Tài Liệu Học Tập
No Result
View All Result
  • Đề Thi
  • Lớp 12
    • Lịch Sử Lớp 12
    • Địa Lí Lớp 12
    • Ngữ Văn Lớp 12
    • GD KTPL Lớp 12
    • Toán Lớp 12
    • Tiếng Anh Lớp 12
    • Hóa Học Lớp 12
    • Sinh Học Lớp 12
    • Vật Lí Lớp 12
  • Lớp 11
    • Toán Lớp 11
    • Ngữ Văn Lớp 11
    • Tiếng Anh Lớp 11
    • Hóa Học Lớp 11
    • Sinh Học Lớp 11
    • Vật Lí Lớp 11
    • Lịch Sử Lớp 11
    • Địa Lí Lớp 11
    • GDCD Lớp 11
  • Lớp 10
    • Toán Lớp 10
    • Ngữ Văn Lớp 10
    • Tiếng Anh Lớp 10
    • Hóa Học Lớp 10
    • Sinh Học Lớp 10
    • Vật Lí Lớp 10
    • Lịch Sử Lớp 10
    • Địa Lí Lớp 10
    • GDKTPL Lớp 10
    • Công nghệ lớp 10
    • Tin Học Lớp 10
  • Lớp 9
    • Toán Lớp 9
    • Ngữ Văn Lớp 9
    • Tiếng Anh Lớp 9
    • Lịch sử và địa lý lớp 9
    • Khoa Học Tự Nhiên Lớp 9
    • GDCD Lớp 9
  • Lớp 8
    • Toán Lớp 8
    • Ngữ Văn Lớp 8
    • Tiếng Anh Lớp 8
    • Lịch sử và địa lý lớp 8
    • Khoa Học Tự Nhiên Lớp 8
    • GDCD 8
  • Lớp 7
    • Toán Lớp 7
    • Văn Lớp 7
    • Tiếng Anh Lớp 7
    • Lịch Sử Và Địa Lí Lớp 7
    • Khoa Học Tự Nhiên Lớp 7
  • Lớp 6
    • Toán Lớp 6
    • Văn Lớp 6
    • Tiếng Anh lớp 6
    • Lịch Sử và Địa Lí Lớp 6
    • Khoa Học Tự Nhiên lớp 6
  • Lớp 5
    • Toán lớp 5
    • Tiếng Việt Lớp 5
    • Tiếng Anh Lớp 5
    • Lịch Sử và Địa Lí Lớp 5
  • Lớp 4
    • Toán lớp 4
    • Tiếng Việt Lớp 4
    • Tiếng Anh Lớp 4
    • Lịch Sử và Địa Lí Lớp 4
  • Lớp 3
    • Toán lớp 3
    • Tiếng Anh Lớp 3
    • Tiếng Việt Lớp 3
  • Mẹo Hay
  • Tin tức
  • Liên Hệ
Tài Liệu Học Tập
No Result
View All Result
Home Văn học

Hàm Số Bậc Hai – Lý Thuyết Và Các Bài Tập Liên Quan

by Tranducdoan
15/03/2026
in Văn học
0
Đánh giá bài viết

Mục Lục Bài Viết

  1. 1. Tóm tắt lý thuyết về hàm số bậc hai
    1. 1.1. Khái niệm hàm số bậc hai lớp 10
    2. 1.2. Chiều biến thiên của hàm số bậc 2
    3. 1.3. Hướng dẫn vẽ đồ thị của hàm số bậc hai
  2. 2. Các bài tập hàm số bậc hai kèm cách giải đơn giản nhất

1. Tóm tắt lý thuyết về hàm số bậc hai

Hàm số bậc hai lớp 10 là một khái niệm khá quen thuộc với mỗi bạn học sinh. Vậy hàm số bậc hai là gì? Chúng ta cùng đi sâu vào tìm hiểu thế nào là hàm số bậc hai nhé!

1.1. Khái niệm hàm số bậc hai lớp 10

  • Hàm số bậc hai là hàm số có dạng như sau:

$y=ax^{2}+bx+c$

Trong đó: $aneq 0$

a,b,c, là các hằng số

Tập R chính là tập xác định của hàm số bậc hai.

Hệ số hoàn toàn có thể ở số y. Số x và y lần lượt là các biến.

  • Hàm số bậc hai có dạng đồ thị tổng quát:

  • Là đường Parabol có đỉnh $I(frac{-b}{2a},frac{-Delta }{4a})$

  • Trục đối xứng là đường thẳng $x=frac{-b}{2a}$

Khái niệm hàm số bậc hai

1.2. Chiều biến thiên của hàm số bậc 2

Ta được biết hàm số bậc hai có dạng: $y=ax^{2}+bx+c$ , $aneq 0$

Từ đó chúng ta rút ra được kết luận về chiều biến thiên của hàm số bậc 2 như sau:

  • Khi a>0:

Hàm số bậc hai và sự biến thiên

– Hàm số đồng biến trên $left ( frac{-b}{2a},+infty right )$

– Hàm số nghịch biến trên $left ( -infty ,frac{-b}{2a} right )$

– Hàm số đạt GTNN là $frac{-Delta }{4a}$ khi $x=frac{-b}{2a}$

  • Khi a<0

Hàm số bậc hai và sự biến thiên

  • Hàm số đồng biến trên khoảng $left ( -infty ,frac{-b}{2a} right )$

  • Hàm số nghịch biến trên khoảng $left ( frac{-b}{2a},+infty right )$

  • Hàm số đạt GTLN là $frac{-Delta }{4a}$ khi $x=frac{-b}{2a}$

1.3. Hướng dẫn vẽ đồ thị của hàm số bậc hai

Đồ thị của hàm số bậc hai có rất nhiều dạng. Để có thể vẽ được đồ thị của hàm số bậc hai chúng ta làm những bước như sau:

a, Vẽ đồ thị hàm số bậc hai có dạng $y=ax^{2}$

Ta thực hiện lần lượt các bước:

  • Xác định tọa độ đỉnh (0;0).

  • Xác định 5 điểm thuộc đồ thị để vẽ đồ thị chính xác.

  • Vẽ parabol.

Đồ thị hàm số bậc hai

Khi vẽ parabol, ta cần chú ý đến dấu của hệ số a (Nếu a >0 thì bề lõm quay lên trên, a <0 bề lõm quay xuống dưới).

b, Cách vẽ đồ thị hàm số bậc hai dạng $y=ax^{2}+bx+c$

Để vẽ đồ thị hàm số bậc hai, đầu tiên ta khảo sát:

Bảng biến thiên của hàm số y=ax²+bx+c được chia làm 2 trường hợp:

  • Với a>0, hàm số nghịch biến trên khoảng $left ( -infty ,frac{-b}{2a} right )$ và đồng biến trên khoảng $left ( frac{-b}{2a},+infty right )$.

Đồ thị hàm số bậc hai

  • Trong trường hợp a<0, hàm số đồng biến trên khoảng $left ( -infty ,frac{-b}{2a} right )$ và nghịch biến trên khoảng $left ( frac{-b}{2a},+infty right )$.

Đồ thị hàm số bậc hai

Đồ thị hàm bậc 2 là một Parabol.

Để vẽ đường parabol $y=ax^{2}+bx+c$ ta thực hiện các bước như sau:

  • Xác định toạ độ đỉnh $I(frac{-b}{2a},frac{-Delta }{4a})$.

  • Xác định trục đối xứng $x=frac{-b}{2a}$ và hướng bề lõm của parabol.

  • Xác định một số điểm cụ thể của parabol (ví dụ như giao điểm của parabol với các trục toạ độ và các điểm đối xứng với chúng qua trục trục đối xứng).

  • Căn cứ vào tính đối xứng, bề lõm và hình dáng parabol để vẽ parabol.

Với a>0

Đồ thị hàm số bậc hai

Với a<0

Đồ thị hàm số bậc hai

Đăng ký ngay khóa học DUO để được lên lộ trình ôn thi tốt nghiệp sớm nhất!

hoanh do dinh la gi

2. Các bài tập hàm số bậc hai kèm cách giải đơn giản nhất

Bài tập 1: Cho hàm số: y = f(x) = $ax^{2}+2x-7$ (P).

Tìm a để đồ thị (P) đi qua A(1, -2)

Giải:

Ta có: $Aleft ( 1,-2 right )epsilon P$ nên : -2 = a.12 + 2.1 – 7

⇔ a = 3

Vậy : y = f(x) = $3x^{2}+2x-7$ (P)

Bài tập 2: Hãy lập bảng biến thiên và vẽ đồ thị hàm số sau:

y = $3x^{2}-4x+1$ ( a = 3; b = -4; c = 1)

TXĐ: D = R. Ta có:

Tọa độ đỉnh I$left ( frac{2}{3},frac{-1}{3} right )$.

Trục đối xứng: x = $frac{2}{3}$

Tính biến thiên:

a = 3 > 0 hàm số nghịch biến trên $left ( -infty; frac{-2}{3} right )$ và đồng biến trên khoảng $left ( frac{2}{3};+infty right )$

Bảng biến thiên:

Phương pháp giải bài tập hàm số bậc hai

Các điểm đặc biệt:

(P) giao trục hoành y = 0: $3x^{2}-4x+1=0$ <=> x = 1; x = $frac{1}{2}$

(P) giao trục tung: x = 0 => y = 1

Hàm số bậc hai và đồ thị hàm số

Đồ thị hàm số y = $3x^{2}-4x+1$ là đường parabol (P) có:

Đỉnh I$left ( frac{2}{3},frac{-1}{3} right )$.

Trục đối xứng: x = $frac{2}{3}$.

(P) quay bề lõm lên trên.

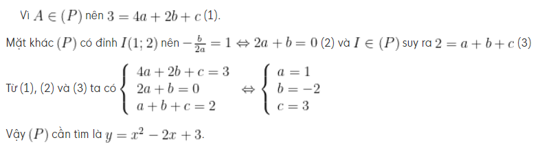
Bài tập 3: Xác định parabol (P) y= $ax^{2}+bx+c$ biết:

(P) có đỉnh I (1,2) và đi qua A (2,3)

Giải:

Phương pháp giải hàm số bậc hai

Bài tập 4: Xác định parabol (P): y=$ax^{2}+bx+c$, $aneq 0$ biết:

C = 2 và (P) đi qua B(3;-4) và có trục đối xứng là x= -32

Giải:

Bài tập 5: Xác định parabol (P): y=$ax^{2}+bx+c$, $aneq 0$ biết:

Hàm số y=$ax^{2}+bx+c$ có giá trị nhỏ nhất bằng $frac{3}{4}$ khi x=$frac{1}{2}$ và nhận giá trị bằng 1 khi x = 1

Giải:

Phương pháp giải hàm số bậc hai

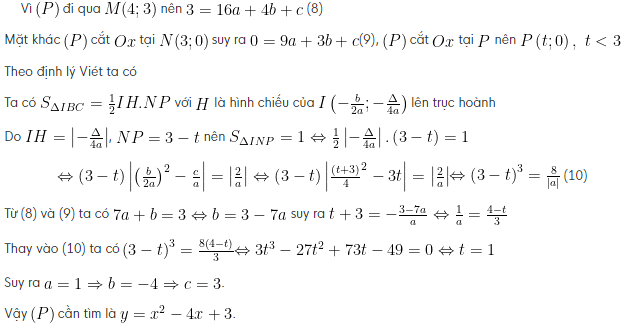
Bài tập 6: Xác định parabol (P): y=$ax^{2}+bx+c$, $aneq 0$ biết:

(P) đi qua M(4;3) cắt Ox tại N(3;0) và P sao cho $Delta INP$ có diện tích bằng 1 biết hoành độ điểm P nhỏ hơn 3.

Giải:

Phương pháp giải hàm số bậc hai

Trên đây là tổng hợp lý thuyết và bài tập đầy đầy đủ và chi tiết nhất về hàm số bậc hai. Hy vọng rằng các bạn học sinh có thể làm quen với bài học để giải toán một cách hiệu quả. Hãy truy cập vào Vuihoc.vn để học thêm nhiều kiến thức liên quan đến môn toán nhé!

>> Xem thêm: Thành thạo mọi bài tập vận dụng cao hàm số mũ và logarit

Previous Post

Cát tuyến là gì? Cát tuyến của đường tròn là gì?

Next Post

200+ Đề thi Giữa kì 1 lớp 6 năm 2025 (các môn học)

Tranducdoan

Tranducdoan

Trần Đức Đoàn sinh năm 1999, anh chàng đẹp trai đến từ Thái Bình. Hiện đang theo học và làm việc tại trường cao đẳng FPT Polytechnic

Next Post

200+ Đề thi Giữa kì 1 lớp 6 năm 2025 (các môn học)

đọc sách online max79 cm88 socolivetv Ca Khia TV trực tiếp XoilacTV 88vv Socolive trực tiếp game bài đổi thưởng topclub 69vn FUN79 KP88 555win 888now 888top สล็อต999 https://p789bet.biz/ cakhia VN88 cakhia cakhia sumclub https://www.intermedio.io/ xoilactv tructiepbongda Xoilac Xoilac365 cakhia tv Trực tiếp bóng đá 90phut i9bet.us.com ok9 jbo Nhà cái M88 Mansion Xoilac
Tài Liệu Học Tập

Copyright © 2022 Tài Liệu Học Tập.

Chuyên Mục

  • Đề Thi
  • Lớp 12
  • Lớp 11
  • Lớp 10
  • Lớp 9
  • Lớp 8
  • Lớp 7
  • Lớp 6
  • Lớp 5
  • Lớp 4
  • Lớp 3
  • Mẹo Hay
  • Tin tức
  • Liên Hệ

Tham Gia Group Tài Liệu Học Tập

No Result
View All Result
  • Đề Thi
  • Lớp 12
    • Lịch Sử Lớp 12
    • Địa Lí Lớp 12
    • Ngữ Văn Lớp 12
    • GD KTPL Lớp 12
    • Toán Lớp 12
    • Tiếng Anh Lớp 12
    • Hóa Học Lớp 12
    • Sinh Học Lớp 12
    • Vật Lí Lớp 12
  • Lớp 11
    • Toán Lớp 11
    • Ngữ Văn Lớp 11
    • Tiếng Anh Lớp 11
    • Hóa Học Lớp 11
    • Sinh Học Lớp 11
    • Vật Lí Lớp 11
    • Lịch Sử Lớp 11
    • Địa Lí Lớp 11
    • GDCD Lớp 11
  • Lớp 10
    • Toán Lớp 10
    • Ngữ Văn Lớp 10
    • Tiếng Anh Lớp 10
    • Hóa Học Lớp 10
    • Sinh Học Lớp 10
    • Vật Lí Lớp 10
    • Lịch Sử Lớp 10
    • Địa Lí Lớp 10
    • GDKTPL Lớp 10
    • Công nghệ lớp 10
    • Tin Học Lớp 10
  • Lớp 9
    • Toán Lớp 9
    • Ngữ Văn Lớp 9
    • Tiếng Anh Lớp 9
    • Lịch sử và địa lý lớp 9
    • Khoa Học Tự Nhiên Lớp 9
    • GDCD Lớp 9
  • Lớp 8
    • Toán Lớp 8
    • Ngữ Văn Lớp 8
    • Tiếng Anh Lớp 8
    • Lịch sử và địa lý lớp 8
    • Khoa Học Tự Nhiên Lớp 8
    • GDCD 8
  • Lớp 7
    • Toán Lớp 7
    • Văn Lớp 7
    • Tiếng Anh Lớp 7
    • Lịch Sử Và Địa Lí Lớp 7
    • Khoa Học Tự Nhiên Lớp 7
  • Lớp 6
    • Toán Lớp 6
    • Văn Lớp 6
    • Tiếng Anh lớp 6
    • Lịch Sử và Địa Lí Lớp 6
    • Khoa Học Tự Nhiên lớp 6
  • Lớp 5
    • Toán lớp 5
    • Tiếng Việt Lớp 5
    • Tiếng Anh Lớp 5
    • Lịch Sử và Địa Lí Lớp 5
  • Lớp 4
    • Toán lớp 4
    • Tiếng Việt Lớp 4
    • Tiếng Anh Lớp 4
    • Lịch Sử và Địa Lí Lớp 4
  • Lớp 3
    • Toán lớp 3
    • Tiếng Anh Lớp 3
    • Tiếng Việt Lớp 3
  • Mẹo Hay
  • Tin tức
  • Liên Hệ

Copyright © 2022 Tài Liệu Học Tập.