Tài Liệu Học Tập
No Result
View All Result
  • Đề Thi
  • Lớp 12
    • Lịch Sử Lớp 12
    • Địa Lí Lớp 12
    • Ngữ Văn Lớp 12
    • GD KTPL Lớp 12
    • Toán Lớp 12
    • Tiếng Anh Lớp 12
    • Hóa Học Lớp 12
    • Sinh Học Lớp 12
    • Vật Lí Lớp 12
  • Lớp 11
    • Toán Lớp 11
    • Ngữ Văn Lớp 11
    • Tiếng Anh Lớp 11
    • Hóa Học Lớp 11
    • Sinh Học Lớp 11
    • Vật Lí Lớp 11
    • Lịch Sử Lớp 11
    • Địa Lí Lớp 11
    • GDCD Lớp 11
  • Lớp 10
    • Toán Lớp 10
    • Ngữ Văn Lớp 10
    • Tiếng Anh Lớp 10
    • Hóa Học Lớp 10
    • Sinh Học Lớp 10
    • Vật Lí Lớp 10
    • Lịch Sử Lớp 10
    • Địa Lí Lớp 10
    • GDKTPL Lớp 10
    • Công nghệ lớp 10
    • Tin Học Lớp 10
  • Lớp 9
    • Toán Lớp 9
    • Ngữ Văn Lớp 9
    • Tiếng Anh Lớp 9
    • Lịch sử và địa lý lớp 9
    • Khoa Học Tự Nhiên Lớp 9
    • GDCD Lớp 9
  • Lớp 8
    • Toán Lớp 8
    • Ngữ Văn Lớp 8
    • Tiếng Anh Lớp 8
    • Lịch sử và địa lý lớp 8
    • Khoa Học Tự Nhiên Lớp 8
    • GDCD 8
  • Lớp 7
    • Toán Lớp 7
    • Văn Lớp 7
    • Tiếng Anh Lớp 7
    • Lịch Sử Và Địa Lí Lớp 7
    • Khoa Học Tự Nhiên Lớp 7
  • Lớp 6
    • Toán Lớp 6
    • Văn Lớp 6
    • Tiếng Anh lớp 6
    • Lịch Sử và Địa Lí Lớp 6
    • Khoa Học Tự Nhiên lớp 6
  • Lớp 5
    • Toán lớp 5
    • Tiếng Việt Lớp 5
    • Tiếng Anh Lớp 5
    • Lịch Sử và Địa Lí Lớp 5
  • Lớp 4
    • Toán lớp 4
    • Tiếng Việt Lớp 4
    • Tiếng Anh Lớp 4
    • Lịch Sử và Địa Lí Lớp 4
  • Lớp 3
    • Toán lớp 3
    • Tiếng Anh Lớp 3
    • Tiếng Việt Lớp 3
  • Mẹo Hay
  • Tin tức
  • Liên Hệ
Tài Liệu Học Tập
No Result
View All Result
Home Tin tức

Giải Toán 7 trang 30, 31 Cánh Diều tập 1

by Tranducdoan
14/03/2026
in Tin tức
0
Đánh giá bài viết

Bài 1 trang 30 SGK Toán 7 tập 1 – Cánh Diều

a) Sắp xếp các số sau theo thứ tự tăng dần: (0,5;1;dfrac{{ – 2}}{3}).

b) Trong ba điểm A, B, C trên trục số dưới đây có một điểm biểu diễn số hữu tỉ 0,5. Hãy xác định điểm đó.

Phương pháp:

a) So sánh các số rồi sắp xếp theo thứ tự tăng dần.

b) Số 0,5 nằm giữa số 0 và số 1.

Lời giải:

a) Ta thấy 0,5 < 1;

b) Vì 0 < 0,5 < 1 nên điểm biểu diễn số hữu tỉ 0,5 nằm giữa 0 và 1.

Mà trong hình vẽ trên chỉ có điểm B nằm giữa hai số 0 và 1.

Vậy trong ba điểm A, B, C đã cho trên trục số thì điểm B biểu diễn số hữu tỉ 0,5.

Bài 2 trang 30 SGK Toán 7 tập 1 – Cánh Diều

Tính:

a)(5frac{3}{4}.frac{{ – 8}}{9}); b)(3frac{3}{4}:2frac{1}{2}) c)(frac{{ – 9}}{5}:frac{1}{2}) d)({left( {1,7} right)^{2023}}:{left( {1,7} right)^{2021}}).

Phương pháp:

Quy các phép tính về thực hiện phép chia hai phân số, chia hai lũy thừa cùng cơ số.

Lời giải:

bai tap cuoi chuong 1 lop 7 canh dieu

Bài 3 trang 30 SGK Toán 7 tập 1 – Cánh Diều

Tính một cách hợp lí:

a)(frac{{ – 5}}{{12}} + left( { – 3,7} right) – frac{7}{{12}} – 6,3); b)(2,8.frac{{ – 6}}{{13}} – 7,2 – 2,8.frac{7}{{13}})

Phương pháp:

a) Nhóm các phân số với nhau, các số thập phân với nhau rồi thực hiện phép tính.

b) Áp dụng tính chất phân phối của phép nhân với phép trừ: a.b-a.c=a.(b-c)

Lời giải:

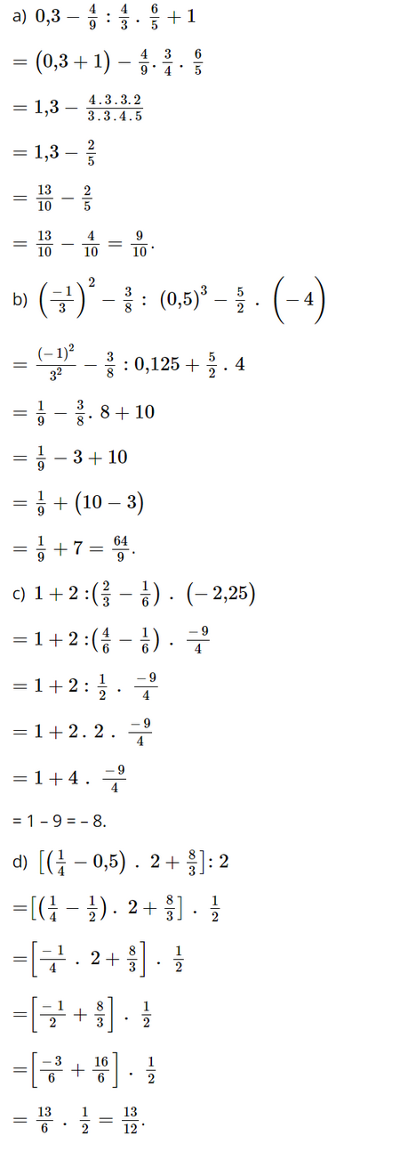
Bài 4 trang 30 SGK Toán 7 tập 1 – Cánh Diều

Tính:

a)(0,3 – frac{4}{9}:frac{4}{3} cdot frac{6}{5} + 1);

b)({left( {frac{{ – 1}}{3}} right)^2} – frac{3}{8}:{(0,5)^3} – frac{5}{2} cdot ( – 4));

c)(1 + 2:left( {frac{2}{3} – frac{1}{6}} right) cdot ( – 2,25))

d)(left[ {left( {frac{1}{4} – 0,5} right) cdot 2 + frac{8}{3}} right]:2).

Phương pháp:

Thực hiện phép tính theo thứ tự:

+ Ngoặc: ( ) => [ ]

+ Phép tính: Lũy thừa => Nhân, chia => Cộng, trừ.

Lời giải:

bai tap cuoi chuong 1 lop 7 canh dieu 1

Bài 5 trang 30 SGK Toán 7 tập 1 – Cánh Diều

Tìm x, biết:

a) (x + left( { – frac{2}{9}} right) = frac{{ – 7}}{{12}});

b) (( – 0,1) – x = frac{{ – 7}}{6})

c) (( – 0,12) cdot left( {x – frac{9}{{10}}} right) = – 1,2);

d) (left( {x – frac{3}{5}} right):frac{{ – 1}}{3} = 0,4.)

Phương pháp:

– Áp dụng quy tắc chuyển vế và đổi dấu ở ý a và ý b.

– Ýc: Muốn tìm thừa số ta lấy thương chia cho thừa số còn lại sau đó áp dụng quy tắc chuyển vế đổi dấu.

– Ýd: Muốn tìm số bị chia ta lấy thương nhân với số chia sau đó áp dụng quy tắc chuyển vế đổi dấu.

Lời giải:

c) (− 0,12) . x−910=−  1,2″>(−0,12).(x−910)=−1,2(− 0,12) . x−910=−  1,2

(− 0,12) . (x – 0,9) = − 1,2

x – 0,9 = (− 1,2) : (− 0,12)

x – 0,9 = 10

x = 10 + 0,9

x = 10,9.

Vậy x = 10,9.

Bài 6 trang 30 SGK Toán 7 tập 1 – Cánh Diều

Sắp xếp các số sau theo thứ tự tăng dần:

a) ({(0,2)^0};{(0,2)^3};{(0,2)^1};{(0,2)^2};)

b) ({( – 1,1)^2};{( – 1,1)^0};{( – 1,1)^1};{( – 1,1)^3}).

Phương pháp:

Tính các lũy thừa và so sánh

Lời giải:

a) Ta có: (0,2)0 = 1; (0,2)3 = 0,008;

(0,2)1 = 0,2; (0,2)2 = 0,04;

Vì 0,008 < 0,04 < 0,2 < 1 nên (0,2)3 < (0,2)2 < (0,2)1 < (0,2)0.

Vậy các số sắp xếp theo thứ tự tăng dần là: (0,2)3 ; (0,2)2 ; (0,2)1 ; (0,2)0.

b) Ta có (− 1,1)2 = 1,21; (− 1,1)0 = 1;

(− 1,1)1 = − 1,1; (− 1,1)3 = − 1,331.

Vì −1,331 < − 1,1 < 1 < 1,21 nên (− 1,1)3 < (− 1,1)1 < (− 1,1)0 < (− 1,1)2.

Vậy các số sắp xếp theo thứ tự tăng dần là: (− 1,1)3; (− 1,1)1 ; (− 1,1)0 ; (− 1,1)2.

Bài 7 trang 30 SGK Toán 7 tập 1 – Cánh Diều

Trọng lượng của một vật thể trên Mặt Trăng bằng khoảng (frac{1}{6}) trọng lượng của nó trên Trái Đất. Biết trọng lượng của một vật trên Trái Đất được tính theo công thức: (P = 10;{rm{m}}) với (P) là trọng lượng của vật tính theo đơn vị Niu-tơn (kí hiệu ({rm{N}})); (m) là khối lượng của vật tính theo đơn vị ki-lô-gam.

(Nguồn: Khoa học tự nhiên 6, NXB Đại học Sư phạm, 2021)

Nếu trên Trái Đất một nhà du hành vũ trụ có khối lượng là (75,5;{rm{kg}}) thì trọng lượng của người đó trên Mặt Trăng sẽ là bao nhiêu Niu-tơn (làm tròn kết quả đến hàng phần trăm)?

Phương pháp:

– Trọng lượng người đó trên Trái Đất = Khối lượng người đó trên Trái Đất . (10)

– Trọng lượng người đó trên Mặt Trăng = Trọng lượng người đó trên Trái Đất. (dfrac{1}{6})

Lời giải:

Trọng lượng của nhà du hành vũ trụ trên Trái Đất là:

75,5 . 10 = 755 (N)

Trọng lượng của nhà du hành vũ trụ trên Mặt Trăng là:

Vậy trọng lượng của nhà du hành vũ trụ trên Mặt Trăng là 125,83 N.

Bài 8 trang 31 SGK Toán 7 tập 1 – Cánh Diều

Một người đi quãng đường từ địa điểm (A) đến địa điểm (B) với vận tốc (36;{rm{km}}/{rm{h}}) mất 3,5 giờ. Từ địa điểm (B) quay trở về địa điểm (A), người đó đi với vận tốc (30;{rm{km}}/{rm{h}}). Tính thời gian đi từ địa điểm (B) quay trở về địa điểm (A) của người đó.

Phương pháp:

Áp dụng công thức: quãng đường = vận tốc . thời gian

Tính quãng đường AB

⇨ Thời gian người đi quãng đường từ địa điểm B đến địa điểm A

Lời giải:

Một người đi quãng đường từ địa điểm A đến địa điểm B với vận tốc 36 km/h mất 3,5 giờ. Khi đó, quãng đường AB dài là:

36 . 3,5 = 126 (km)

Thời gian người đó đi từ địa điểm B quay trở về địa điểm A là:

126 : 30 = 4,2 (giờ)

Vậy thời gian người đó đi từ địa điểm B quay trở về địa điểm A là 4,2 giờ.

Bài 9 trang 31 SGK Toán 7 tập 1 – Cánh Diều

Một trường trung học cơ sở có các lớp 7A, 7B, 7C, 7D, 7E; mỗi lớp đều có 40 học sinh. Sau khi sơ kết Học kì I, số học sinh ở mức Tốt của mỗi lớp đó được thể hiện qua biểu đồ cột ở Hình 5 .

a) Lớp nào có số học sinh ở mức Tốt ít hơn một phần tư số học sinh của cả lớp?

b) Lớp nào có số học sinh ở mức Tốt nhiều hơn một phần ba số học sinh của cả lớp?

c) Lớp nào có tỉ lệ học sinh ở mức Tốt cao nhất, thấp nhất?

Phương pháp:

– Tính một phần ba và một phần tư số học sinh của cả lớp

– Quan sát biểu đồ và trả lời câu hỏi.

Lời giải:

Dựa vào biểu đồ cột Hình 9, số học sinh đạt kết quả học tập ở mức Tốt của lớp 7A, 7B, 7C, 7D, 7E lần lượt là 14 học sinh, 10 học sinh, 9 học sinh, 15 học sinh, 8 học sinh.

a) Mỗi lớp đều có 40 học sinh nên một phần tư số học sinh cả lớp là:

40 . (frac{1}{4}) = 10 (học sinh)

Ta thấy lớp 7C và 7E có số học sinh đạt kết quả học tập ở mức Tốt lần lượt là 9 học sinh và 8 học sinh ít hơn 10 học sinh.

Vậy lớp 7C và 7E có số học sinh đạt kết quả học tập ở mức Tốt ít hơn một phần tư số học sinh của cả lớp.

b) Mỗi lớp đều có 40 học sinh nên một phần ba số học sinh cả lớp là khoảng:

40 . (frac{1}{3}) = 13,333 ≈ 13 (học sinh)

Ta thấy lớp 7A và 7D có số học sinh đạt kết quả học tập ở mức Tốt lần lượt là 14 học sinh và 15 học sinh nhiều hơn 13 học sinh.

Vậy lớp 7A và 7D có số học sinh đạt kết quả học tập ở mức Tốt nhiều hơn một phần ba số học sinh của cả lớp.

c) Tỉ lệ học sinh đạt kết quả học tập ở mức Tốt của các lớp:

Do đó tỉ lệ học sinh đạt kết quả học tập ở mức Tốt của lớp 7D là cao nhất và của lớp 7E là thấp nhất.

Vậy lớp 7D có tỉ lệ học sinh đạt kết quả học tập ở mức Tốt cao nhất và lớp 7E có tỉ lệ học sinh đạt kết quả học tập ở mức Tốt thấp nhất.

Bài 10 trang 31 SGK Toán 7 tập 1 – Cánh Diều

Sản lượng chè và hạt tiêu xuất khẩu của Việt Nam qua một số năm được biểu diễn trong biểu đồ cột kép ở Hình 6 .

a) Những năm nào sản lượng chè xuất khẩu trên 1 triệu tấn? Sản lượng hạt tiêu xuất khẩu trên 0,2 triệu tấn?

b) Năm nào Việt Nam có sản lượng chè xuất khẩu lớn nhất? Sản lượng hạt tiêu xuất khẩu lớn nhất?

c) Tính tỉ số phần trăm của sản lượng chè xuất khẩu năm 2013 và sản lượng chè xuất khẩu năm 2018.

bai tap cuoi chuong 1 lop 7 canh dieu 2

Phương pháp:

– Quan sát biểu đồ và trả lời câu hỏi.

– Tỉ số phần trăm của sản lượng chè xuất khẩu năm 2013 và sản lượng chè xuất khẩu năm 2018 = sản lượng chè xuất khẩu năm 2013 : sản lượng chè xuất khẩu năm 2018.100%

Lời giải:

Dựa vào Hình 10, sản lượng chè xuất khẩu của Việt Nam ở các năm 2013, năm 2014, năm 2015, năm 2016, năm 2017, năm 2018 lần lượt là 936,3 nghìn tấn; 981,9 nghìn tấn; 1012,9 nghìn tấn; 1 033,6 nghìn tấn; 972,0 nghìn tấn; 994,2 nghìn tấn.

Sản lượng hạt tiêu xuất khẩu của Việt Nam ở các năm 2013, năm 2014, năm 2015, năm 2016, năm 2017, năm 2018 lần lượt là 125,0 nghìn tấn; 151,6 nghìn tấn; 176,8 nghìn tấn; 216,4 nghìn tấn; 252,6 nghìn tấn; 262,7 nghìn tấn.

a) Đổi: 1 triệu tấn = 1 000 nghìn tấn; 0,2 triệu tấn = 200 nghìn tấn.

Ta thấy: 1012,9 > 1 000; 1 033,6 > 1 000.

Do đó, năm 2015 và năm 2016 sản lượng chè xuất khẩu trên 1 triệu tấn.

Ta thấy: 216,4 > 200; 252,6 > 200; 262,7 > 200.

Do đó, năm 2016, năm 2017 và năm 2018 sản lượng hạt tiêu xuất khẩu trên 0,2 triệu tấn.

Vậy năm 2015, năm 2016 Việt Nam có sản lượng chè xuất khẩu trên 1 triệu tấn.

Năm 2016, năm 2017 và năm 2018 Việt Nam có sản lượng hạt tiêu xuất khẩu trên 0,2 triệu tấn.

b) * So sánh sản lượng chè giữa các năm, ta được:

936,3 < 972,0 < 981,9 < 994,2 < 1012,9 < 1 033,6.

Do đó, sản lượng chè xuất khẩu lớn nhất là 1 033,6 nghìn tấn tương ứng với năm 2016.

* So sánh sản lượng hạt tiêu xuất khẩu giữa các năm, ta được:

125,0 < 151,6 < 176,8 < 216,4 < 252,6 < 262,7.

Do đó, sản lượng hạt tiêu xuất khẩu lớn nhất là 262,7 nghìn tấn tương ứng với năm 2018.

Vậy năm 2016 Việt Nam có sản lượng chè xuất khẩu lớn nhất và năm 2018 có sản lượng hạt tiêu xuất khẩu lớn nhất.

c) Tỉ số phần trăm của sản lượng chè xuất khẩu năm 2013 và sản lượng chè xuất khẩu năm 2018 là:

Vậy tỉ số phần trăm của sản lượng chè xuất khẩu năm 2013 và sản lượng chè xuất khẩu năm 2018 là khoảng 94%.

Sachbaitap.com

Previous Post

Đại học RMIT có những ngành nào? Đặc trưng từng ngành

Next Post

Lý tưởng

Tranducdoan

Tranducdoan

Trần Đức Đoàn sinh năm 1999, anh chàng đẹp trai đến từ Thái Bình. Hiện đang theo học và làm việc tại trường cao đẳng FPT Polytechnic

Next Post

Lý tưởng

thời tiết miền bắc đọc sách online cm88 Socolive trực tiếp https://p789bet.biz/ cm88 com sumclub https://theaquaverse.io/17 socolive Bom88 tic88 f168 https://mb66.black/ https://ok9.watch/ xoilactv tructiepbongda Xoilac Xoilac365 cakhia tv Trực tiếp bóng đá 90phut
Tài Liệu Học Tập

Copyright © 2022 Tài Liệu Học Tập.

Chuyên Mục

  • Đề Thi
  • Lớp 12
  • Lớp 11
  • Lớp 10
  • Lớp 9
  • Lớp 8
  • Lớp 7
  • Lớp 6
  • Lớp 5
  • Lớp 4
  • Lớp 3
  • Mẹo Hay
  • Tin tức
  • Liên Hệ

Tham Gia Group Tài Liệu Học Tập

No Result
View All Result
  • Đề Thi
  • Lớp 12
    • Lịch Sử Lớp 12
    • Địa Lí Lớp 12
    • Ngữ Văn Lớp 12
    • GD KTPL Lớp 12
    • Toán Lớp 12
    • Tiếng Anh Lớp 12
    • Hóa Học Lớp 12
    • Sinh Học Lớp 12
    • Vật Lí Lớp 12
  • Lớp 11
    • Toán Lớp 11
    • Ngữ Văn Lớp 11
    • Tiếng Anh Lớp 11
    • Hóa Học Lớp 11
    • Sinh Học Lớp 11
    • Vật Lí Lớp 11
    • Lịch Sử Lớp 11
    • Địa Lí Lớp 11
    • GDCD Lớp 11
  • Lớp 10
    • Toán Lớp 10
    • Ngữ Văn Lớp 10
    • Tiếng Anh Lớp 10
    • Hóa Học Lớp 10
    • Sinh Học Lớp 10
    • Vật Lí Lớp 10
    • Lịch Sử Lớp 10
    • Địa Lí Lớp 10
    • GDKTPL Lớp 10
    • Công nghệ lớp 10
    • Tin Học Lớp 10
  • Lớp 9
    • Toán Lớp 9
    • Ngữ Văn Lớp 9
    • Tiếng Anh Lớp 9
    • Lịch sử và địa lý lớp 9
    • Khoa Học Tự Nhiên Lớp 9
    • GDCD Lớp 9
  • Lớp 8
    • Toán Lớp 8
    • Ngữ Văn Lớp 8
    • Tiếng Anh Lớp 8
    • Lịch sử và địa lý lớp 8
    • Khoa Học Tự Nhiên Lớp 8
    • GDCD 8
  • Lớp 7
    • Toán Lớp 7
    • Văn Lớp 7
    • Tiếng Anh Lớp 7
    • Lịch Sử Và Địa Lí Lớp 7
    • Khoa Học Tự Nhiên Lớp 7
  • Lớp 6
    • Toán Lớp 6
    • Văn Lớp 6
    • Tiếng Anh lớp 6
    • Lịch Sử và Địa Lí Lớp 6
    • Khoa Học Tự Nhiên lớp 6
  • Lớp 5
    • Toán lớp 5
    • Tiếng Việt Lớp 5
    • Tiếng Anh Lớp 5
    • Lịch Sử và Địa Lí Lớp 5
  • Lớp 4
    • Toán lớp 4
    • Tiếng Việt Lớp 4
    • Tiếng Anh Lớp 4
    • Lịch Sử và Địa Lí Lớp 4
  • Lớp 3
    • Toán lớp 3
    • Tiếng Anh Lớp 3
    • Tiếng Việt Lớp 3
  • Mẹo Hay
  • Tin tức
  • Liên Hệ

Copyright © 2022 Tài Liệu Học Tập.