1. Lý thuyết về hai đường thẳng chéo nhau
-
Người ta đã chứng minh hai đường thẳng chéo nhau là tồn tại hai đường thẳng trong không gian trong không gian khi chúng không nằm trong cùng một mặt phẳng, không cắt nhau và không song song.
-
Khoảng cách giữa hai đường thẳng chéo nhau chính là độ dài của đoạn vuông góc chung của hai đường thẳng đó.
Ký hiệu: d(a,b)=MN; với $Mepsilon a, Nepsilon b, MNperp a, MNperp b$
-
Khoảng cách giữa hai đường thẳng chéo nhau bằng khoảng cách của một trong hai đường đó đến mặt phẳng song song chứa đường còn lại và bằng khoảng cách giữa hai mặt phẳng song song lần lượt chứa hai đường đó. Sau đó, các em học sinh áp dụng công thức tính khoảng cách để tính khoảng cách theo yêu cầu đề bài ra.
Ký hiệu: d(a,b) = d(a,(Q)) = d(b,(P)) = d((P),(Q))
2. Các phương pháp tính khoảng cách giữa hai đường thẳng chéo nhau
2.1. Phương pháp 1: Dựng đoạn vuông góc chung của hai đường thẳng và tính độ dài của nó
Ta dựng đoạn vuông góc với cả hai đường thẳng cần tính khoảng cách.
Ta có: $AB perp a, ABperp b, AB cap a=A, ABcap b=B$
Suy ra: d(a,b) = AB
Trong trường hợp hai đường a và b chéo nhau và vuông góc với nhau sẽ thường tồn tại mặt phẳng ($alpha$) chứa a đồng thời vuông với b. Ta dựng đoạn vuông góc qua các bước sau:

-
Dựng một mặt phẳng ($alpha$) chứa b và song song với a
-
Tìm hình chiếu a’ của a lên ($alpha$)
-
Xác định giao điểm N của đường thẳng a’và b, dựng 1 đường thẳng qua điểm N và vuông góc với mặt phẳng ($alpha$), đường thẳng này cắt đường a tại M.
-
Đoạn MN chính là đoạn vuông góc chung của a và b.
Ví dụ 1: Cho một tứ diện đều ABCD, độ dài các cạnh của tứ diện là $6sqrt{2}$ cm. Tìm đường vuông góc chung và tính khoảng cách giữa AB và CD.
Hướng dẫn.
Gọi hai điểm M, N lần lượt là trung điểm của AB và CD. Dễ dàng chứng minh được MN là đường vuông góc chung. Khoảng cách giữa AB và CD là 6 cm.
Ví dụ 2: Cho hình chóp có đáy là tam giác vuông S.ABC, tam giác ABC vuông tại B, có AB = a, BC = 2a, SA = 2a và vuông với đáy. Tìm đường vuông góc chung và tính khoảng cách giữa AB và SC?
Hướng dẫn.
Ta lấy điểm D sao cho tứ giác ABCD là hình chữ nhật, từ đó AB sẽ song song với (SCD). Giả sử E là chân đường vuông góc hạ từ điểm A xuống SD, dễ dàng chứng minh được E chính là hình chiếu vuông góc của điểm A lên (SCD).
Qua E ta kẻ đường thẳng song song với đường CD cắt SC tại N, qua N kẻ đường song song với AE cắt AB tại M, suy ra MN là đường vuông góc chung cần tìm.
Đăng ký ngay để được các thầy cô tổng hợp kiến thức và phương pháp giải mọi dạng bài hình học không gian

2.2. Phương pháp 2: Tính khoảng cách từ đường thẳng thứ nhất tới mặt phẳng song song với nó và chứa đường thẳng thứ hai
a ∥ (P), b ⊂ (P) ⇒ d(a,b) = d(a,(P))

Ở phương pháp này, việc tính khoảng cách giữa hai đường chéo nhau thường được quy về tính khoảng cách từ điểm tới mặt phẳng.
Ví dụ 1: Hình chóp S.ABCD có đáy là hình vuông, SA và cạnh đáy đều bằng a. Tính khoảng cách hai đường chéo nhau AB và SC.
Ví dụ 2: Cho hình lăng trụ đứng ABC.A’B’C’, tam giác ABC vuông ở B. $BA=BC=a, AA’=asqrt{2}$. Lấy điểm M là trung điểm BC. Tính khoảng cách giữa AM và B’C.

2.3. Phương pháp 3: Tính khoảng cách giữa hai mặt phẳng song song chứa hai đường thẳng đã cho
a ⊂ (P), b ⊂ (Q), (P) ∥ (Q) ⇒ d(a,b) = d((P),(Q))

Ví dụ 1: Hình lập phương ABCD.A’B’C’D’ có cạnh a. Tính khoảng cách giữa A’B và B’D theo a.

Ví dụ 2: Hình hộp ABCD.A’B’C’D’ có hai đáy là hình bình hành có cạnh AB, AD lần lượt có độ dài bằng a và 2a, góc BAD bằng $60^{circ}, AA’=asqrt{3}$. AA’, BD, DD’ lần lượt có trung điểm là M,N,P. Hình chiếu vuông góc của điểm B lên AD là H. Tính khoảng cách giữa MN và HP?

3. Xác định góc giữa hai đường thẳng chéo nhau
3.1. Cách xác định góc giữa hai đường thẳng
Để tìm góc giữa hai đường thẳng chéo nhau ta có thể làm theo các cách sau:
-
Cách 1: Chọn hai đường thẳng a’,b’ cắt nhau lần lượt song song với hai đường a, b đã cho. Khi đó góc cần tìm chính bằng góc giữa a’ và b’
-
Cách 2: Chọn điểm A bất kỳ thuộc đường thẳng a, từ A kẻ đường b’ đi qua A đồng thời song song với b. Khi đó góc giữa a, b chính bằng góc giữa a’ và b
3.2. Phương pháp tính góc giữa hai đường thẳng chéo nhau
Ta có thể tính góc giữa hai đường thẳng chéo nhau bằng các phương pháp sau:
-
Nếu xác định được góc giữa hai đường thẳng trong không gian ta sẽ gắn góc đó vào một tam giác cụ thể và sử dụng các hệ thức lượng để tìm số đo góc đó.

-
Tính góc giữa hai đường theo góc giữa hai vectơ dựa vào công thức:
Ví dụ 1: Hình chóp S.ABC có các cạnh $SA=SB=SC=AB=AC=asqrt{2}, BC=2a$. Tính góc giữa AC,SB?
Lời giải:

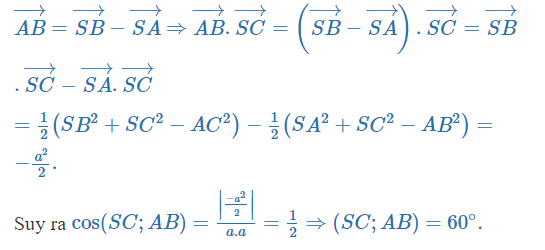
Ví dụ 2: Hình chóp S.ABC có các cạnh $SA=SB=SC=AB=a, AC=asqrt{2}, BC=asqrt{3}$. Tính góc giữa AB,SC?
Lời giải:
Ta có:

4. Bài tập về hai đường thẳng chéo nhau
Bài 1: Hai đường thẳng a,b chéo nhau, $A,B epsilon a;C,D epsilon b$. Khẳng định nào dưới đây là đúng?
A. AD, BC chéo nhau
B. AD, BC song song hoặc cắt nhau
C. AD, BC cắt nhau
D. AD, BC song song
Hướng dẫn.
a,b chéo nhau suy ra a,b không đồng phẳng. Giả sử AD, BC đồng phẳng: nếu $ADcap BC=I Rightarrow I epsilon (ABCD)Rightarrow Iepsilon (a,b)$. Mà a,b không đồng phẳng nên không tồn tại điểm I. Vậy Điều giả sử là sai. Chọn đáp án A.
Bài 2: Trong các mệnh đề dưới đây, mệnh đề nào là sai?
A. Hai đường thẳng phân biệt không chéo nhau thì hoặc song song hoặc cắt nhau.
B. Hai đường thẳng phân biệt không song song và cắt nhau thì chéo nhau.
C. Nếu hai đường thẳng chéo nhau thì chúng không có điểm chung.
D. Nếu hai đường thẳng không có điểm chung thì chúng chéo nhau.
Đáp án: D
Bài 3: Trong các mệnh đề dưới đây, mệnh đề nào là đúng?
A. Hai đường thẳng được coi là chéo nhau khi và chỉ khi chúng không đồng phẳng.
B. Hai đường thẳng sẽ song song khi và chỉ khi chúng không đồng phẳng.
C. Hai đường thẳng song song khi và chỉ khi chúng không điểm chung nào.
D. Hai đường thẳng có một điểm chung thì chúng sẽ có vô số điểm chung khác.
Đáp án: A
Bài 4: Trong các khẳng định dưới đây, khẳng định nào là đúng?
A. Hai đường thẳng ở trên hai mặt phẳng phân biệt thì chéo nhau.
B. Hai đường thẳng song song khi chúng ở trên cùng một mặt phẳng.
C. Hai đường thẳng song song hoặc chéo nhau là hai đường thẳng không có điểm chung.
D. Hai đường thẳng chéo nhau thì có điểm chung.
Đáp án: C
Bài 5: Cho 3 đường thẳng trong không gian a,b,c trong đó a//b, a chéo c. Khi đó b, c sẽ:
A. Trùng hoặc chéo nhau.
B. Cắt hoặc chéo nhau.
C. Song song hoặc chéo nhau.
D. Trùng hoặc song song với nhau.
Hướng dẫn.
Giả sử b//c c//a $Rightarrow$ mâu thuẫn với giả thiết
Đáp án: B
Đăng ký ngay để nhận bộ tài liệu tổng hợp kiến thức và phương pháp và giải mọi dạng bài tập Toán thi THPT Quốc Gia ngay

Bài 6: Cho hình chóp S.ABC có $SAperp (ABC)$, cạnh SA = a, $Delta ABC$ vuông tại A, AB = 2a, AC = 4a, MA = MB. Tính khoảng cách giữa SM, BC?

Bài 7: S.ABCD là hình chóp đều có đáy là hình hình vuông độ dài bằng $a, SA=asqrt{2}$. Tính khoảng cách cách giữa AB,SC

Bài 8: ABCD.A’B’C’D’ là hình lập phương có các cạnh bằng 1. Hai điểm M,N lần lượt là trung điểm các đoạn AB và CD. Tính khoảng cách giữa AC’, MN?

Bài 9: Tứ diện ABCD có $AB=CD=2a$. Hai điểm M,N lần lượt là trung điểm $BC, AD, MN=asqrt{3}$. Xác định góc giữa AB,CD và tính số đo góc đó?
Hướng dẫn.

Bài 10: Cho hình lăng trụ ABC.A’B’C’ có cạnh bên dài 2a, đáy là tam giác vuông tại $A, AB=A, AC=asqrt{3}$. Hình chiếu vuông góc của A’ lên (ABC) là trung điểm cạnh BC. Xác định góc giữa AA’ và B’C’?

Để ôn tập lý thuyết đồng thời thực hành giải nhanh các bài tập về hai đường thẳng chéo nhau, cùng VUIHOC tham dự bài giảng của thầy Anh Tài trong video dưới đây nhé!
Trên đây là tổng hợp đầy đủ lý thuyết tính khoảng cách và góc giữa hai đường thẳng chéo nhau cùng các dạng bài tập liên quan kèm hướng dẫn giải chi tiết. Hy vọng các em đã nắm được các phương pháp tính khoảng cách và góc giữa hai đường thẳng chéo nhau. Đừng quên truy cập Vuihoc.vn để ôn tập thêm những phần kiến thức quan trọng khác thuộc chương trình Toán 11 nhé!
Tham khảo thêm:
⭐ Bộ Sách Thần Tốc Luyện Đề Toán – Lý – Hóa THPT Có Giải Chi Tiết
Bài viết tham khảo thêm:
Tính khoảng cách từ điểm đến mặt phẳng





