Tài Liệu Học Tập
No Result
View All Result
  • Đề Thi
  • Lớp 12
    • Lịch Sử Lớp 12
    • Địa Lí Lớp 12
    • Ngữ Văn Lớp 12
    • GD KTPL Lớp 12
    • Toán Lớp 12
    • Tiếng Anh Lớp 12
    • Hóa Học Lớp 12
    • Sinh Học Lớp 12
    • Vật Lí Lớp 12
  • Lớp 11
    • Toán Lớp 11
    • Ngữ Văn Lớp 11
    • Tiếng Anh Lớp 11
    • Hóa Học Lớp 11
    • Sinh Học Lớp 11
    • Vật Lí Lớp 11
    • Lịch Sử Lớp 11
    • Địa Lí Lớp 11
    • GDCD Lớp 11
  • Lớp 10
    • Toán Lớp 10
    • Ngữ Văn Lớp 10
    • Tiếng Anh Lớp 10
    • Hóa Học Lớp 10
    • Sinh Học Lớp 10
    • Vật Lí Lớp 10
    • Lịch Sử Lớp 10
    • Địa Lí Lớp 10
    • GDKTPL Lớp 10
    • Công nghệ lớp 10
    • Tin Học Lớp 10
  • Lớp 9
    • Toán Lớp 9
    • Ngữ Văn Lớp 9
    • Tiếng Anh Lớp 9
    • Lịch sử và địa lý lớp 9
    • Khoa Học Tự Nhiên Lớp 9
    • GDCD Lớp 9
  • Lớp 8
    • Toán Lớp 8
    • Ngữ Văn Lớp 8
    • Tiếng Anh Lớp 8
    • Lịch sử và địa lý lớp 8
    • Khoa Học Tự Nhiên Lớp 8
    • GDCD 8
  • Lớp 7
    • Toán Lớp 7
    • Văn Lớp 7
    • Tiếng Anh Lớp 7
    • Lịch Sử Và Địa Lí Lớp 7
    • Khoa Học Tự Nhiên Lớp 7
  • Lớp 6
    • Toán Lớp 6
    • Văn Lớp 6
    • Tiếng Anh lớp 6
    • Lịch Sử và Địa Lí Lớp 6
    • Khoa Học Tự Nhiên lớp 6
  • Lớp 5
    • Toán lớp 5
    • Tiếng Việt Lớp 5
    • Tiếng Anh Lớp 5
    • Lịch Sử và Địa Lí Lớp 5
  • Lớp 4
    • Toán lớp 4
    • Tiếng Việt Lớp 4
    • Tiếng Anh Lớp 4
    • Lịch Sử và Địa Lí Lớp 4
  • Lớp 3
    • Toán lớp 3
    • Tiếng Anh Lớp 3
    • Tiếng Việt Lớp 3
  • Mẹo Hay
  • Tin tức
  • Liên Hệ
Tài Liệu Học Tập
No Result
View All Result
Home chính tả

Quy tắc tính đạo hàm và bài tập vận dụng

by Tranducdoan
03/03/2026
in chính tả
0
Đánh giá bài viết

Mục Lục Bài Viết

  1. 1. Quy tắc tính đạo hàm chung
  2. 2. Quy tắc tính đạo hàm của một số hàm số
    1. 2.1 Quy tắc tính đạo hàm hàm số cơ bản
    2. 2.2 Quy tắc tính đạo hàm hàm số hợp
  3. 3. Các dạng bài tập đạo hàm
    1. 3.1 Dạng bài tính đạo hàm bằng định nghĩa
    2. 3.2 Dạng bài áp dụng các quy tắc tính đạo hàm
    3. 3.3 Dạng bài chứng minh, giải phương trình, bất phương trình
    4. 3.4 Dạng bài đạo hàm của hàm số lượng giác
    5. 3.5 Dạng bài chứng minh đẳng thức, giải phương trình chứa đạo hàm

1. Quy tắc tính đạo hàm chung

– Cho hàm số u = u(x) và v = v(x) neq 0, x in J có đạo hàm trên J. Khi đó ta có:

large (u pm v )

large (u.v )

large (frac{u}{v})

Hệ quả:

2. Quy tắc tính đạo hàm của một số hàm số

2.1 Quy tắc tính đạo hàm hàm số cơ bản

(c)’ = 0

(x)’ = 1

(sinx)’ = cosx

(cosx)’ = – sinx

2.2 Quy tắc tính đạo hàm hàm số hợp

(sinu)’ = u’.cosu

(cosu)’ = – u’. sinu

Đăng ký ngay để nhận tài liệu nắm trọn kiến thức và phương pháp giải mọi dạng bài tập toán THPT với bộ sách cán đích 9+ độc quyền của VUIHOC nhé!

3. Các dạng bài tập đạo hàm

3.1 Dạng bài tính đạo hàm bằng định nghĩa

a. Phương pháp:

– Áp dụng phương pháp tính giới hạn của hàm số

– Ghi nhớ công thức sau:

b. Bài tập vận dụng

Bài 1: Cho hàm số Hãy tính f'(2)?

Ta có:

Bài 2: Cho hàn số . Hãy tính y'(-3)

Ta có:

3.2 Dạng bài áp dụng các quy tắc tính đạo hàm

a. Phương pháp: Áp dụng quy tắc tính đạo hàm để giải quyết bài tập toán

b. Bài tập vận dụng:

Bài 1: Tìm đạo hàm của hàm số y = 5×2(3x-1)

Ta có: y’ = [5×2(3x – 1)]’ = (5×2)’.(3x – 1)’ + 5×2.(3x – 1)’

= 10x(3x – 1) + 5×2.3 = 45×2 – 10x

Bài 2: Tìm đạo hàm của hàm số y = (x7 + x)2

Ta có: y’ = [(x7 + x)2]’ = 2(x7 + x).(7×6 + 1)

= 2(7×13 + 8×7 + x)

= 14×13 + 16×7 + 2x

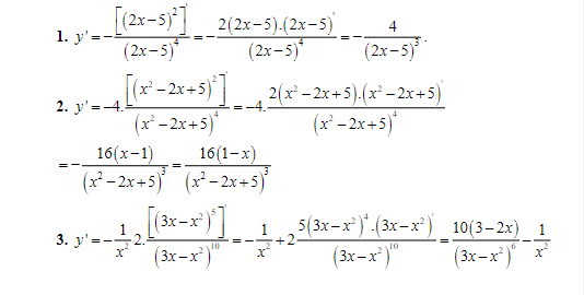
Bài 3: Tính đạo hàm của hàm số

Ta có:

Bài 4: Tính đạo hàm của các hàm số sau:

Ta có:

Đăng ký khóa học DUO 11 để được các thầy cô lên lộ trình ôn tập thi tốt nghiệp ngay từ sớm nhé!

3.3 Dạng bài chứng minh, giải phương trình, bất phương trình

a. Phương pháp:

– Tính y’

– Áp dụng các kiến thức đã học để biến đổi về phương trình hoặc bất phương trình bậc 1, 2 hoặc 3

– Đối với bài toán chứng minh bất đẳng thức thì biến đổi vế phức tạp về đơn giản hoặc cả 2 vế bằng biểu thức trung gian.

– Một số bài toán tìm nghiệm của phương trình bậc hai thỏa mãn điều kiện cho trước:

– Một số bài toán về bất phương trình bậc 2 thường gặp:

b. Bài tập vận dụng

Bài 1: Cho hàm số: . Giải bất phương trình y’ < 0

Ta có:

Điều kiện . Khi đó y'< 0 x2 – 2x – 3 < 0 -1 < x < 3

Đối chiếu với điều kiện , bất phương trình y’ < 0 có tập nghiệm là S = (-1,3){1}

Bài 2: Cho hàm số . Chứng minh rằng

3.4 Dạng bài đạo hàm của hàm số lượng giác

a. Phương pháp: Áp dụng quy tắc tính đạo hàm của hàm số lượng giác

b. Bài tập vận dụng:

Tính đạo hàm của các hàm số sau:

  • y = sin4x + cos4 x
  • y = 2sinx + cos2x
  • y = (2cosx + 1)(3sinx + 1)
  • y = cos22x – sin2x
  • y = sin23x + cosx

Lời giải:

  • Ta có y = (sin2x + cos2x)2 – 2sin2x.cos2x = 1 – 1/2sin22x = 3/4 +1/4cos4x => y’ = – 4sinx
  • y’ = 2cosx – 2sin2x
  • y’ = 6cos2x – 2sinx + 3cosx
  • y’ = (5-4x).sin(2×2 – 5x + 14)
  • y’ = 3sin6x – sinx

3.5 Dạng bài chứng minh đẳng thức, giải phương trình chứa đạo hàm

a. Phương pháp:

– Tính đạo hàm của hàm số đã cho

– Thay y và y’ vào biểu thức để biến đổi chứng minh hoặc giải phương trình liên quan

b. Bài tập vận dụng:

Bài 1: Cho hàm số y = tanx. Hãy chứng minh rằng y’ – y2 – 1 = 0

Điều kiện để hàm số xác định là

Ta có

Khi đó y’ – y2 – 1 = 1 + tan2x – tan2x – 1 = 0

Bài 2: Cho hàm số y = xsinx. Hãy chứng minh rằng xy + x(2cosx – y) = 2(y’ – sinx)

Ta có: y’ = sinx + xcosx

xy + x(2cosx – y) = 2(y’ – sinx) xy + 2xcosx – xy = 2(sinx + xcosx – sinx)

2xcosx = 2xcosx ( điều phải chứng minh)

Quy tắc tính đạo hàm chính là những phép tính được đưa ra để tính toán các bài toán. Nếu các em nắm chắc kiến thức này sẽ dễ dàng giải các dạng bài tập toán về đạo hàm nhanh và chính xác nhất. Hy vọng qua những chia sẻ trên của VUIHOC, các em có thể vận dụng vào bài tập và cả bài thi toán tốt nghiệp THPT trong thời gian tới. Chúc các em học tập ngày càng hiệu quả cùng với ứng dụng học tập vuihoc.vn nhé!

Tham khảo thêm:

⭐Bộ Sách Thần Tốc Luyện Đề Toán – Lý – Hóa THPT Có Giải Chi Tiết

>> Mời bạn tham khảo thêm:

  • Dãy số
  • Phương pháp quy nạp toán học: Lý thuyết và bài tập
  • Công thức lượng giác
  • Đạo hàm của hàm lượng giác
Previous Post

Tự hào và tin tưởng dưới lá cờ vẻ vang của Đảng, quyết tâm xây dựng một nước Việt Nam ngày càng giàu mạnh, văn minh, văn hiến và anh hùng

Next Post

Chướng bụng là gì? Nguyên nhân, triệu chứng và cách điều trị

Tranducdoan

Tranducdoan

Trần Đức Đoàn sinh năm 1999, anh chàng đẹp trai đến từ Thái Bình. Hiện đang theo học và làm việc tại trường cao đẳng FPT Polytechnic

Next Post

Chướng bụng là gì? Nguyên nhân, triệu chứng và cách điều trị

thời tiết miền bắc đọc sách online cm88 Socolive trực tiếp https://p789bet.biz/ cm88 com sumclub https://theaquaverse.io/17 socolive Bom88 tic88 f168 https://mb66.black/ https://ok9.watch/ xoilactv tructiepbongda Xoilac Xoilac365 cakhia tv Trực tiếp bóng đá 90phut
Tài Liệu Học Tập

Copyright © 2022 Tài Liệu Học Tập.

Chuyên Mục

  • Đề Thi
  • Lớp 12
  • Lớp 11
  • Lớp 10
  • Lớp 9
  • Lớp 8
  • Lớp 7
  • Lớp 6
  • Lớp 5
  • Lớp 4
  • Lớp 3
  • Mẹo Hay
  • Tin tức
  • Liên Hệ

Tham Gia Group Tài Liệu Học Tập

No Result
View All Result
  • Đề Thi
  • Lớp 12
    • Lịch Sử Lớp 12
    • Địa Lí Lớp 12
    • Ngữ Văn Lớp 12
    • GD KTPL Lớp 12
    • Toán Lớp 12
    • Tiếng Anh Lớp 12
    • Hóa Học Lớp 12
    • Sinh Học Lớp 12
    • Vật Lí Lớp 12
  • Lớp 11
    • Toán Lớp 11
    • Ngữ Văn Lớp 11
    • Tiếng Anh Lớp 11
    • Hóa Học Lớp 11
    • Sinh Học Lớp 11
    • Vật Lí Lớp 11
    • Lịch Sử Lớp 11
    • Địa Lí Lớp 11
    • GDCD Lớp 11
  • Lớp 10
    • Toán Lớp 10
    • Ngữ Văn Lớp 10
    • Tiếng Anh Lớp 10
    • Hóa Học Lớp 10
    • Sinh Học Lớp 10
    • Vật Lí Lớp 10
    • Lịch Sử Lớp 10
    • Địa Lí Lớp 10
    • GDKTPL Lớp 10
    • Công nghệ lớp 10
    • Tin Học Lớp 10
  • Lớp 9
    • Toán Lớp 9
    • Ngữ Văn Lớp 9
    • Tiếng Anh Lớp 9
    • Lịch sử và địa lý lớp 9
    • Khoa Học Tự Nhiên Lớp 9
    • GDCD Lớp 9
  • Lớp 8
    • Toán Lớp 8
    • Ngữ Văn Lớp 8
    • Tiếng Anh Lớp 8
    • Lịch sử và địa lý lớp 8
    • Khoa Học Tự Nhiên Lớp 8
    • GDCD 8
  • Lớp 7
    • Toán Lớp 7
    • Văn Lớp 7
    • Tiếng Anh Lớp 7
    • Lịch Sử Và Địa Lí Lớp 7
    • Khoa Học Tự Nhiên Lớp 7
  • Lớp 6
    • Toán Lớp 6
    • Văn Lớp 6
    • Tiếng Anh lớp 6
    • Lịch Sử và Địa Lí Lớp 6
    • Khoa Học Tự Nhiên lớp 6
  • Lớp 5
    • Toán lớp 5
    • Tiếng Việt Lớp 5
    • Tiếng Anh Lớp 5
    • Lịch Sử và Địa Lí Lớp 5
  • Lớp 4
    • Toán lớp 4
    • Tiếng Việt Lớp 4
    • Tiếng Anh Lớp 4
    • Lịch Sử và Địa Lí Lớp 4
  • Lớp 3
    • Toán lớp 3
    • Tiếng Anh Lớp 3
    • Tiếng Việt Lớp 3
  • Mẹo Hay
  • Tin tức
  • Liên Hệ

Copyright © 2022 Tài Liệu Học Tập.