Đề bài
Câu 1 :
Điện tích tích điểm được đặt trong không khí cách nhau 12cm. Lực tương tác giữa hai điện tích đó bằng 10N. Đặt hai điện tích đó vào trong dầu và đưa chúng cách nhau 8cm thì lực tương tác tác giữa chúng vẫn bằng 10N. Hỏi hằng số điện môi của dầu?
-
A.
ε = 1,51
-
B.
ε = 2,01
-
C.
ε = 3,41
-
D.
ε = 2,25.
Câu 2 :
Hai điện tích bằng nhau, nhưng khác dấu, chúng hút nhau bằng một lực 10-5N. Khi chúng rời xa nhau thêm một khoảng 4mm, lực tương tác giữa chúng bằng 2,5.10-6N. Khoảng cách ban đầu của các điện tích bằng
-
A.
1mm.
-
B.
2mm.
-
C.
4mm.
-
D.
8mm.
Câu 3 :
Hai điện tích điểm đặt cách nhau một khoảng r trong không khí thì hút nhau một lực F Đưa chúng vào trong dầu có hằng số điện môi ε = 4 chúng cách nhau một khoảng r’ = r/2 thì lực hút giữa chúng là:
-
A.
F
-
B.
F/2
-
C.
2F
-
D.
F/4
Câu 4 :
Hai điện tích điểm cách nhau một khoảng 2m đẩy nhau một lực 1,404 N. Tổng điện tích của hai vật bằng 5.10-5 C. Tính điện tích của mỗi vật:
-
A.
q1 = 2,6.10-5 C, q2 = 2,4.10-5 C.
-
B.
q1 = 1,6.10-5 C, q2 = 3,4.10-5 C.
-
C.
q1 = 4,6.10-5 C, q2 = 0,4.10-5 C.
-
D.
q1 = 3.10-5 C, q2 = 2.10-5 C.
Câu 5 :
Cho hai quả cầu nhỏ trung hòa điện cách nhau 40 cm. Giả sử bằng cách nào đó có 4.1012 electron từ quả cầu này di chuyển sang quả cầu kia. Khi đó chúng hút đầy nhau? Tính độ lớn lực tương tác đó
-
A.
Hút nhau F = 23 mN.
-
B.
Hút nhau F = 13 mN.
-
C.
Đẩy nhau F = 13 mN.
-
D.
Đẩy nhau F = 23 mN.
Câu 6 :
Hai điện tích điểm nằm yên trong chân không chúng tương tác với nhau một lực F. Người ta thay đổi yếu tố q1, q2, r thấy lực tương tác đổi chiều nhưng độ lớn không đổi. Hỏi các yếu tố trên thay đổi như thế nào?
-
A.
q1’ = -q1, q2’ = 2q2, r’ = r/2 .
-
B.
q1’ = q1/2, q2’ = -2q2, r’ = 2r.
-
C.
q1’ = -2q1, q2’ = 2q2, r’ = 2r.
-
D.
Các yếu tố không đổi.
Câu 7 :
Tính lực tương tác điện, lực hấp dẫn giữa electron và hạt nhân trong nguyên tử Hyđrô, biết khoảng cách giữa chúng là 5.10-9 cm, khối lượng hạt nhân bằng 1836 lần khối lượng electron.
-
A.
Fđ = 7,2.10-8 N, Fh = 34.10-48 N.
-
B.
Fđ = 9,2.10-8 N, Fh = 36.10-51 N.
-
C.
Fđ = 9,2.10-8 N, Fh = 41.10-48 N.
-
D.
Fđ = 10,2.10-8 N, Fh = 51.10-51 N.
Câu 8 :
Hai quả cầu nhỏ giống nhau, mỗi vật thừa một electron. Tìm khối lượng mỗi quả cầu để lực tĩnh điện bằng lực hấp dẫn giữa chúng. Cho G = 6,67.10-11 m3/kg.s
-
A.
2,86.10-9 kg
-
B.
1,86.10-9 kg
-
C.
4,86.10-9 kg
-
D.
9,86.10-9 kg
Câu 9 :
Hai điện tích điểm q1 = +3 μC và q2 = -3 μC, đặt trong dầu ( ε = 2) cách nhau một khoảng r = 3 cm. Lực tương tác giữa hai điện tích đó là
-
A.
5N
-
B.
25N
-
C.
30N
-
D.
45N
Câu 10 :
Khẳng định nào sau đây không đúng khi nói về lực tương tác giữa hai điện tích điểm trong chân không?
-
A.
có phương là đường thẳng nối hai điện tích
-
B.
có độ lớn tỉ lệ với tích độ lớn hai điện tích
-
C.
có độ lớn tỉ lệ nghịch với khoảng cách giữa hai điện tích
-
D.
là lực hút khi hai điện tích trái dấu.
Câu 11 :
Đồ thị diễn lực tương tác Culông giữa hai điện tích quan hệ với bình phương khoảng cách giữa hai điện tích là đường:
-
A.
hypebol.
-
B.
thẳng bậc nhất.
-
C.
parabol.
-
D.
elíp
Câu 12 :
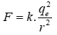
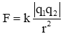
Công thức của định luật Culông là
-
A.
-
B.
-
C.
-
D.
Lời giải và đáp án
Câu 1 :
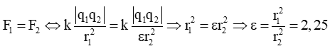
Điện tích tích điểm được đặt trong không khí cách nhau 12cm. Lực tương tác giữa hai điện tích đó bằng 10N. Đặt hai điện tích đó vào trong dầu và đưa chúng cách nhau 8cm thì lực tương tác tác giữa chúng vẫn bằng 10N. Hỏi hằng số điện môi của dầu?
-
A.
ε = 1,51
-
B.
ε = 2,01
-
C.
ε = 3,41
-
D.
ε = 2,25.
Đáp án : D
Theo giả thiết bài toán ta có:

Chọn D.
Câu 2 :
Hai điện tích bằng nhau, nhưng khác dấu, chúng hút nhau bằng một lực 10-5N. Khi chúng rời xa nhau thêm một khoảng 4mm, lực tương tác giữa chúng bằng 2,5.10-6N. Khoảng cách ban đầu của các điện tích bằng
-
A.
1mm.
-
B.
2mm.
-
C.
4mm.
-
D.
8mm.
Đáp án : C
Ban đầu ta có:


Chọn C.
Câu 3 :
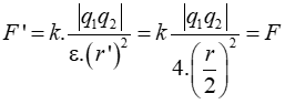
Hai điện tích điểm đặt cách nhau một khoảng r trong không khí thì hút nhau một lực F Đưa chúng vào trong dầu có hằng số điện môi ε = 4 chúng cách nhau một khoảng r’ = r/2 thì lực hút giữa chúng là:
-
A.
F
-
B.
F/2
-
C.
2F
-
D.
F/4
Đáp án : A


Chọn A.
Câu 4 :
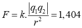
Hai điện tích điểm cách nhau một khoảng 2m đẩy nhau một lực 1,404 N. Tổng điện tích của hai vật bằng 5.10-5 C. Tính điện tích của mỗi vật:
-
A.
q1 = 2,6.10-5 C, q2 = 2,4.10-5 C.
-
B.
q1 = 1,6.10-5 C, q2 = 3,4.10-5 C.
-
C.
q1 = 4,6.10-5 C, q2 = 0,4.10-5 C.
-
D.
q1 = 3.10-5 C, q2 = 2.10-5 C.
Đáp án : A
Ta có: q1 + q2 = 5.10-5 C.

Vì 2 điện tích đẩy nhau nên chúng cùng dấu suy ra q1q2 = 6,24.10-10
Khi đó q1, q2 là nghiệm của PT: q2 – 5.10-5q + 6,24.10-10 = 0
→ q1 = 2,6.10-5 C, q2 = 2,4.10-5 C.
Chọn A.
Câu 5 :
Cho hai quả cầu nhỏ trung hòa điện cách nhau 40 cm. Giả sử bằng cách nào đó có 4.1012 electron từ quả cầu này di chuyển sang quả cầu kia. Khi đó chúng hút đầy nhau? Tính độ lớn lực tương tác đó
-
A.
Hút nhau F = 23 mN.
-
B.
Hút nhau F = 13 mN.
-
C.
Đẩy nhau F = 13 mN.
-
D.
Đẩy nhau F = 23 mN.
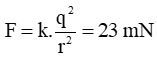
Đáp án : A
Do có 4.1012 electron từ quả cầu này di chuyển sang quả cầu kia nên 2 quả cầu mang điện tích trái dấu và có |q1| = |q2| = 4.1012.1,6.10-19 = 6,4.10-7.

Chọn A
Câu 6 :
Hai điện tích điểm nằm yên trong chân không chúng tương tác với nhau một lực F. Người ta thay đổi yếu tố q1, q2, r thấy lực tương tác đổi chiều nhưng độ lớn không đổi. Hỏi các yếu tố trên thay đổi như thế nào?
-
A.
q1’ = -q1, q2’ = 2q2, r’ = r/2 .
-
B.
q1’ = q1/2, q2’ = -2q2, r’ = 2r.
-
C.
q1’ = -2q1, q2’ = 2q2, r’ = 2r.
-
D.
Các yếu tố không đổi.
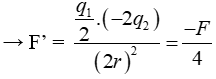
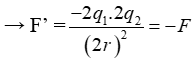
Đáp án : C

+) Xét q1’ = -q1, q2’ = 2q2,

+) Xét q1’ = q1/2, q2’ = -2q2, r’ = 2r

+) Xét q1’ = -2q1, q2’ = 2q2, r’ = 2r

Chọn C.
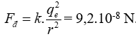
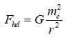
Câu 7 :
Tính lực tương tác điện, lực hấp dẫn giữa electron và hạt nhân trong nguyên tử Hyđrô, biết khoảng cách giữa chúng là 5.10-9 cm, khối lượng hạt nhân bằng 1836 lần khối lượng electron.
-
A.
Fđ = 7,2.10-8 N, Fh = 34.10-48 N.
-
B.
Fđ = 9,2.10-8 N, Fh = 36.10-51 N.
-
C.
Fđ = 9,2.10-8 N, Fh = 41.10-48 N.
-
D.
Fđ = 10,2.10-8 N, Fh = 51.10-51 N.
Đáp án : C

Lực hấp dẫn giữa chúng là:

Chọn C.
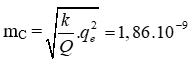
Câu 8 :
Hai quả cầu nhỏ giống nhau, mỗi vật thừa một electron. Tìm khối lượng mỗi quả cầu để lực tĩnh điện bằng lực hấp dẫn giữa chúng. Cho G = 6,67.10-11 m3/kg.s
-
A.
2,86.10-9 kg
-
B.
1,86.10-9 kg
-
C.
4,86.10-9 kg
-
D.
9,86.10-9 kg
Đáp án : B



Chọn B.
Câu 9 :
Hai điện tích điểm q1 = +3 μC và q2 = -3 μC, đặt trong dầu ( ε = 2) cách nhau một khoảng r = 3 cm. Lực tương tác giữa hai điện tích đó là
-
A.
5N
-
B.
25N
-
C.
30N
-
D.
45N
Đáp án : D

Chọn D.
Câu 10 :
Khẳng định nào sau đây không đúng khi nói về lực tương tác giữa hai điện tích điểm trong chân không?
-
A.
có phương là đường thẳng nối hai điện tích
-
B.
có độ lớn tỉ lệ với tích độ lớn hai điện tích
-
C.
có độ lớn tỉ lệ nghịch với khoảng cách giữa hai điện tích
-
D.
là lực hút khi hai điện tích trái dấu.
Đáp án : C

Do đó lực tương tác giữa hai điện tích điểm trong chân không có độ lớn tỉ lệ nghịch với bình phương khoảng cách giữa hai điện tích nên C sai.
Chọn C.
Câu 11 :
Đồ thị diễn lực tương tác Culông giữa hai điện tích quan hệ với bình phương khoảng cách giữa hai điện tích là đường:
-
A.
hypebol.
-
B.
thẳng bậc nhất.
-
C.
parabol.
-
D.
elíp
Đáp án : A

Chọn A.
Câu 12 :
Công thức của định luật Culông là
-
A.
-
B.
-
C.
-
D.
Đáp án : C

Chọn C.
Luyện tập và củng cố kiến thức Bài 2: Điện trường Vật lí 11 với đầy đủ các dạng bài tập trắc nghiệm có đáp án và lời giải chi tiết
Xem chi tiết
Luyện tập và củng cố kiến thức Bài 3: Điện thế, hiệu điện thế, tụ điện Vật lí 11 với đầy đủ các dạng bài tập trắc nghiệm có đáp án và lời giải chi tiết
Xem chi tiết