Đề bài
Câu 1 :
Một chất điểm dao động điều hòa dọc trục Ox với phương trình x = 10cos2πt (cm). Quãng đường đi được của chất điểm trong một chu kì dao động là:
-
A.
10 cm.
-
B.
30 cm.
-
C.
40 cm.
-
D.
20 cm
Câu 2 :
Một vật nhỏ dao động điều hòa theo phương trình x = Acos10t (t tính bằng s). Tại t = 2 s, pha của dao động là:
-
A.
10 rad.
-
B.
40 rad.
-
C.
20 rad.
-
D.
5 rad.
Câu 3 :
Một vật dao động điều hòa theo phương trình x = 5cosπt (cm,s). Tốc độ của vật có giá trị cực đại là bao nhiêu?
-
A.
–5π cm/s.
-
B.
5π cm/s.
-
C.
5 cm/s.
-
D.
5/π cm/s.
Câu 4 :
Chọn một chất điểm dao động điều hòa trên đoạn thẳng MN dài 6 cm với tần số 2 Hz. Chọn gốc thời gian là lúc chất điểm có li độ 3√3/2 cm và chuyển động ngược chiều với chiều dương mà mình đã chọn. Phương trình dao động của chất điểm là:
-
A.
x = 3sin(4πt + π/3) cm
-
B.
x = 3cos(4πt + π/6) cm
-
C.
x = 3sin(4πt + π/6) cm
-
D.
x = 3cos(4πt + 5π/6) cm
Câu 5 :
Vật dao động điều hòa theo phương trình x = Acosωt (cm). Sau khi dao động được 1/6 chu kì vật có li độ √3/2 cm. Biên độ dao động của vật là:
-
A.
2√2 cm
-
B.
√3 cm
-
C.
2 cm
-
D.
4√2 cm
Câu 6 :
Vật dao động điều hòa với phương trình gia tốc a = 40π2cos(2πt + π/2) cm/s2. Phương trình dao động của vật là
-
A.
x = 6cos(2πt - π/4) cm
-
B.
x = 10cos(2πt - π/2) cm
-
C.
x = 10cos(2πt) cm
-
D.
x = 20cos(2πt - π/2) cm
Câu 7 :
Một vật dao động điều hòa với phương trình dạng cos. Chọn gốc tính thời gian khi vật đổi chiều chuyển động và khi đó gia tốc của vật đang có giá trị dương. Pha ban đầu là:
-
A.
-π/2
-
B.
-π/3
-
C.
π
-
D.
π/2
Câu 8 :
Một vật dao động điều hòa với vận tốc góc 5 rad/s. Khi vật đi qua li độ 5 cm thì nó có tốc độ là 25 cm/s. Biên độ dao động của vật là:
-
A.
5√2 cm
-
B.
10 cm
-
C.
5,24 cm
-
D.
5√3 cm
Câu 9 :
Một vật dao động điều hòa với biên độ 5 cm. Khi vật có tốc độ 10 cm/s thì có gia tốc 40√3 cm/s2. Tần số góc của dao động là:
-
A.
1 rad/s
-
B.
4 rad/s
-
C.
2 rad/s
-
D.
8 rad/s
Câu 10 :
Chất điểm dao động điểu hòa trên đoạn MN = 4 cm, với chu kì T = 2s. Chọn gốc thời gian khi chất điểm có li độ x = -1 cm, đang chuyển động theo chiều dương. Phương trình dao động là:
-
A.
-
B.
-
C.
-
D.
Câu 11 :
Phương trình dao động của một vật dao động điều hòa là: x = - 5cos(10πt + π/6) cm. Chọn đáp án đúng:
-
A.
Biên độ A = -5 cm
-
B.
Pha ban đầu φ = π/6 (rad)
-
C.
Chu kì T = 0,2 s
-
D.
Li độ ban đầu x0 = 5 cm
Câu 12 :
Một vật dao động điều hòa với phương trình: x = 6cos2(4πt + π/6) cm. Quãng đường vật đi được trong 0,125 s kể từ thời điểm t = 0 là:
-
A.
6cm B. 4,5cm
-
B.
-
C.
7,5cm D. 9cm
-
D.
Câu 13 :
Trong dao động điều hòa của một vật thì gia tốc và vận tốc tức thời biến thiên theo thời gian
-
A.
cùng pha với nhau.
-
B.
lệch pha một lượng
-
C.
vuông pha với nhau.
-
D.
ngược pha với nhau.
Câu 14 :
Đồ thị biểu diễn sự biến thiên của gia tốc theo li độ trong dao động điều hòa có dạng hình.
-
A.
Đoạn thẳng.
-
B.
Đường thẳng.
-
C.
Đường tròn.
-
D.
Đường parabol.
Câu 15 :
Khi một vật dao động điều hòa thì véctơ vận tốc
-
A.
luôn đổi chiều khi đi qua gốc tọa độ.
-
B.
luôn cùng chiều với véctơ gia tốc.
-
C.
luôn đổi chiều khi vật chuyển động đến biên.
-
D.
luôn ngược chiều với véctơ gia tốc.
Câu 16 :
Cho vật dao động điều hòa. Ly độ đạt giá trị cực đại khi vật qua vị trí
-
A.
biên âm
-
B.
biên dương
-
C.
biên
-
D.
cân bằng
Câu 17 :
Cho vật dao động điều hòa. Ly độ đạt giá trị cực tiểu khi vật qua vị trí
-
A.
biên âm
-
B.
biên dương
-
C.
biên
-
D.
cân bằng
Câu 18 :
Cho vật dao động điều hòa. Vật cách xa vị trí cân bằng nhất khi vật qua vị trí
-
A.
biên âm
-
B.
biên dương
-
C.
biên
-
D.
cân bằng
Câu 19 :
Cho vật dao động điều hòa. Vận tốc đạt giá trị cực đại khi vật qua vị trí
-
A.
biên
-
B.
cân bằng
-
C.
cân bằng theo chiều dương
-
D.
cân bằng theo chiều âm
Câu 20 :
Cho vật dao động điều hòa. Vận tốc đạt giá trị cực tiểu khi vật qua vị trí
-
A.
biên
-
B.
cân bằng
-
C.
cân bằng theo chiều dương
-
D.
cân bằng theo chiều âm
Câu 21 :
Cho vật dao động điều hòa. Tốc độ đạt giá trị cực tiểu khi vật qua vị trí
-
A.
biên
-
B.
cân bằng
-
C.
cân bằng theo chiều dương
-
D.
cân bằng theo chiều âm
Câu 22 :
Phát biểu nào sau đây về mối quan hệ giữa li độ, vận tốc, gia tốc là đúng?
-
A.
Trong dao động điều hòa li độ và vận tốc luôn trái dấu.
-
B.
Trong dao động điều hòa gia tốc và li độ luôn trái dấu.
-
C.
Trong dao động điều hòa vận tốc và gia tốc luôn cùng dấu.
-
D.
Trong dao động điều hòa vận tốc và li độ luôn cùng dấu.
Câu 23 :
Cho vật dao động điều hòa. Gia tốc đạt giá trị cực đại khi vật qua vị trí
-
A.
biên âm
-
B.
biên dương
-
C.
biên
-
D.
cân bằng
Câu 24 :
Cho vật dao động điều hòa. Gia tốc đạt giá trị cực tiểu khi vật qua vị trí
-
A.
biên âm
-
B.
biên dương
-
C.
biên
-
D.
cân bằng
Câu 25 :
Cho vật dao động điều hòa. Gia tốc có giá trị bằng 0 khi vật qua vị trí
-
A.
biên âm
-
B.
biên dương
-
C.
biên
-
D.
cân bằng
Câu 26 :
Một vật dao động điều hòa dọc theo trục Ox, gốc tọa độ O tại vị trí cân bằng. Khi vật chuyển động nhanh dần theo chiều dương thì giá trị của li độ x và vận tốc v là:
-
A.
x > 0 và v > 0
-
B.
x < 0 và v > 0
-
C.
x < 0 và v < 0
-
D.
x > 0 và v < 0
Câu 27 :
Khi nói về vận tốc của một vật dao động điều hòa, phát biểu nào sau đây sai?
-
A.
Vận tốc biến thiên điều hòa theo thời gian.
-
B.
Vận tốc có giá trị dương nếu vật chuyển động từ biên âm về vị trí cân bằng .
-
C.
Khi vận tốc và li độ cùng dấu vật chuyển động nhanh dần.
-
D.
Vận tốc cùng chiều với gia tốc khi vật chuyển động về vị trí cân bằng.
Câu 28 :
Khi nói về một vật đang dao động điều hòa, phát biểu nào sau đây đúng?
-
A.
Vectơ gia tốc của vật đổi chiều khi vật có li độ cực đại.
-
B.
Vectơ vận tốc và vectơ gia tốc của vật cùng chiều nhau khi vật chuyển động về vị trí cân bằng.
-
C.
Vectơ gia tốc của vật luôn hướng ra xa vị trí cân bằng.
-
D.
Vectơ vận tốc và vectơ gia tốc của vật cùng chiều nhau khi vật chuyển động ra xa vị trí cân bằng.
Câu 29 :
Một chất điểm dao động điều hòa trên trục Ox. Vectơ gia tốc của chất điểm có
-
A.
độ lớn cực đại ở vị trí biên, chiều luôn hướng ra biên.
-
B.
độ lớn cực tiểu khi qua vị trí cân bằng luôn cùng chiều với vectơ vận tốc.
-
C.
độ lớn không đổi, chiều luôn hướng về vị trí cân bằng.
-
D.
độ lớn tỉ lệ với độ lớn của li độ, chiều luôn hướng về vị trí cân bằng.
Câu 30 :
Trong dao động điều hoà
-
A.
Gia tốc có độ lớn cực đại khi vật đi qua VTCB
-
B.
Gia tốc của vật luôn cùng pha với vận tốc
-
C.
Gia tốc của vật luôn hướng về VTCB
-
D.
Gia tốc của vật bằng 0 khi vật ở biên
Câu 31 :
Vật dao động điều hòa. Tại thời điểm t1 thì tích của vận tốc và gia tốc a1v1> 0, tại thời điểm t2 = t1 +T/4 thì vật đang chuyển động
-
A.
chậm dần đều về biên.
-
B.
nhanh dần về VTCB.
-
C.
chậm dần về biên.
-
D.
nhanh dần đều về VTCB.
Câu 32 :
Một vật dao động điều hòa. Khi vật đi từ vị trí biên âm đến biên dương thì gia tốc
-
A.
giảm rồi tăng
-
B.
tăng rồi giảm
-
C.
giảm
-
D.
tăng
Lời giải và đáp án
Câu 1 :
Một chất điểm dao động điều hòa dọc trục Ox với phương trình x = 10cos2πt (cm). Quãng đường đi được của chất điểm trong một chu kì dao động là:
-
A.
10 cm.
-
B.
30 cm.
-
C.
40 cm.
-
D.
20 cm
Đáp án : C

Chọn đáp án C
Câu 2 :
Một vật nhỏ dao động điều hòa theo phương trình x = Acos10t (t tính bằng s). Tại t = 2 s, pha của dao động là:
-
A.
10 rad.
-
B.
40 rad.
-
C.
20 rad.
-
D.
5 rad.
Đáp án : C
- Pha dao động của vật tại t = 2 s là: 10.2 = 20 rad
Chọn đáp án C
Câu 3 :
Một vật dao động điều hòa theo phương trình x = 5cosπt (cm,s). Tốc độ của vật có giá trị cực đại là bao nhiêu?
-
A.
–5π cm/s.
-
B.
5π cm/s.
-
C.
5 cm/s.
-
D.
5/π cm/s.
Đáp án : B

Chọn đáp án B
Câu 4 :
Chọn một chất điểm dao động điều hòa trên đoạn thẳng MN dài 6 cm với tần số 2 Hz. Chọn gốc thời gian là lúc chất điểm có li độ 3√3/2 cm và chuyển động ngược chiều với chiều dương mà mình đã chọn. Phương trình dao động của chất điểm là:
-
A.
x = 3sin(4πt + π/3) cm
-
B.
x = 3cos(4πt + π/6) cm
-
C.
x = 3sin(4πt + π/6) cm
-
D.
x = 3cos(4πt + 5π/6) cm
Đáp án : B

- Tại t = 0 chất điểm ở x = 3√3/2 và đi theo chiều âm


Chọn đáp án B
Câu 5 :
Vật dao động điều hòa theo phương trình x = Acosωt (cm). Sau khi dao động được 1/6 chu kì vật có li độ √3/2 cm. Biên độ dao động của vật là:
-
A.
2√2 cm
-
B.
√3 cm
-
C.
2 cm
-
D.
4√2 cm
Đáp án : B
- Tại t = 0 vật ở vị trí x = + A
- Sau Δt = T/6 < T/2 vật ở vị trí x = √3/2 cm

Chọn đáp án B
Câu 6 :
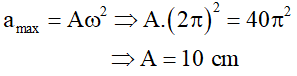
Vật dao động điều hòa với phương trình gia tốc a = 40π2cos(2πt + π/2) cm/s2. Phương trình dao động của vật là
-
A.
x = 6cos(2πt - π/4) cm
-
B.
x = 10cos(2πt - π/2) cm
-
C.
x = 10cos(2πt) cm
-
D.
x = 20cos(2πt - π/2) cm
Đáp án : B
- Biên độ của dao động:

- Gia tốc biến thiên sớm pha π so với li độ nên:

- Phương trình dao động của vật:

Chọn đáp án B
Câu 7 :
Một vật dao động điều hòa với phương trình dạng cos. Chọn gốc tính thời gian khi vật đổi chiều chuyển động và khi đó gia tốc của vật đang có giá trị dương. Pha ban đầu là:
-
A.
-π/2
-
B.
-π/3
-
C.
π
-
D.
π/2
Đáp án : C
- Vật đổi chiểu chuyển động tại vị trí biên:

- Gia tốc của vật đang có giá trị dương khi:

- Tại thời điểm ban đầu (t = 0):

Chọn đáp án C
Câu 8 :
Một vật dao động điều hòa với vận tốc góc 5 rad/s. Khi vật đi qua li độ 5 cm thì nó có tốc độ là 25 cm/s. Biên độ dao động của vật là:
-
A.
5√2 cm
-
B.
10 cm
-
C.
5,24 cm
-
D.
5√3 cm
Đáp án : A
- Biên độ dao động của vật:

Chọn đáp án A
Câu 9 :
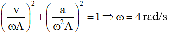
Một vật dao động điều hòa với biên độ 5 cm. Khi vật có tốc độ 10 cm/s thì có gia tốc 40√3 cm/s2. Tần số góc của dao động là:
-
A.
1 rad/s
-
B.
4 rad/s
-
C.
2 rad/s
-
D.
8 rad/s
Đáp án : B
- Áp dụng hệ thức độc lập giữa vận tốc và gia tốc:

Chọn đáp án B
Câu 10 :
Chất điểm dao động điểu hòa trên đoạn MN = 4 cm, với chu kì T = 2s. Chọn gốc thời gian khi chất điểm có li độ x = -1 cm, đang chuyển động theo chiều dương. Phương trình dao động là:
-
A.
-
B.
-
C.
-
D.
Đáp án : A
- Biên độ dao động:

- Tần số góc:
- Pha ban đầu:
+ Tại thời điểm ban đầu t = 0 :

- Phương trình dao động của vật:

Chọn đáp án A
Câu 11 :
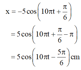
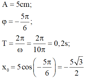
Phương trình dao động của một vật dao động điều hòa là: x = - 5cos(10πt + π/6) cm. Chọn đáp án đúng:
-
A.
Biên độ A = -5 cm
-
B.
Pha ban đầu φ = π/6 (rad)
-
C.
Chu kì T = 0,2 s
-
D.
Li độ ban đầu x0 = 5 cm
Đáp án : C
- Viết lại phương trình:

- Do đó ta có:

Chọn đáp án C
Câu 12 :
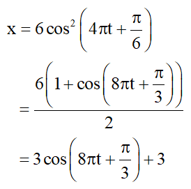
Một vật dao động điều hòa với phương trình: x = 6cos2(4πt + π/6) cm. Quãng đường vật đi được trong 0,125 s kể từ thời điểm t = 0 là:
-
A.
6cm B. 4,5cm
-
B.
-
C.
7,5cm D. 9cm
-
D.
Đáp án : A
-Phương trình:


- Mà t = 0,125 = T/2 nên S = 2.3 = 6 cm
Chọn đáp án A
Câu 13 :
Trong dao động điều hòa của một vật thì gia tốc và vận tốc tức thời biến thiên theo thời gian
-
A.
cùng pha với nhau.
-
B.
lệch pha một lượng
-
C.
vuông pha với nhau.
-
D.
ngược pha với nhau.
Đáp án : C
Trong dao động điều hòa của một vật thì gia tốc và vận tốc tức thời biến thiên theo thời gian vuông pha với nhau
Đáp án: C
Câu 14 :
Đồ thị biểu diễn sự biến thiên của gia tốc theo li độ trong dao động điều hòa có dạng hình.
-
A.
Đoạn thẳng.
-
B.
Đường thẳng.
-
C.
Đường tròn.
-
D.
Đường parabol.
Đáp án : B
Gia tốc biến thiên theo hàm bậc nhất của li độ
\(a = - {\omega ^2}x\)
=> Đồ thị biểu diễn sự biến thiên của gia tốc theo li độ trong dao động điều hòa có dạng đường thẳng
Đáp án: B
Câu 15 :
Khi một vật dao động điều hòa thì véctơ vận tốc
-
A.
luôn đổi chiều khi đi qua gốc tọa độ.
-
B.
luôn cùng chiều với véctơ gia tốc.
-
C.
luôn đổi chiều khi vật chuyển động đến biên.
-
D.
luôn ngược chiều với véctơ gia tốc.
Đáp án : C
Khi một vật dao động điều hòa thì véctơ vận tốc luôn đổi chiều khi vật chuyển động đến biên.
Đáp án: C
Câu 16 :
Cho vật dao động điều hòa. Ly độ đạt giá trị cực đại khi vật qua vị trí
-
A.
biên âm
-
B.
biên dương
-
C.
biên
-
D.
cân bằng
Đáp án : B
Cho vật dao động điều hòa. Ly độ đạt giá trị cực đại khi vật qua vị trí biên dương
Đáp án: B
Câu 17 :
Cho vật dao động điều hòa. Ly độ đạt giá trị cực tiểu khi vật qua vị trí
-
A.
biên âm
-
B.
biên dương
-
C.
biên
-
D.
cân bằng
Đáp án : A
Cho vật dao động điều hòa. Ly độ đạt giá trị cực tiểu khi vật qua vị trí biên âm
Đáp án: A
Câu 18 :
Cho vật dao động điều hòa. Vật cách xa vị trí cân bằng nhất khi vật qua vị trí
-
A.
biên âm
-
B.
biên dương
-
C.
biên
-
D.
cân bằng
Đáp án : C
Cho vật dao động điều hòa. Vật cách xa vị trí cần bằng nhất khi vật qua vị trí biên
Đáp án: C
Câu 19 :
Cho vật dao động điều hòa. Vận tốc đạt giá trị cực đại khi vật qua vị trí
-
A.
biên
-
B.
cân bằng
-
C.
cân bằng theo chiều dương
-
D.
cân bằng theo chiều âm
Đáp án : C
Cho vật dao động điều hòa. Vận tốc đạt giá trị cực đại khi vật qua vị trí cân bằng theo chiều dương
Đáp án: C
Câu 20 :
Cho vật dao động điều hòa. Vận tốc đạt giá trị cực tiểu khi vật qua vị trí
-
A.
biên
-
B.
cân bằng
-
C.
cân bằng theo chiều dương
-
D.
cân bằng theo chiều âm
Đáp án : D
Cho vật dao động điều hòa. Vận tốc đạt giá trị cực tiểu khi vật qua vị trí cân bằng theo chiều âm
Đáp án: D
Câu 21 :
Cho vật dao động điều hòa. Tốc độ đạt giá trị cực tiểu khi vật qua vị trí
-
A.
biên
-
B.
cân bằng
-
C.
cân bằng theo chiều dương
-
D.
cân bằng theo chiều âm
Đáp án : A
Cho vật dao động điều hòa. Tốc độ đạt giá trị cực tiểu khi vật qua vị trí biên
Đáp án: A
Câu 22 :
Phát biểu nào sau đây về mối quan hệ giữa li độ, vận tốc, gia tốc là đúng?
-
A.
Trong dao động điều hòa li độ và vận tốc luôn trái dấu.
-
B.
Trong dao động điều hòa gia tốc và li độ luôn trái dấu.
-
C.
Trong dao động điều hòa vận tốc và gia tốc luôn cùng dấu.
-
D.
Trong dao động điều hòa vận tốc và li độ luôn cùng dấu.
Đáp án : B
Trong dao động điều hòa gia tốc và li độ luôn trái dấu
Đáp án: B
Câu 23 :
Cho vật dao động điều hòa. Gia tốc đạt giá trị cực đại khi vật qua vị trí
-
A.
biên âm
-
B.
biên dương
-
C.
biên
-
D.
cân bằng
Đáp án : A
Cho vật dao động điều hòa. Gia tốc đạt giá trị cực đại khi vật qua vị trí biên âm
Đáp án: A
Câu 24 :
Cho vật dao động điều hòa. Gia tốc đạt giá trị cực tiểu khi vật qua vị trí
-
A.
biên âm
-
B.
biên dương
-
C.
biên
-
D.
cân bằng
Đáp án : B
Cho vật dao động điều hòa. Gia tốc đạt giá trị cực tiểu khi vật qua vị trí biên dương
Đáp án: B
Câu 25 :
Cho vật dao động điều hòa. Gia tốc có giá trị bằng 0 khi vật qua vị trí
-
A.
biên âm
-
B.
biên dương
-
C.
biên
-
D.
cân bằng
Đáp án : D
Cho vật dao động điều hòa. Gia tốc có giá trị bằng 0 khi vật qua vị trí cân bằng
Đáp án: D
Câu 26 :
Một vật dao động điều hòa dọc theo trục Ox, gốc tọa độ O tại vị trí cân bằng. Khi vật chuyển động nhanh dần theo chiều dương thì giá trị của li độ x và vận tốc v là:
-
A.
x > 0 và v > 0
-
B.
x < 0 và v > 0
-
C.
x < 0 và v < 0
-
D.
x > 0 và v < 0
Đáp án : B
Một vật dao động điều hòa dọc theo trục Ox, gốc tọa độ O tại vị trí cân bằng. Khi vật chuyển động nhanh dần theo chiều dương thì giá trị của li độ x và vận tốc v là x < 0 và v > 0
Đáp án: B
Câu 27 :
Khi nói về vận tốc của một vật dao động điều hòa, phát biểu nào sau đây sai?
-
A.
Vận tốc biến thiên điều hòa theo thời gian.
-
B.
Vận tốc có giá trị dương nếu vật chuyển động từ biên âm về vị trí cân bằng .
-
C.
Khi vận tốc và li độ cùng dấu vật chuyển động nhanh dần.
-
D.
Vận tốc cùng chiều với gia tốc khi vật chuyển động về vị trí cân bằng.
Đáp án : C
Khi vận tốc và gia tốc cùng dấu vật chuyển động nhanh dần. => C sai
Đáp án: C
Câu 28 :
Khi nói về một vật đang dao động điều hòa, phát biểu nào sau đây đúng?
-
A.
Vectơ gia tốc của vật đổi chiều khi vật có li độ cực đại.
-
B.
Vectơ vận tốc và vectơ gia tốc của vật cùng chiều nhau khi vật chuyển động về vị trí cân bằng.
-
C.
Vectơ gia tốc của vật luôn hướng ra xa vị trí cân bằng.
-
D.
Vectơ vận tốc và vectơ gia tốc của vật cùng chiều nhau khi vật chuyển động ra xa vị trí cân bằng.
Đáp án : B
Vectơ vận tốc và vectơ gia tốc của vật cùng chiều nhau khi vật chuyển động về vị trí cân bằng.
Đáp án: B
Câu 29 :
Một chất điểm dao động điều hòa trên trục Ox. Vectơ gia tốc của chất điểm có
-
A.
độ lớn cực đại ở vị trí biên, chiều luôn hướng ra biên.
-
B.
độ lớn cực tiểu khi qua vị trí cân bằng luôn cùng chiều với vectơ vận tốc.
-
C.
độ lớn không đổi, chiều luôn hướng về vị trí cân bằng.
-
D.
độ lớn tỉ lệ với độ lớn của li độ, chiều luôn hướng về vị trí cân bằng.
Đáp án : D
Một chất điểm dao động điều hòa trên trục Ox. Vectơ gia tốc của chất điểm có độ lớn tỉ lệ với độ lớn của li độ, chiều luôn hướng về vị trí cân bằng
Đáp án: D
Câu 30 :
Trong dao động điều hoà
-
A.
Gia tốc có độ lớn cực đại khi vật đi qua VTCB
-
B.
Gia tốc của vật luôn cùng pha với vận tốc
-
C.
Gia tốc của vật luôn hướng về VTCB
-
D.
Gia tốc của vật bằng 0 khi vật ở biên
Đáp án : C
Trong dao động điều hoà Gia tốc của vật luôn hướng về VTCB
Đáp án: C
Câu 31 :
Vật dao động điều hòa. Tại thời điểm t1 thì tích của vận tốc và gia tốc a1v1> 0, tại thời điểm t2 = t1 +T/4 thì vật đang chuyển động
-
A.
chậm dần đều về biên.
-
B.
nhanh dần về VTCB.
-
C.
chậm dần về biên.
-
D.
nhanh dần đều về VTCB.
Đáp án : C
Vật dao động điều hòa. Tại thời điểm t1 thì tích của vận tốc và gia tốc a1v1> 0, tại thời điểm t2 = t1 +T/4 thì vật đang chuyển động chậm dần về biên
Đáp án: C
Câu 32 :
Một vật dao động điều hòa. Khi vật đi từ vị trí biên âm đến biên dương thì gia tốc
-
A.
giảm rồi tăng
-
B.
tăng rồi giảm
-
C.
giảm
-
D.
tăng
Đáp án : A
Một vật dao động điều hòa. Khi vật đi từ vị trí biên âm đến biên dương thì gia tốc giảm rồi tăng
Đáp án: A
Luyện tập và củng cố kiến thức Bài 2: Một số dao động điều hòa thường gặp Vật lí 11 với đầy đủ các dạng bài tập trắc nghiệm có đáp án và lời giải chi tiết
Xem chi tiết
Luyện tập và củng cố kiến thức Bài 3: Năng lượng trong dao động điều hòa Vật lí 11 với đầy đủ các dạng bài tập trắc nghiệm có đáp án và lời giải chi tiết
Xem chi tiết
Luyện tập và củng cố kiến thức Bài 4: Dao động tắt dần. Dao động cưỡng bức và hiện tượng cộng hưởng Vật lí 11 với đầy đủ các dạng bài tập trắc nghiệm có đáp án và lời giải chi tiết
Xem chi tiết