1. Ma trận đề thi học kì 1 lớp 7 môn toán tham khảo
Dưới đây là mẫu ma trận đề thi học kỳ 1 môn Toán lớp 7 tham khảo. Ma trận này được thiết kế để phản ánh các chủ đề kiến thức, mức độ yêu cầu và số lượng câu hỏi trong đề thi.
Chương/ Chủ đề Nội dung/đơn vị kiến thức Nhận biết Thông hiểu Vận dụng Vận dụng cao Số hữu tỉ Số hữu tỉ và tập hợp các số hữu tỉ. Thứ tự trong tập hợp các số hữu tỉ 1 0 0 0 Phép tính với số hữu tỉ 0 2 0 1 Số thực Căn bậc hai số học 1 0 0 0 Số vô tỉ. Số thực 1 0 1 0 Tam giác bằng nhau Tam giác. Tam giác bằng nhau. Tam giác cân. 1 1 1 0 Góc, đường thẳng song song Hai đường thẳng song song. Tiên đề Euclid về đường thẳng song song 1 0 1 0 Góc ở vị trí đặc biệt, tia phân giác 1 0 0 0 Khái niệm định lí, chứng minh một định lí 1 0 0 0 Thu thập và biểu diễn dữ liệu Mô tả và biểu diễn dữ liệu trên bảng, biểu đồ 1 1 0 0
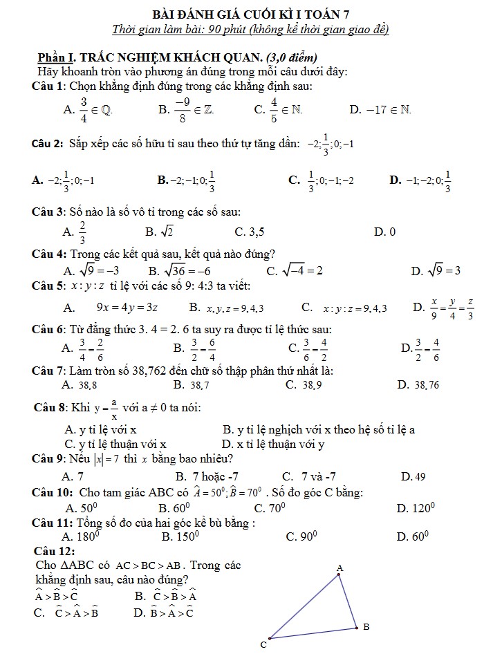
2. Đề thi học kì 1 lớp 7 môn toán: Đề số 1
2.1 Đề thi


2.2 Đáp án
Phần 1: Trắc nghiệm:
Câu 1 2 3 4 5 6 7 8 Đáp án D C D C B D B C
Phần 2: Tự luận
Câu 1:
$large a)frac{2}{3}+frac{1}{5}.frac{10}{7} $
$large =frac{2}{3}+frac{2}{7}=frac{20}{21} $
$large b)frac{-6}{13}.frac{13}{21}+frac{6}{13}.frac{-8}{21} $
$large =frac{-6}{13}.left ( frac{13}{21}+frac{8}{21} right ) $
$large =frac{-6}{13}.1=frac{-6}{13} $
$large c)sqrt{frac{25}{49}}+(5555)^{o}+left| frac{-2}{7}right| $
$large =frac{5}{7}+1+frac{2}{7}=2$
Câu 2:
$large a)x-frac{1}{15}=frac{1}{10}$
$large x=frac{1}{10}+frac{1}{15}=frac{1}{6}$
$large b)frac{3}{4}+frac{1}{4}:x=2$
$large frac{1}{4}:x=frac{5}{4}$
$large x=frac{1}{5}$
$large c)left| x+frac{1}{5}right|-4=-2$
$large left| x+frac{1}{5}right|=2$
$large x=frac{9}{5}$ hoặc $large x=frac{-11}{5}$
Câu 3:
a) Mục đích truy cập mạng Internet để giải trí là nhiều nhất Mục đích giải trí chiếm 45%.
b) Số HS truy cập với mục đích phục vụ học tập trong số 500 HS trường A là: 500.30% = 150 (học sinh)
Câu 4:
a) Xét $large Delta $ABM và $large Delta $ACM có:
AB = AC (gt)
MB = MC (vì M là trung điểm của BC)
AM là cạnh chung
=> $large Delta $ABM = $large Delta $ACM (c.c.c)
b) Ta có: $large Delta $ABM = $large Delta $ACM (cmt)
=> $large widehat{AMB}=widehat{AMC}$ (hai góc tương ứng) mà $large widehat{AMB}+widehat{AMC}$ = 180° (hai góc kề bù)
=> $large widehat{AMB} = widehat{AMC}$= 90° => AM $large perp $ BC tại M
c)
Chứng minh được $large Delta $ABN = $large Delta $ACN (ch – cgv)
=> AN là tia phân giác của $large widehat{BAC} $
Chứng minh tương tự có AM là tia phân giác của $large widehat{BAC} $
=> Ba điểm A,M,N thẳng hàng.
Câu 5:
Đánh giá được |x – 1006y| $large geq $ 0
|x – 2012| $large geq $ 0
=> |x – 1006y| = 0 ; |x – 2012| = 0 => x = 2012 ; y = 2.
3. Đề thi học kì 1 lớp 7 môn toán: Đề số 1
3.1 Đề thi




Khóa học DUO dành riêng cho các em bậc THCS từ nhà trường VUIHOC, các em sẽ được học cùng các thầy cô TOP trường điểm quốc gia với kinh nghiệm giảng dạy phong phú. Đăng ký học thử để được trải nghiệm buổi học trực tuyến hoàn toàn miễn phí nhé!

3.2 Đáp án
Phần 1: Trắc nghiệm:
1 2 3 4 5 6 7 8 9 10 11 12 D C D C C A A B B A B D
Phần 2: Tự luận
Câu 1:
Số đối của 5,12 là – 5,12
Số đối của $large -sqrt{2}$ là $large sqrt{2}$
Câu 2:
Giả thiết: Hai đường thẳng phân biệt cùng vuông góc với một đường thẳng thứ ba
Kết luận: chúng song song với nhau
Câu 3:
$large a)0,5.frac{4}{9}+left ( frac{1}{3}-1,5 right )^{2}-left ( frac{2}{3} right )^{9}:left ( frac{2}{3} right )^{7}$
$large =frac{1}{2}.frac{4}{9}+left ( frac{1}{3}-frac{3}{2} right )^{2}-left ( frac{2}{3} right )^{2}$
$large =frac{2}{9}+left ( frac{-7}{6} right )^{2}-frac{4}{9}$
$large =frac{2}{9}+frac{49}{36}-frac{4}{9}=frac{41}{36}$
$large b)2^{x+2}+2^{x+1}-2^{x}=40$
$large 2^{x}(2^{2}+2^{1}-1)=40 $
$large 2^{x}=8 $
$large x=3 $
Câu 4:
a) $large sqrt{10}approx 3,16; sqrt{120}=10,95 $.
b) Dân số TP Thủ Đức năm 2020 là 1 013 795 người. Làm tròn số này với độ chính xác d = 50.
Câu 5:
a) Tính không hợp lý ở đây là tổng tỉ lệ phần trăm các loại sách trong tủ sách của lớp 7C là 102%
b) Tiêu chí định tính là: khả năng bơi
Tiêu chí định lượng là số bạn nam
Câu 6:
a) $large aperp c; bperp cRightarrow a//b $
b) $large B_{1}=B_{3}=75^{o} $
$large B_{2}=B_{4}=105^{o} $
Câu 7:
Số tiền điện của nhà bạn Mai là: 1678.50 + 1734.50 + 2014.43 = 257202 (đồng)
Số tiền điện bạn Mai phải trả tính cả thuế là: 257202.110% $large approx $ 282922
4. Đề thi học kì 1 lớp 7 môn toán: Đề số 1
4.1 Đề thi


4.2 Đáp án
Phần 1: Trắc nghiệm:
1 2 3 4 5 6 7 8 9 10 11 12 A B B D D B A B C B A D
Phân 2: Tự luận:
Câu 13:
$large a)frac{-1}{5}+frac{-9}{5}=frac{-10}{5}=-2$
$large b)sqrt{25}+sqrt{1,21}-frac{2}{3}sqrt{frac{36}{4}}=5+1,1-2=4,1$
Câu 14:
$large a)x+frac{2}{5}=frac{7}{10}$
$large x=frac{7}{10}-frac{2}{5}=frac{3}{10}$
$large b)frac{x}{-26}=frac{7}{2}Rightarrow x=(-26.7):2=91$
$large c) left| x-frac{1}{2}right|-frac{1}{3}=frac{5}{6}$
$large Rightarrow left| x-frac{1}{2}right|=frac{5}{6}+frac{1}{3}$
$large Rightarrow left| x-frac{1}{2}right|=frac{7}{6}$
Câu 15:
Gọi a,b,c lần lượt là số tiền thu được của ba chi đội 7A,7B,7C $large (a,b,cin mathbb{N}^{*}; a,b,c >0)$
Theo đề bài: $large frac{a}{5}=frac{b}{6}=frac{c}{7}$ và a + b + c = 2700000
Áp dụng tích chất của dãy tỷ số bằng nhau ta được:
$large frac{a}{5}=frac{b}{6}=frac{c}{7}=frac{a+b+c}{5+6+7}=frac{2700000}{18}=150000$
Tính được a = 570000; b = 900000; c = 1050000 ™
Vậy số tiền thu được của ba chi đội 7A, 7B, 7C lần lượt là 750000đ; 900000đ; 1050000đ.
Câu 16:

a) Vì Ax // By => $large widehat{xAB}+widehat{ABy}=180^{o}$ (2 góc cùng phía)
Thay vào tính được: $large widehat{ABy}=140^{o}$
b) Qua B kẻ tia By’ // Ax
Vì By’ // Ax => $large widehat{ABy’}=widehat{xAB}=40^{o}$ (2 góc so le trong)
Vì By’ nằm trong $large widehat{ABC}Rightarrow widehat{ABy’}+widehat{y’BC}=widehat{ABC}$
Thay số tính được: $large widehat{y’BC}=105^{o}-40^{o}=65^{o}$
$large widehat{y’BC}=widehat{BCz}=65^{o}$. Mặt khác hai góc này ở vị trí so le trong, nên By // Cz.
c) Vì tia BD là tia phân giác của $large widehat{CBy}$ nên:
$large widehat{CBD}=widehat{DBy}=frac{1}{2}widehat{CBy}=frac{1}{2}.115^{o}=57,5^{o}$
Xét $large Delta $BCD có $large widehat{B}+widehat{C}+widehat{D}=180^{o}$
=> $large widehat{D}=57,5^{o}$
Câu 17:
Ta có:
$large frac{ab}{a+b}=frac{bc}{b+c}=frac{ca}{c+a}Rightarrow frac{abc}{ac+bc}=frac{abc}{ab+ac}=frac{abc}{bc+ab}$
$large Rightarrow frac{1}{ac+bc}=frac{1}{ab+ac}=frac{1}{bc+ab}$
=> a = b = c mà a + b + c = 1 nên a = b = c = 1/3.
Do đó: $large A=frac{abc(ab+bc+ca)}{a^{2}+b^{2}+c^{2}}=frac{1}{9}$
Ôn tập và làm quen với đề thi học kỳ 1 lớp 7 môn Toán là một bước quan trọng giúp các em học sinh tự tin bước vào kỳ thi. Qua bài viết này, hy vọng rằng các em đã nắm được các dạng bài chính và cách giải chi tiết. Đừng quên luyện tập thường xuyên và hỏi ý kiến thầy cô hoặc bạn bè nếu còn bất kỳ thắc mắc nào. Chúc các em ôn tập thật tốt và đạt kết quả cao trong kỳ thi sắp tới!
>> Mời bạn tham khảo thêm:
- Đề cương ôn thi học kì 1 lớp 7 môn toán chi tiết
- Đề cương ôn thi học kì 1 lớp 7 môn ngữ văn chi tiết
- Đề cương ôn thi học kì 1 lớp 7 môn tiếng anh chi tiết
- Đề thi văn học kì 1 lớp 7 và hướng dẫn giải chi tiết
- Đề thi tiếng anh lớp 7 học kì 1 và hướng dẫn giải chi tiết