Đề bài
Câu 1 :
Phát biểu nào sau đây là đúng khi nói về sóng điện từ?
-
A.
Điện tích dao động không thể bức xạ sóng điện từ.
-
B.
Tốc độ của sóng điện từ trong chân không nhỏ hơn nhiều lần so với tốc độ của ánh sáng trong chân không.
-
C.
Tần số của sóng điện từ bằng 2 lần tần số dao động của điện tích.
-
D.
Khi một điện tích điểm dao động thì sẽ có điện từ trường lan truyền trong không gian dưới dạng sóng.
Câu 2 :
Phát biểu nào sau đây sai khi nói về sóng điện từ?
-
A.
Sóng điện từ là điện từ trường lan truyền trong không gian.
-
B.
Sóng điện từ không lan truyền được trong chân không.
-
C.
Sóng điện từ là sóng ngang.
-
D.
Dao động của điện từ trường và từ trường trong sóng điện từ luôn đồng pha nhau
Câu 3 :
Sóng vô tuyến nào sau đây không bị phản xạ ở tần điện li?
-
A.
Sóng trung
-
B.
Sóng ngắn
-
C.
Sóng cực ngắn
-
D.
Sóng dài
Câu 4 :
Một anten vệ tinh có công suất phát sóng là 1570 W hướng về một vùng của Trái Đất. Tín hiệu nhận được từ vệ tinh ở vùng đó trên mặt đất có cường độ là 5.10-10W/m2. Bán kính đáy của hình nón tiếp xúc với mặt đất được vệ tinh phủ sóng là
-
A.
1000 km
-
B.
500 km
-
C.
10000 km
-
D.
5000 km
Câu 5 :
Sóng điện từ có tần số f = 300 MHz thuộc loại
-
A.
sóng dài
-
B.
sóng trung
-
C.
sóng ngắn
-
D.
sóng cực ngắn
Câu 6 :
Nguyên tắc phát sóng điện từ là:
-
A.
dùng mạch dao động LC dao động điều hòa
-
B.
đặt nguồn xoay chiều vào hai đầu mạch LC
-
C.
kết hợp mạch chọn sóng LC với anten
-
D.
kết hợp máy phát dao động điện từ duy trù với anten.
Câu 7 :
Kí hiệu các loại sóng điện từ như sau: (1) sóng dài ; (2) sóng trung ; (3) sóng ngắn ; (4) sóng cực ngắn. Những sóng điện từ nào kể trên đều bị tầng điện li phản xạ với mức độ khác nhau?
-
A.
Chỉ (1)
-
B.
(2) và (3)
-
C.
(3) và (4)
-
D.
(1), (2) và (3)
Câu 8 :
Để truyền các tín hiệu truyền hình vô tuyến, người ta thường dùng các sóng điện từ có bước sóng vào khoảng
-
A.
1 km đến 3 km
-
B.
vài trăm mét
-
C.
50 m trở lên
-
D.
dưới 10 m
Câu 9 :
Đặc điểm nào sau đây là đặc điểm chung giữa sóng điện từ và sóng cơ:
-
A.
Có vận tốc lan truyền phụ thuộc vào môi trường truyền sóng.
-
B.
Truyền được trong chân không.
-
C.
Mang năng lượng tỉ lệ với lũy thừa bậc 4 của tần số sóng.
-
D.
Đều là sóng dọc.
Câu 10 :
Một mạch chọn sóng là mạch dao động LC có L = 2 mH, C = 8 pF. Lấy π2 = 10. Mạch trên thu được sóng vô tuyến có bước sóng nào dưới đây trong môi trường không khí?
-
A.
λ = 120 m.
-
B.
λ = 240 m.
-
C.
λ = 12 m.
-
D.
λ = 24 m.
Câu 11 :
Một mạch chọn sóng gồm một cuộn dây có hệ số tự cảm không đôi và một tụ điện có điện dung biến thiên . Khi điện dung của tụ là 60nF thì mạch thu được bước sóng λ = 30m. Nếu mốn thu được bước sóng λ = 60m thì giá trị điện dung của tụ khi đó là:
-
A.
90 nF
-
B.
80 nF
-
C.
240 nF
-
D.
150 nF
Câu 12 :
Mạch chọn sóng của một máy thu vô tuyến điện dung của tụ điện có thể điều chỉnh từ 200pF đến 600pF và độ tự cảm của cuộn dây có thể điều chỉnh từ 0,01mH đến 0,1mH. Bước sóng điện từ trong không khí mà máy có thể thu được:
-
A.
Từ 84,3m đến 461,7m.
-
B.
từ 36,8m đến 146,9m.
-
C.
từ 42,2m đến 230,9m.
-
D.
từ 37,7m đến 113,1m.
Câu 13 :
Một sóng điện từ đang truyền từ một đài phát sóng ở Hà Nội đến máy thu. Biết cường độ điện trường cực đại là 10 (V/m) và cảm ứng từ cực đại là 0,15 (T). Tại điểm A có sóng truyền về hướng Bắc theo phương nằm ngang, ở một thời điểm nào đó khi cường độ điện trường là 4 (V/m) và đang có hướng Đông thì véc tơ cảm ứng từ có hướng và độ lớn là:
-
A.
Hướng xuống 0,06 (T)
-
B.
Hướng xuống 0,075 (T)
-
C.
Hướng lên 0,075 (T)
-
D.
Hướng lên 0,06 (T)
Câu 14 :
Mạch chọn sóng của máy thu vô tuyến điện gồm tụ điện C = 1 nF và cuộn cảm L = 100 µH (lấy π2 = 10). Bước sóng mà mạch thu được:
-
A.
λ = 300 m.
-
B.
λ = 596 m.
-
C.
λ = 300 km.
-
D.
λ = 1000 m.
Câu 15 :
Trong chân không, tốc độ truyền sóng điện từ bằng 3.108 m/s, một máy phát sóng phát ra sóng cực ngắn có bước sóng 4 m. Sóng cực ngắn đó có tần số bằng:
-
A.
75 kHz
-
B.
75 MHz
-
C.
120 kHz
-
D.
120 MHz
Câu 16 :
Khi nói về sóng điện từ, phát biểu nào sau đây sai?
-
A.
Sóng điện từ chỉ truyền được trong môi trường vật chất đàn hồi
-
B.
Sóng điện từ bị phản xạ khi gặp mặt phân cách giữa hai môi trường
-
C.
Sóng điện từ lan truyền trong chân không với tốc độ 3.108 m/s
-
D.
Sóng điện từ là sóng ngang và truyền được trong chân không
Câu 17 :
Sóng điện từ và sóng âm khi truyền từ không khí vào thủy tinh thì tần số:
-
A.
sóng điện từ giảm, còn sóng âm tăng.
-
B.
cả hai sóng đều không đổi.
-
C.
sóng điện từ tăng, còn sóng âm giảm.
-
D.
cả hai sóng đều giảm.
Câu 18 :
Mạch dao động của một máy thu vô tuyến điện, tụ điện có điện dung biến thiên từ 56 pF đến 667 pF. Muốn cho máy thu bắt được các sóng từ 40 m đến 2600 m, bộ cuộn cảm trong mạch phải có độ tự cảm nằm trong giới hạn nào?
-
A.
Từ 8 µH trở lên.
-
B.
Từ 2,84 mH trở xuống.
-
C.
Từ 8 µH đến 2,84 mH.
-
D.
Từ 8 mH đến 2,84 µH.
Câu 19 :
Chọn phát biểu đúng:
-
A.
Sóng điện từ cũng giống sóng cơ và chỉ truyền được trong môi trường vật chất.
-
B.
Trong sóng điện từ thì điện trường và từ trường tại một điểm dao động đồng pha.
-
C.
Trong chân không, các sóng điện từ truyền đi với vận tốc khác nhau.
-
D.
Trong sóng điện từ thì điện trường và từ trường tại một điểm dao động cùng phương.
Câu 20 :
Phát biểu nào sau đây là sai? Sóng điện từ và sóng cơ:
-
A.
đều tuân theo quy luật phản xạ.
-
B.
đều mang năng lượng.
-
C.
đều truyền được trong chân không.
-
D.
đều tuân theo quy luật giao thoa.
Lời giải và đáp án
Câu 1 :
Phát biểu nào sau đây là đúng khi nói về sóng điện từ?
-
A.
Điện tích dao động không thể bức xạ sóng điện từ.
-
B.
Tốc độ của sóng điện từ trong chân không nhỏ hơn nhiều lần so với tốc độ của ánh sáng trong chân không.
-
C.
Tần số của sóng điện từ bằng 2 lần tần số dao động của điện tích.
-
D.
Khi một điện tích điểm dao động thì sẽ có điện từ trường lan truyền trong không gian dưới dạng sóng.
Đáp án : D
- Khi một điện tích điểm dao động thì sẽ có điện từ trường lan truyền trong không gian dưới dạng sóng.
Đáp án D
Câu 2 :
Phát biểu nào sau đây sai khi nói về sóng điện từ?
-
A.
Sóng điện từ là điện từ trường lan truyền trong không gian.
-
B.
Sóng điện từ không lan truyền được trong chân không.
-
C.
Sóng điện từ là sóng ngang.
-
D.
Dao động của điện từ trường và từ trường trong sóng điện từ luôn đồng pha nhau
Đáp án : B
- Sóng điện từ chính là điện từ trường lan truyền trong không gian.
- Các đặc điểm:
+ Sóng điện từ lan truyền trong chân không và trong các điện môi.
+ Sóng điện từ là sóng ngang, có thành phần vecto điện trường \(\overrightarrow E \) vuông góc với thành phần vecto cảm ứng từ \(\overrightarrow B \) và cùng vuông góc với với phương truyền sóng, ba vecto \(\overrightarrow E \), \(\overrightarrow B \) và \(\overrightarrow v \) tạo thành một tam diện thuận.
Đáp án B
Câu 3 :
Sóng vô tuyến nào sau đây không bị phản xạ ở tần điện li?
-
A.
Sóng trung
-
B.
Sóng ngắn
-
C.
Sóng cực ngắn
-
D.
Sóng dài
Đáp án : C
- Sóng vô tuyến không bị phản xạ ở tầng điện li là sóng cực ngắn.
Đáp án C
Câu 4 :
Một anten vệ tinh có công suất phát sóng là 1570 W hướng về một vùng của Trái Đất. Tín hiệu nhận được từ vệ tinh ở vùng đó trên mặt đất có cường độ là 5.10-10W/m2. Bán kính đáy của hình nón tiếp xúc với mặt đất được vệ tinh phủ sóng là
-
A.
1000 km
-
B.
500 km
-
C.
10000 km
-
D.
5000 km
Đáp án : A
- Ta có:

Đáp án A
Câu 5 :
Sóng điện từ có tần số f = 300 MHz thuộc loại
-
A.
sóng dài
-
B.
sóng trung
-
C.
sóng ngắn
-
D.
sóng cực ngắn
Đáp án : D
- Ta có: λ = c/f = 3.108/300.106 = 1m
- Vậy đây là sóng cực ngắn.
Đáp án D
Câu 6 :
Nguyên tắc phát sóng điện từ là:
-
A.
dùng mạch dao động LC dao động điều hòa
-
B.
đặt nguồn xoay chiều vào hai đầu mạch LC
-
C.
kết hợp mạch chọn sóng LC với anten
-
D.
kết hợp máy phát dao động điện từ duy trù với anten.
Đáp án : D
- Nguyên tắc phát sóng điện từ là kết hợp máy phát dao động điện từ duy trì với anten.
Đáp án D
Câu 7 :
Kí hiệu các loại sóng điện từ như sau: (1) sóng dài ; (2) sóng trung ; (3) sóng ngắn ; (4) sóng cực ngắn. Những sóng điện từ nào kể trên đều bị tầng điện li phản xạ với mức độ khác nhau?
-
A.
Chỉ (1)
-
B.
(2) và (3)
-
C.
(3) và (4)
-
D.
(1), (2) và (3)
Đáp án : D
- Những sóng điện từ đều bị tầng điện li phản xạ với mức độ khác nhau là sóng dài, sóng trung và sóng ngắn.
Đáp án D
Câu 8 :
Để truyền các tín hiệu truyền hình vô tuyến, người ta thường dùng các sóng điện từ có bước sóng vào khoảng
-
A.
1 km đến 3 km
-
B.
vài trăm mét
-
C.
50 m trở lên
-
D.
dưới 10 m
Đáp án : D
- Để truyền các tín hiệu truyền hình vô tuyến, người ta thường dùng các sóng điện từ có bước sóng vào khoảng dưới 10m.
Đáp án D
Câu 9 :
Đặc điểm nào sau đây là đặc điểm chung giữa sóng điện từ và sóng cơ:
-
A.
Có vận tốc lan truyền phụ thuộc vào môi trường truyền sóng.
-
B.
Truyền được trong chân không.
-
C.
Mang năng lượng tỉ lệ với lũy thừa bậc 4 của tần số sóng.
-
D.
Đều là sóng dọc.
Đáp án : A
- Cả sóng điện từ và sóng cơ đều có vận tốc truyền sóng phụ thuộc vào bản chất của môi trường truyền sóng.
Đáp án A
Câu 10 :
Một mạch chọn sóng là mạch dao động LC có L = 2 mH, C = 8 pF. Lấy π2 = 10. Mạch trên thu được sóng vô tuyến có bước sóng nào dưới đây trong môi trường không khí?
-
A.
λ = 120 m.
-
B.
λ = 240 m.
-
C.
λ = 12 m.
-
D.
λ = 24 m.
Đáp án : B
- Bước sóng mà mạch LC thu được:

Đáp án B
Câu 11 :
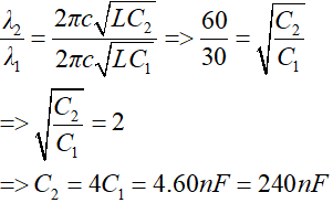
Một mạch chọn sóng gồm một cuộn dây có hệ số tự cảm không đôi và một tụ điện có điện dung biến thiên . Khi điện dung của tụ là 60nF thì mạch thu được bước sóng λ = 30m. Nếu mốn thu được bước sóng λ = 60m thì giá trị điện dung của tụ khi đó là:
-
A.
90 nF
-
B.
80 nF
-
C.
240 nF
-
D.
150 nF
Đáp án : C
- Khi tụ có điện dung C1 bước sóng mà mạch thu được xác định bởi biểu thức:

- Khi tụ có điện dung C2 bước sóng mà mạch thu được xác định bởi biểu thức:

- Vậy ta có tỷ số:

Đáp án C
Câu 12 :
Mạch chọn sóng của một máy thu vô tuyến điện dung của tụ điện có thể điều chỉnh từ 200pF đến 600pF và độ tự cảm của cuộn dây có thể điều chỉnh từ 0,01mH đến 0,1mH. Bước sóng điện từ trong không khí mà máy có thể thu được:
-
A.
Từ 84,3m đến 461,7m.
-
B.
từ 36,8m đến 146,9m.
-
C.
từ 42,2m đến 230,9m.
-
D.
từ 37,7m đến 113,1m.
Đáp án : A
- Ta có

Đáp án A
Câu 13 :
Một sóng điện từ đang truyền từ một đài phát sóng ở Hà Nội đến máy thu. Biết cường độ điện trường cực đại là 10 (V/m) và cảm ứng từ cực đại là 0,15 (T). Tại điểm A có sóng truyền về hướng Bắc theo phương nằm ngang, ở một thời điểm nào đó khi cường độ điện trường là 4 (V/m) và đang có hướng Đông thì véc tơ cảm ứng từ có hướng và độ lớn là:
-
A.
Hướng xuống 0,06 (T)
-
B.
Hướng xuống 0,075 (T)
-
C.
Hướng lên 0,075 (T)
-
D.
Hướng lên 0,06 (T)
Đáp án : A
- Vì E và B dao động cùng pha cùng tần số nên ta có:

- Dùng quy tắc bàn tay phải ta xác định được chiều của B hướng xuống.
Đáp án A
Câu 14 :
Mạch chọn sóng của máy thu vô tuyến điện gồm tụ điện C = 1 nF và cuộn cảm L = 100 µH (lấy π2 = 10). Bước sóng mà mạch thu được:
-
A.
λ = 300 m.
-
B.
λ = 596 m.
-
C.
λ = 300 km.
-
D.
λ = 1000 m.
Đáp án : B
- Bước sóng mà mạch thu được:

Đáp án B
Câu 15 :
Trong chân không, tốc độ truyền sóng điện từ bằng 3.108 m/s, một máy phát sóng phát ra sóng cực ngắn có bước sóng 4 m. Sóng cực ngắn đó có tần số bằng:
-
A.
75 kHz
-
B.
75 MHz
-
C.
120 kHz
-
D.
120 MHz
Đáp án : B
- Tần số của sóng:

Đáp án B
Câu 16 :
Khi nói về sóng điện từ, phát biểu nào sau đây sai?
-
A.
Sóng điện từ chỉ truyền được trong môi trường vật chất đàn hồi
-
B.
Sóng điện từ bị phản xạ khi gặp mặt phân cách giữa hai môi trường
-
C.
Sóng điện từ lan truyền trong chân không với tốc độ 3.108 m/s
-
D.
Sóng điện từ là sóng ngang và truyền được trong chân không
Đáp án : A
- Sóng điện từ không chỉ lan truyền được trong môi trường đàn hồi mà còn lan truyền được trong môi trường chân không.
Đáp án A
Câu 17 :
Sóng điện từ và sóng âm khi truyền từ không khí vào thủy tinh thì tần số:
-
A.
sóng điện từ giảm, còn sóng âm tăng.
-
B.
cả hai sóng đều không đổi.
-
C.
sóng điện từ tăng, còn sóng âm giảm.
-
D.
cả hai sóng đều giảm.
Đáp án : B
- Khi sóng âm và sóng điện từ truyền qua các môi trường khác nhau thì tần số của cả hai sóng đều không đổi.
Đáp án B
Câu 18 :
Mạch dao động của một máy thu vô tuyến điện, tụ điện có điện dung biến thiên từ 56 pF đến 667 pF. Muốn cho máy thu bắt được các sóng từ 40 m đến 2600 m, bộ cuộn cảm trong mạch phải có độ tự cảm nằm trong giới hạn nào?
-
A.
Từ 8 µH trở lên.
-
B.
Từ 2,84 mH trở xuống.
-
C.
Từ 8 µH đến 2,84 mH.
-
D.
Từ 8 mH đến 2,84 µH.
Đáp án : C
- Bước sóng mà mạch LC có thể bắt được:

→ Với dãi sóng từ 40 m đến 2600 m ta tìm được khoảng giá trị tương ứng của L từ:

Đến:

Đáp án C
Câu 19 :
Chọn phát biểu đúng:
-
A.
Sóng điện từ cũng giống sóng cơ và chỉ truyền được trong môi trường vật chất.
-
B.
Trong sóng điện từ thì điện trường và từ trường tại một điểm dao động đồng pha.
-
C.
Trong chân không, các sóng điện từ truyền đi với vận tốc khác nhau.
-
D.
Trong sóng điện từ thì điện trường và từ trường tại một điểm dao động cùng phương.
Đáp án : B
- Trong sóng điện từ thì điện trường và từ trường tại một điểm luôn dao động cùng pha.
Đáp án B
Câu 20 :
Phát biểu nào sau đây là sai? Sóng điện từ và sóng cơ:
-
A.
đều tuân theo quy luật phản xạ.
-
B.
đều mang năng lượng.
-
C.
đều truyền được trong chân không.
-
D.
đều tuân theo quy luật giao thoa.
Đáp án : C
Chỉ sóng điện từ truyền được trong chân không, sóng cơ không truyền được trong chân không → C sai.
Đáp án C
Luyện tập và củng cố kiến thức Bài 8: Giao thoa sóng Vật lí 11 với đầy đủ các dạng bài tập trắc nghiệm có đáp án và lời giải chi tiết
Xem chi tiết
Luyện tập và củng cố kiến thức Bài 9: Sóng dừng Vật lí 11 với đầy đủ các dạng bài tập trắc nghiệm có đáp án và lời giải chi tiết
Xem chi tiết
Luyện tập và củng cố kiến thức Bài 6: Các đặc trưng vật lí của sóng Vật lí 11 với đầy đủ các dạng bài tập trắc nghiệm có đáp án và lời giải chi tiết
Xem chi tiết
Luyện tập và củng cố kiến thức Bài 5: Sóng và sự truyền sóng Vật lí 11 với đầy đủ các dạng bài tập trắc nghiệm có đáp án và lời giải chi tiết
Xem chi tiết