Trong chương trình học, kiến thức toán lớp 10 là nền tảng quan trọng để chuẩn bị cho các kỳ thi chuyển cấp và các kỳ thi THPT quốc gia. Nắm vững các công thức toán lớp 10 sẽ giúp bạn giải quyết các bài toán tư duy một cách nhanh chóng và chính xác. Bài viết này, Trường Việt Anh sẽ tổng hợp công thức toán 10 học kì 1, học kỳ 2 đầy đủ và chi tiết nhất, bao gồm tất cả các công thức toán đại 10 và công thức toán hình 10, giúp các bạn học sinh dễ dàng ôn tập và tra cứu.
Công thức toán lớp 10 – Phần Đại số
Phần này, Trường Việt Anh sẽ tổng hợp kiến thức toán lớp 10 phần Đại số bao gồm nhiều chủ đề quan trọng. Để giải các bài tập một cách hiệu quả, bạn cần nắm chắc các công thức toán lớp 10 sau.
Các công thức về bất đẳng thức
Bất đẳng thức được xem là phần kiến thức trọng tâm toán lớp 10 nên học sinh cần phải ghi nhớ kỹ các công thức để có thể dễ dàng xử lý các bài toán liên quan.
- Tính chất bắc cầu: Nếu a > b và b > c => a > c
- Tính chất cộng: Nếu bạn cộng hai vế của một bất đẳng thức với cùng một số, ta được một bất đẳng thức không thay đổi về chiều: Nếu a > b => a + c > b + c
- Tính chất nhân:
Nếu a > b và c > 0 => a.c > b.c
Nếu a > b và c < 0 => a.c < b.c (chiều bất đẳng thức đổi ngược).
Bất đẳng thức Cô-si (Cauchy Inequality)
Định nghĩa: Nếu (a ge 0 ) và (b ge 0 ) thì ( frac{a+b}{2} ge sqrt{ab} )
Dấu bằng xảy ra khi và chỉ khi a = b .
Ý nghĩa: Trung bình cộng của hai số không âm lớn hơn hoặc bằng trung bình nhân của chúng.
Hệ quả 1 (Tổng không đổi): Nếu hai số dương có tổng không đổi thì tích của chúng lớn nhất khi hai số đó bằng nhau (hình vuông có diện tích lớn nhất trong tất cả các hình chữ nhật có cùng chu vi).
Hệ quả 2 (Tích không đổi): Nếu hai số dương có tích không đổi thì tổng của chúng nhỏ nhất khi hai số đó bằng nhau (hình vuông có chu vi nhỏ nhất trong tất cả các hình chữ nhật có cùng diện tích).
Bất đẳng thức chứa giá trị tuyệt đối
Định nghĩa:
|x| = x nếu (x ge 0 )
|x| = – x nếu x < 0
Các tính chất cơ bản:
( |x| ge 0 )
( |x|^2 = x^2 )
( x le |x| ) và ( – x le |x| )
Định lí (Với mọi số thực a và b):
( |a + b| le |a| + |b| ) (1)
( |a – b| le |a| + |b| ) (2)
|a + b| = |a| + |b| khi và chỉ khi ( a.b ge 0 )
|a – b| = |a| + |b| khi và chỉ khi ( a.b le 0 )
Các công thức toán 10 về giải phương trình bậc hai
Phương trình bậc hai có dạng ( ax^2 + bx + c = 0 ) ( (a ne 0) )
Công thức nghiệm: Tính delta ( Delta = b^2 – 4ac )
Nếu ( Delta < 0 ), phương trình vô nghiệm (không có nghiệm thực).
Nếu ( Delta = 0 ), phương trình có nghiệm kép x = – b / (2a)
Nếu ( Delta > 0 ), phương trình có hai nghiệm phân biệt ( x_{1,2} = frac{-b pm sqrt{Delta}}{2a} )
Định lí Vi-ét: Nếu phương trình có nghiệm, ta có tổng hai nghiệm ( x_1 + x_2 = -frac{b}{a} ) và tích hai nghiệm ( x_1x_2 = frac{c}{a} )
Công thức tính nghiệm thu gọn của phương trình bậc hai được áp dụng khi hệ số b là một số chẵn ( b = 2b’ hoặc ( b’ = frac{b}{2} ) ).
Cụ thể, đối với phương trình ( ax^2 + bx + c = 0 ) ( (a ne 0) ) trong trường hợp b chẵn:
Tính delta phẩy ( (Delta’) ): ( Delta’ ) = ( b’^2 – ac ) trong đó ( b’ = frac{b}{2} )
Nếu ( Delta’ ) < 0: Phương trình vô nghiệm
Nếu ( Delta’ ) = 0: Phương trình có nghiệm kép ( x_1 = x_2 = -frac{b’}{a} )
Nếu ( Delta’ ) > 0: Phương trình có hai nghiệm phân biệt ( x_{1} = frac{-b’ – sqrt{Delta’}}{a} ), ( x_{2} = frac{-b’ + sqrt{Delta’}}{a} )
Các trường hợp đặc biệt khi giải phương trình bậc hai:
Đối với phương trình ( ax^2 + bx + c = 0 ) ( (a ne 0) )
Nếu a + b + c = 0: Phương trình có một nghiệm là ( x_1 = 1 ), nghiệm còn lại là ( x_2 = frac{c}{a} )
Nếu a – b + c = 0: Phương trình có một nghiệm là ( x_1 = -1 ), nghiệm còn lại là ( x_2 = -frac{c}{a} )
Dấu của nghiệm số ( ax^2 + bx + c = 0 ) ( (a ne 0) )
Để xét dấu các nghiệm, trước tiên phương trình phải có nghiệm, tức là biệt thức ( Delta ) > 0 (hoặc ( Delta’ ) > 0). Dựa trên Định lí Vi-ét, ta có tổng nghiệm S = ( x_1 + x_2 = -frac{b}{a} ) và tích nghiệm P = ( x_1 . x_2 = frac{c}{a} ).
Phương trình có 2 nghiệm trái dấu ( ( x_1 < 0 < x_2 ) ):
Điều kiện: P < 0 ( ( Delta ) > 0 được thỏa mãn tự nhiên nếu P < 0).
Phương trình có 2 nghiệm dương phân biệt ( ( 0 < x_1 < x_2 ) ):
Điều kiện: ( left{begin{array}{l} Delta > 0 P > 0 S > 0 end{array} right. )
Phương trình có 2 nghiệm âm phân biệt ( ( x_1 < x_2 < 0 ) ):
Điều kiện: ( left{begin{array}{l} Delta > 0 P > 0 S < 0 end{array} right. )
Công thức toán 10 về dấu của đa thức
Dấu của nhị thức bậc nhất: Nhị thức f(x) = ax + b có cùng dấu với a khi x > ( -frac{b}{a} ) và trái dấu với a khi x < ( -frac{b}{a} )
Dấu của tam thức bậc hai: Cho tam thức f(x) = ( ax^2 + bx + c = 0 ) ( (a ne 0) ), ta có:
Nếu ( Delta < 0 ), f(x) luôn cùng dấu với hệ số a với mọi ( x in R )
Nếu ( Delta = 0 ), f(x) luôn cùng dấu với hệ số a (trừ tại nghiệm kép x = ( -frac{b}{2a} ) ).
Nếu ( Delta > 0 ), f(x) có hai nghiệm phân biệt ( x_1,x_2 ). f(x) cùng dấu với a khi x nằm ngoài khoảng hai nghiệm và trái dấu với a khi x nằm trong khoảng hai nghiệm.
Các điều kiện để tam thức không đổi dấu trên R
Để tam thức bậc hai không đổi dấu trên R, điều kiện tiên quyết là biệt thức ( Delta ) (hoặc ( Delta’ ) ) phải không dương ( ( Delta le 0 ) ).
- Trường hợp 1: Luôn dương
( f(x) > 0, forall x in mathbb{R} ) khi và chỉ khi: ( begin{cases} a > 0 Delta < 0 end{cases} )
- Trường hợp 2: Luôn không âm (lớn hơn hoặc bằng 0)
( f(x) ge 0, forall x in mathbb{R} ) khi và chỉ khi: ( begin{cases} a > 0 Delta le 0 end{cases} )
- Trường hợp 3: Luôn âm
( f(x) < 0, forall x in mathbb{R} ) khi và chỉ khi: ( begin{cases} a < 0 Delta < 0 end{cases} )
- Trường hợp 4: Luôn không dương (bé hơn hoặc bằng 0)
( f(x) le 0, forall x in mathbb{R} ) khi và chỉ khi: ( begin{cases} a < 0 Delta le 0 end{cases} )
Các công thức phương trình và bất phương trình chứa trị tuyệt đối
Giá trị tuyệt đối của A (ký hiệu |A|) là khoảng cách từ A đến 0 trên trục số, do đó ( |A| ge 0. )
( |A| = begin{cases} A & A ge 0 -A & A < 0 end{cases} )
Phương trình chứa trị tuyệt đối:
Dạng 1: |A| = B
Điều kiện: Vì ( |A| ge 0, ) nên phương trình chỉ có nghiệm khi ( B ge 0. )
( |A| = B iff begin{cases} B ge 0 A = B, A = -B end{cases} )
Trường hợp đặc biệt:
Nếu B < 0 phương trình vô nghiệm.
Nếu B là một biểu thức chứa biến (ví dụ: |x-1| = 2x), ta phải đặt điều kiện ( B ge 0 ) trước khi giải.
Dạng 2: |A| = |B|
Phương trình này không cần điều kiện gì vì cả hai vế đều ( ge 0 )
|A| = |B| ( iff ) A = B, A = -B
Bất phương trình chứa trị tuyệt đối
Dạng |A| < B
|A| < B ( iff ) -B < A < B
Lưu ý: Nếu ( B le 0 ) (ví dụ: |A| < -1), bất phương trình vô nghiệm.
Dạng |A| > B
|A| > B ( iff ) A > B, A < -B
Lưu ý: Nếu B < 0 (ví dụ: |A| > -1) bất phương trình nghiệm đúng với mọi A (tức là ( forall x ) thỏa mãn điều kiện xác định của A)
Dạng ( |A| le B ) và ( |A| ge B )
( |A| le B iff -B le A le B )
( |A| ge B iff A ge B, A le – B )
Các công thức toán 10 về phương trình và bất phương trình chứa ẩn dưới dấu căn bậc hai
Phương trình chứa ẩn dưới dấu căn bậc hai
Các dạng cơ bản và điều kiện tương đương:
Dạng ( sqrt{A} = B: sqrt{A} = B iff begin{cases} B ge 0 A = B^2 end{cases} )
Điều kiện ( A ge 0 ) là hiển nhiên vì ( A = B^2 ge 0. ) Do đó, chỉ cần điều kiện ( B ge 0 ) và bình phương hai vế.
Dạng ( sqrt{A} = sqrt{B}: sqrt{A} = sqrt{B} iff begin{cases} A ge 0 A = B end{cases} )
Chỉ cần chọn một trong hai điều kiện ( A ge 0 ) hoặc ( B ge 0 ) vì điều kiện còn lại sẽ được thỏa mãn khi A = B.
Bất phương trình chứa ẩn dưới dấu căn bậc hai
Các dạng cơ bản và điều kiện tương đương:

>>> Xem thêm: Giải bất phương trình bậc nhất một ẩn – Lý thuyết & bài tập
Tổng hợp công thức lượng giác trong toán lớp 10
Khi tổng hợp các công thức toán 10 học kì 2, phần lượng giác giữ vai trò đặc biệt quan trọng, bởi đây là nền tảng để tiếp cận các dạng toán nâng cao hơn ở lớp 11 và lớp 12. Nhằm giúp học sinh hệ thống nhanh mảng kiến thức này, dưới đây là những công thức cốt lõi cần ghi nhớ:
Đây là nền tảng của lượng giác:
- ( sin^2 x + cos^2 x = 1 )
- ( tan x = frac {sin x} {cos x} quad (cos x ne 0) )
- ( cot x = frac {cos x } {sin x} quad (sin x ne 0) )
- ( tan x cdot cot x = 1 quad (sin x ne 0,, cos x ne 0) )
- ( 1 + tan^2 x = frac {1} {cos^2 x} quad (cos x ne 0) )
- ( 1 + cot^2 x = frac {1} {sin^2 x} quad (sin x ne 0) )
Các giá trị lượng giác đặc biệt

Công thức cộng
Công thức cộng giúp tính giá trị lượng giác của tổng hoặc hiệu hai góc:
- ( sin(a pm b) = sin a cos b pm cos a sin b )
- ( cos(a pm b) = cos a cos b mp sin a sin b )
- ( tan(a pm b) = frac{tan a pm tan b}{1 mp tan a tan b} )
Công thức nhân đôi
Các công thức này suy ra từ công thức cộng khi a = b:
- ( sin 2a = 2 sin a cos a )
- ( cos 2a = cos^2 a – sin^2 a = 2cos^2 a – 1 = 1 – 2sin^2 a )
- ( tan 2a = frac{2tan a}{1 – tan^2 a} )
Công thức hạ bậc
- ( sin^2 x = frac{1 – cos 2x}{2} )
- ( cos^2 x = frac{1 + cos 2x}{2} )
- ( tan^2 x = frac{1 – cos 2x}{1 + cos 2x} )
Công thức nhân ba
- ( sin 3x = 3sin x – 4sin^3 x )
- ( cos 3x = 4cos^3 x – 3cos x )
- ( tan 3x = frac{3tan x – tan^3 x}{1 – 3tan^2 x} )
Công thức biến đổi tổng thành tích
Đây là công cụ hữu hiệu để đơn giản hóa biểu thức hoặc giải phương trình:
- ( sin u + sin v = 2sinfrac{u+v}{2}cosfrac{u-v}{2} )
- ( sin u – sin v = 2cosfrac{u+v}{2}sinfrac{u-v}{2} )
- ( cos u + cos v = 2cosfrac{u+v}{2}cosfrac{u-v}{2} )
- ( cos u – cos v = -2sinfrac{u+v}{2}sinfrac{u-v}{2} )
Công thức biến đổi tích thành tổng
Các công thức ngược lại của biến đổi tổng thành tích:
- ( cos a cos b = frac{1}{2}left[cos(a-b) + cos(a+b)right] )
- ( sin a sin b = frac{1}{2}left[cos(a-b) – cos(a+b)right] )
- ( sin a cos b = frac{1}{2}left[sin(a-b) + sin(a+b)right] )
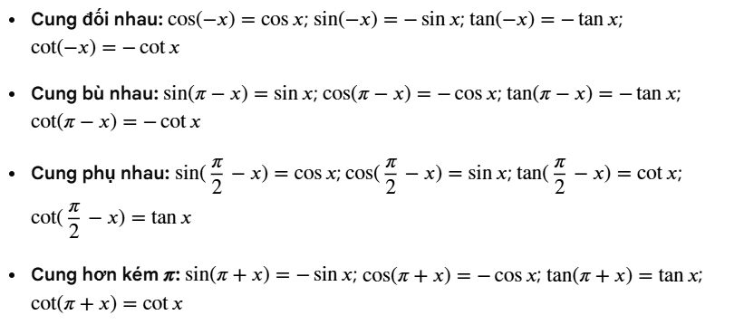
Công thức cung liên kết

Công thức lượng giác biểu diễn sinx, cosx và tanx theo biến phụ ( t = tanfrac{x}{2} )
Nếu đặt ( t = tanfrac{x}{2} ), ta có:
- ( sin x = frac{2t}{1+t^2} )
- ( cos x = frac{1-t^2}{1+t^2} )
- ( tan x = frac{2t}{1-t^2} )
>>> Tìm hiểu thêm: Hàm số lượng giác cơ bản & Phương trình lượng giác
Công thức toán lớp 10 – Phần Hình học
Sau khi tổng hợp kiến thức Toán 10 phần Đại số, tiếp theo Trường Việt Anh sẽ hệ thống các công thức Toán Hình học lớp 10, giúp học sinh nắm vững hệ thức lượng, phương pháp tọa độ và các phép tính liên quan để giải các bài toán về tam giác và khoảng cách trong mặt phẳng hiệu quả và nhanh chóng nhất.
Các công thức về hệ thức lượng trong tam giác lớp 10
Cho tam giác ABC với các cạnh đối diện là a, b, c và các góc tương ứng là A, B, C.
Định lí Cosin:
- ( a^2 = b^2 + c^2 – 2bc cdot cos A )
- ( b^2 = a^2 + c^2 – 2ac cdot cos B )
- ( c^2 = a^2 + b^2 – 2ab cdot cos C )
Định lí Sin:
( frac{a}{sin A} = frac{b}{sin B} = frac{c}{sin C} = 2R ) (với R là bán kính đường tròn ngoại tiếp tam giác)
Công thức độ dài đường trung tuyến (kẻ từ đỉnh A):
( m_a^2 = frac{2b^2 + 2c^2 – a^2}{4} )
Các công thức toán 10 về hệ thức lượng trong tam giác vuông
Cho tam giác ABC vuông tại A, cạnh huyền là a, các cạnh góc vuông là b, c đường cao h (kẻ từ A), hình chiếu của b, c lên cạnh huyền lần lượt là b’, c’.
Định lí Pitago: ( a^2 = b^2 + c^2 )
Hệ thức lượng trong tam giác vuông về cạnh và đường cao
- ( b^2 = a cdot b’ )
- ( c^2 = a cdot c’ )
- ( h^2 = b’ cdot c’ )
- ( b cdot c = a cdot h )
- ( frac{1}{h^2} = frac{1}{b’^2} + frac{1}{c’^2} )
Tỉ số lượng giác:
- ( sin B = cos C = frac{b}{a} )
- ( cos B = sin C = frac{c}{a} )
- ( tan B = cot C = frac{b}{c} )
- ( cot B = tan C = frac{c}{b} )
Các công thức tính diện tích trong toán hình lớp 10

Công thức toán 10 về phương pháp tọa độ trong mặt phẳng Oxy
Trong mặt phẳng tọa độ Oxy, các công thức toán lớp 10 sẽ tập trung chủ yếu vào công thức vectơ và phương trình đường thẳng.
Tọa độ điểm và Vectơ

Phương trình đường thẳng
Phương trình đường tròn
Bài viết đã tổng hợp đầy đủ các công thức Toán 10 quan trọng nhất ở cả Đại số và Hình học, giúp học sinh nắm chắc nền tảng và tự tin chinh phục các dạng bài khó. Tuy nhiên, việc thuộc công thức chỉ là bước đầu; do đó, cách học toán lớp 10 hiệu quả là học sinh cần được rèn tư duy phản biện và kỹ năng vận dụng linh hoạt.
Tại Trường Việt Anh – Trường cấp 3 dân lập uy tín tại TP. HCM, chúng tôi chú trọng xây dựng nền tảng kiến thức vững, đồng thời phát triển tư duy độc lập và kỹ năng giải quyết vấn đề cho học sinh. Để tìm hiểu thêm về phương pháp giảng dạy khác biệt, giúp con bạn vượt trội và phát triển toàn diện hoặc học phí cấp 3 trường dân lập TPHCM mới nhất, xin vui lòng liên hệ ngay Hotline: 0916 961 409 (Ms. Tú). Khám phá môi trường học tập chất lượng tại các cơ sở: Phú Nhuận, Gò Vấp, Bình Tân, và Rạch Giá (An Giang) ngay hôm nay!
Hệ thống cơ sở Việt Anh tại TP.HCM:
- Cơ sở Gò Vấp: 160/72 Phan Huy Ích, phường An Hội Tây, Tp.HCM
- Cơ sở Phú Nhuận: 269A Nguyễn Trọng Tuyển, phường Phú Nhuận, Tp.HCM
- Cơ sở Bình Tân: 951/7 Tỉnh lộ 10, phường Bình Tân, Tp.HCM