Tham khảo ngay thôi đề thi khảo sát môn toán lớp 12 tỉnh Thanh Hóa lần 2 các bạn nhé. Hằng năm, đề thi thử của các tỉnh miền Trung được đánh giá rất cao vì bám sát đề minh họa và trúng tủ được nhiều câu trong đề thi thật. Vì vậy, các em đừng bỏ lỡ đề thi khảo sát chất lượng môn toán lớp 12 của tỉnh Thanh Hóa năm 2023 sau đây nhé.
Xem thêm: Bộ đề thi thử môn toán thpt quốc gia 2023.
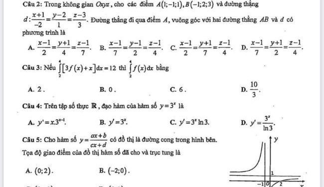
Đề thi khảo sát môn toán lớp 12 tỉnh Thanh Hóa lần 2
Đề thi bám sát theo đề minh họa bao gồm các phần như nguyên hàm, tích phân,logarit, hình học không gian, số phức, xác suất thống kê…. Nói chung đề minh họa ra cả chương trình lớp 11 và 12 thì đề thi thử lần 2 của tỉnh Thanh Hóa cũng vậy. Bạn tham khảo nhé.
Xem thêm: Tổng hợp công thức toán 12 ôn thi đại học






Tham gia group Tài Liệu Học Tập để lấy đề thi các bạn nhé !






















Discussion about this post