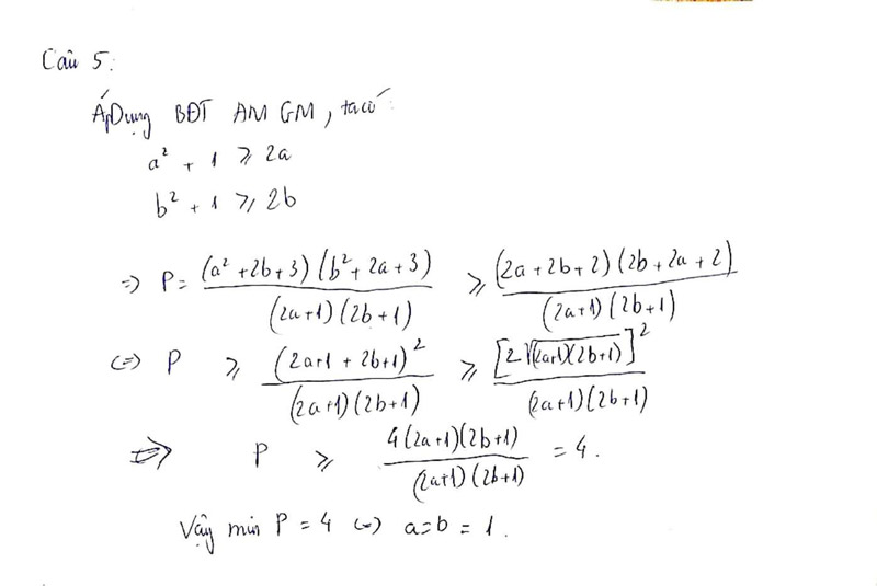
Câu 5.

Đề thi tuyển sinh lớp 10 môn Toán Quảng Ninh 2022

Đáp án
Câu 1.
a) 2sqrt{9} – sqrt{4} = 2.3 – 3 = 2
b) (A=left(dfrac{1}{sqrt{x}-1}+dfrac{1}{sqrt{x}+1}right): dfrac{2}{x-1} = left(dfrac{sqrt{x}+1}{(sqrt{x}-1)(sqrt{x}+1)}+dfrac{(sqrt{x}-1)}{(sqrt{x}-1)(sqrt{x}+1)}right): dfrac{2}{x-1} =dfrac{2sqrt{x}}{x-1}.dfrac{x-1}{2}=sqrt{x})
Vậy A = √x
c) Đường thẳng (d): y = 2x + 3m đi qua điểm B(1;5)
hay 5 = 2.1 + 3m ⇔ 3m = 3 ⇔ m = 1
Vậy với m = 1 là giá trị cần tìm.
d) (left{ matrix{ 2x – y = 7 hfill cr x + y = 2 hfill cr} right.) ⇔(left{ matrix{ 3x = 9 hfill cr x + y = 2 hfill cr} right.)
⇔(left{ matrix{ x = 3 hfill cr x + y = 2 hfill cr} right.)⇔(left{ matrix{ x = 3 hfill cr y = -1 hfill cr} right.)
Vậy …
Câu 2:

Câu 3

Câu 4.


Câu 5.

Hết
Đề thi sẽ được cập nhật chính thức khi kỳ thi tuyển sinh vào lớp 10 của tỉnh diễn ra, vì vậy đáp án đề thi vào lớp 10 môn toán tỉnh Quảng Ninh sẽ được cập nhật sau khi kết thúc thời gian thi.
Đề thi vào 10 môn Toán tỉnh Quảng Ninh năm 2021
Đề thi tuyển sinh lớp 10 môn Toán năm 2021 chính thức tỉnh Quảng Ninh sẽ được cập nhật ngay khi kỳ thi diễn ra ngày 02/06/2021.

ĐÁP ÁN ĐỀ THI TUYỂN SINH TOÁN VÀO 10 QUẢNG NINH 2021




Cùng ôn tập chuẩn bị thật tốt cho kỳ thi sắp tới với đề thi tuyển sinh lớp 10 các năm trước nhé:
Tuyển tập đề thi tuyển sinh lớp 10 môn toán tỉnh Quảng Ninh các năm
Đề thi vào lớp 10 môn toán Quảng Ninh 2020

Xem chi tiết đề thi và đáp án tại link: đề thi tuyển sinh lớp 10 môn toán 2020 Quảng Ninh
Đề thi vào lớp 10 môn toán tỉnh Quảng Ninh 2019

Xem chi tiết đề thi và đáp án tại link: đề thi vào lớp 10 môn toán Quảng Ninh 2019
Đề thi tuyển sinh vào lớp 10 môn toán Quảng Ninh 2018

Xem chi tiết đề thi và đáp án tại link: đề thi toán vào 10 Quảng Ninh 2018
Đề thi vào lớp 10 môn toán tỉnh Quảng Ninh 2017

Xem chi tiết đề thi và đáp án tại link: đề thi vào 10 môn toán 2017 Quảng Ninh
Đọc tài liệu vừa gửi tới các em nội dung chi tiết để thi tuyển sinh vào 10 môn Toán Quảng Ninh năm 2021 và tổng hợp đề thi vào 10 môn Toán các năm trước.
Mong rằng những tài liệu của chúng tôi sẽ là người đồng hành giúp các bạn hoàn thành tốt bài thi của mình. Tra cứu điểm thi tuyển sinh lớp 10 năm 2023 các tỉnh chính xác nhất.





