Hàn the (còn được gọi là natri borat) là một hợp chất hóa học có công thức Na2B4O7.10H2O. Hợp chất này có một số ứng dụng quan trọng trong nhiều ngành công nghiệp như mỹ phẩm, thực phẩm, gạch… Vậy nó thực chất là gì? Có tác dụng gì không? Nó có gây nguy hiểm gì không? Để tìm hiểu về vấn đề này chúng ta hãy cùng nhau tìm hiểu thông qua bài viết dưới đây.
1. Hàn the là gì?
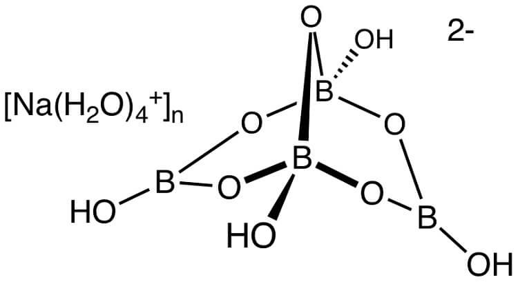
Công thức hóa học của hàn the là Na2[B4O5(OH)4].8H2O. Cũng có thể viết là Na2B4O7.10H2O. Tên IUPAC của hàn the là natri tetraborat decahydrat. Tuy nhiên, hợp chất này còn được gọi đơn giản là natri tetraborat hoặc dinatri tetraborat.
2. Tính chất của hàn the
- Ở điều kiện thường, hàn the dạng bột có màu trắng, bao gồm các tinh thể mềm không màu, dễ hòa tan trong nước.
- Khối lượng mol của hàn the khan là 201,22 gam mỗi mol. Dạng decahydrat của borax có khối lượng mol là 381,38 gam mỗi mol.
- Dạng khan của borax có khối lượng riêng là 2,4 gam/cm3. Mật độ của decahydrate bằng 1,73 gam/cm3.
- Điểm nóng chảy và sôi của dạng borax khan tương ứng là 743 độ C và 1575 độ C.

3. Tác dụng của hàn the là gì?
Hàn the được sử dụng trong nhiều ngành nghề khác nhau như sau:
3.1. Trong công nghiệp
– Sử dụng trong nhiếp ảnh như một chất kiềm.
– Sử dụng làm chất trợ dung trong một số quy trình luyện kim.
– Đóng vai trò là tác nhân liên kết ngang trong quá trình điều chế chất nhờn.
– Lĩnh vực hóa sinh được biết là sử dụng rộng rãi borax để sản xuất dung dịch đệm.
– Hàn the cũng được sử dụng trong các tấm chắn bắt neutron để bảo quản, vận chuyển và sử dụng an toàn các chất phóng xạ.
– Hàn the có khả năng hoạt động như một chất chống cháy.
3.2. Trong chế biến thực phẩm
Trong một số kỹ thuật nấu ăn, hợp chất này được biết đến như một chất tạo kết cấu, sát khuẩn nhẹ, kéo dài thời gian bảo quản cho thực phẩm. Vì vậy, nó thường được cho vào các nguyên liệu để sản xuất mì, phở, bụ, bánh cuốn, thạch… để tăng độ dai và giòn của sản phẩm.

3.3. Trong ngành mỹ phẩm
Một số sản phẩm mỹ phẩm, men tráng men và chất tẩy rửa được biết là có chứa hàn the.
3.4. Loại bỏ độ cứng của nước
Dung dịch nước của borax có thể được đưa vào nước cứng cho mục đích làm mềm nước. Các ion canxi (Ca2+) hoặc magie (Mg2+) có trong nước cứng được thay thế bằng các ion natri. Do đó, độ cứng của nước được loại bỏ. Các phương trình hóa học cho các phản ứng này được cung cấp dưới đây.
Na2B4O7 + Mg2+ → 2Na+ + MgB4O7
Na2B4O7 + Ca2+ → 2Na+ + CaB4O7
3.5. Trong nông nghiệp
– Là tiền thân của một số hợp chất quan trọng về mặt thương mại của boron, trong đó đáng chú ý nhất là axit boric (được sử dụng rộng rãi làm thuốc trừ sâu).
– Hàn the cũng được biết là hoạt động như một chất chống nấm và do đó có thể được sử dụng để diệt nấm hoặc ức chế sự phát triển của chúng.
– Hàn the cũng có thể được sử dụng để điều chỉnh đất thiếu boron. Nó làm như vậy bằng cách hoạt động như một loại phân bón vi chất dinh dưỡng.
3.6. Trong y học
Hàn the có thể điều trị một số bệnh dưới đây:
– Điều trị nấm ở chân bằng cách ngâm chân trong nước hàn the để chống nấm.
– Là một thành phần của một số chất bổ sung vitamin có bán trên thị trường.
– Điều trị bệnh tưa miệng – một bệnh nhiễm trùng do vi khuẩn rất phổ biến xảy ra trên móng ngựa.
4. Hàn the có thực sự nguy hiểm không?
Hàn theo có thể gây ngộ độc cấp tính chỉ với liều 5g trở lên, nhất là đối với trẻ nhỏ. Ngoài ra, dùng một số lượng ít nhưng kéo dài có thể gây ngộ độc mạn tính với nhiều ảnh hưởng xấu với cơ thể.
Sử dụng hàn the lượng lớn được báo cáo có một số tác dụng không tốt đến sức khỏe như:
– Kích ứng da và mắt: Nếu hít hoặc tiếp xúc phải với hàn the có thể gây phát ban, kích ứng, nôn mửa…
– Gây đau bụng, tiêu chảy: Ở những người có hệ tiêu hóa yếu có thể gây đau bụng, tiêu chảy, nôn mửa, tích tụ lâu ngày gây hại cho gan.
– Thay đổi nội tiết tố: Tiếp xúc nhiều với hàn the có thể phá vỡ nội tiết tốt của cơ thể, giảm khả năng sinh sản của nam giới, giảm ham muốn và giảm số lượng tinh trùng. Phụ nữ mang thai sử dụng hàn the có thể gây ảnh hưởng tới sự phát triển của thai nhi và khiến trẻ nhẹ cân.
– Tử vong: Trẻ ăn từ 5-10g hàn the có thể gây nôn mửa, tiêu chảy, tử vong.

5. Cách nhận biết thực phẩm có hàn the hay không?
Có một cách để nhận biết thực phẩm có hàn the hay không nh sau:
– Dùng tăm bông thấm nghệ: khi có hàn the, tăm bông chuyển từ màu vàng sang màu đỏ do có hàn the là dạng muối kiềm.
– Bằng mắt: nhìn các loại thực phẩm như giò, chả… không có hàn the sẽ có nhiều lỗ khí trên mặt và có màu trắng hồng.
– Bằng mũi: Thực phẩm không chứa hàn the thường có mùi thơm tự nhiên.
Trên đây là những thông tin về hàn the. Nếu có bất cứ thắc mắc nào mời bạn đọc thêm các bài khác trên website vietchem.com.vn hoặc liên hệ với chúng tôi qua số hotline 0826 010 010 để được giải đáp thắc mắc.
Hiện nay VIETCHEM đang phân phối sản phẩm Borax pentahydrate (Hàn the) Na2B4O7.5H2O 99%, xuất xứ từ Argentina, 25kg/bao. Quý khách hàng có nhu cầu mua hàng hãy nhanh tay liên hệ với chúng tôi để mua hàng với giá cả ưu đãi cùng nhiều khuyến mãi hấp dẫn.