Bài viết này Vted giới thiệu đến bạn đọc lý thuyết và hạng của ma trận kèm các ví dụ và phân loại các dạng toán từ cơ bản đến nâng cao về hạng của ma trận:

>>Xem thêm Tìm hạng của ma trận cho trước bằng phép biến đổi Gauss và sử dụng định thức bao quanh (định thức con chính cấp k của ma trận)
>>Xem thêm Các phương pháp tính định thức của ma trận
>> Độc lập tuyến tính và phụ thuộc tuyến tính
>>Định thức của ma trận và các tính chất của định thức
>> Chứng minh một ma trận suy biến và ma trận khả nghịch
>>Cơ sở của không gian véctơ
>> Đạo hàm cấp 1 và đạo hàm cấp 2 của hàm số cho bởi tham số
>> Khai triển Taylor và ứng dụng
>>Xem thêm Các dạng toán về ma trận nghịch đảo và phương pháp giải
Định nghĩa hạng của ma trận
Xét ma trận $A={{({{a}_{ij}})}_{mtimes n}}.$ Đặt $A_i^d = ({a_{i1}},{a_{i2}},…,{a_{in}});A_j^c = left( {begin{array}{*{20}{c}} {{a_{1j}}} {{a_{2j}}} {…} {{a_{nj}}} end{array}} right).$ Hạng của ma trận $A$ là hạng của hệ véctơ dòng $left{ A_{1}^{d},A_{2}^{d},..,A_{m}^{d} right}$ và cũng chính là hạng của hệ véctơ cột $left{ A_{1}^{c},A_{2}^{c},…,A_{n}^{c} right}.$ Được kí hiệu là $r(A).$
Định thức con của ma trận và mối quan hệ với hạng của ma trận
Xét ma trận $A={{({{a}_{ij}})}_{mtimes n}}.$ Chọn ra $s$ dòng kí hiệu là ${{i}_{1}},{{i}_{2}},…,{{i}_{s}}$ với ${{i}_{1}}<{{i}_{2}}<…<{{i}_{s}}$ và chọn ra $s$ cột kí hiệu là ${{j}_{1}},{{j}_{2}},…,{{j}_{s}}$ với ${{j}_{1}}<{{j}_{2}}<…<{{j}_{s}}$ và xoá đi tất cả các dòng, các cột còn lại (nếu có) ta được một ma trận vuông cấp $s.$ Định thức của ma trận này được gọi là định thức con cấp $s$ của ma trận $A,$ được kí hiệu là $D_{{{i}_{1}}{{i}_{2}}…{{i}_{s}}}^{{{j}_{1}}{{j}_{2}}…{{j}_{s}}}.$
Một ma trận cấp $mtimes n$ có tất cả $C_{m}^{s}C_{n}^{s}$ định thức con cấp $s.$
Nếu định thức con cấp $s$ khác 0 và mọi định thức con cấp cao hơn $s$ đều bằng 0 thì hạng của ma trận bằng $s.$
Tìm hạng của ma trận bằng phép biến đổi sơ cấp
Biến đổi ma trận về dạng hình thang [left( {begin{array}{*{20}{c}} {{b_{11}}}&{{b_{12}}}&{…}&{{b_{1r}}}&{…}&{{b_{1n}}} 0&{{b_{22}}}&{…}&{{b_{2r}}}&{…}&{{b_{2n}}} {…}&{…}&{…}&{…}&{…}&{…} 0&0&{…}&{{b_{rr}}}&{…}&{{b_{rn}}} 0&0&{…}&0&{…}&0 {…}&{…}&{…}&{…}&{…}&{…} 0&0&{…}&0&{…}&0 end{array}} right).]
Trong đó ${{b}_{ii}}ne 0,i=1,…,r$ khi đó $r(A)=r.$
Tìm hạng của ma trận bằng phương pháp định thức bao quanh
Chỉ ra một định thức con cấp s của ma trận khác 0, tính tất cả các định thức con cấp s + 1 bao quanh định thức con cấp s, nếu tất cả các định thức con cấp s + 1 này bằng 0 thì hạng của ma trận bằng s, ngược lại nếu có một định thức con cấp s + 1 khác 0, tính tất cả các định thức con cấp s + 2 bao quanh định thức con cấp s + 1…
>>Xem thêm Hạng của một hệ véctơ
Các tính chất về hạng của ma trận
a) $r(A)=r({A}’);$
b) Nếu $A$ là một ma trận vuông cấp $n$ khi đó $r(A)=nLeftrightarrow det (A)ne 0,$ dựa vào tính chất này chúng ta có thể dùng định thức để tìm hay biện luận hạng của một ma trận vuông;
c) Nếu $A$ là một ma trận vuông cấp $n$ khi đó hệ véctơ dòng (hệ véctơ cột) của ma trận $A$ độc lập tuyến tính khi và chỉ khi $r(A)=n.$
>>Xem thêm Tổng hợp đề thi và giải chi tiết Đề Giữa kì Đại số tuyến tính Đại học bách khoa Hà Nội học kì 20191
>>Xem thêm Tổng hợp đề thi và giải chi tiết Đề Giữa kì Giải tích 1 Đại học bách khoa Hà Nội học kì 20191
1. Tìm hạng của ma trận cho trước
Để tìm hạng của ma trận cho trước ta có thể sử dụng phép biến đổi Gauss hoặc sử dụng định thức bao quanh (định thức con chính cấp k của ma trận). Cùng xem các ví dụ sau:
Câu 1: Tìm hạng của ma trận $A = left( {begin{array}{*{20}{c}} 1&0&{ – 1}&2&{ – 1} 2&{ – 1}&3&1&3 3&2&0&{ – 1}&2 2&3&{ – 4}&0&{ – 2} end{array}} right).$
Giải. Ta có:
$begin{gathered} A = left( {begin{array}{*{20}{c}} 1&0&{ – 1}&2&{ – 1} 2&{ – 1}&3&1&3 3&2&0&{ – 1}&2 2&3&{ – 4}&0&{ – 2} end{array}} right)xrightarrow{begin{subarray}{l} – 2{d_1} + {d_2} – 3{d_1} + {d_3} – 2{d_1} + {d_4} end{subarray} }left( {begin{array}{*{20}{c}} 1&0&{ – 1}&2&{ – 1} 0&{ – 1}&5&{ – 3}&5 0&2&3&{ – 7}&5 0&3&{ – 2}&{ – 4}&0 end{array}} right) hfill xrightarrow{begin{subarray}{l} 2{d_2} + {d_3} 3{d_2} + {d_4} end{subarray} }left( {begin{array}{*{20}{c}} 1&0&{ – 1}&2&{ – 1} 0&{ – 1}&5&{ – 3}&5 0&0&{13}&{ – 13}&{15} 0&0&{13}&{ – 13}&{15} end{array}} right)xrightarrow{begin{subarray}{l} 2{d_2} + {d_3} 3{d_2} + {d_4} end{subarray} }left( {begin{array}{*{20}{c}} 1&0&{ – 1}&2&{ – 1} 0&{ – 1}&5&{ – 3}&5 0&0&{13}&{ – 13}&{15} end{array}} right). hfill end{gathered} $
Vậy $r(A)=3.$
Câu 2: Cho $x,y,z$ là ba nghiệm của phương trình ${{t}^{3}}-2019t+4=0,$ tìm hạng của ma trận $A = left( {begin{array}{*{20}{c}} x&y&z y&z&x z&x&y end{array}} right).$
Giải. Theo vi – ét có $x+y+z=0,xy+yz+zx=0,xyz=-4$ và [det (A) = left| {begin{array}{*{20}{c}} x&y&z y&z&x z&x&y end{array}} right| = left| {begin{array}{*{20}{c}} {x + y + z}&{x + y + z}&{x + y + z} y&z&x z&x&y end{array}} right|({d_1} + {d_2} + {d_3}) = left| {begin{array}{*{20}{c}} 0&0&0 y&z&x z&x&y end{array}} right| = 0.]
Do đó $r(A)le 2.$ Mặt khác $D_{12}^{12}=xz-{{y}^{2}}Rightarrow yD_{12}^{12}=xyz-{{y}^{3}}=-4-{{y}^{3}}=-2019yRightarrow D_{12}^{12}=-2019ne 0.$
Vậy $r(A)ge 2Rightarrow r(A)=2.$
Câu 3: Tìm hạng của ma trận $A = left( {begin{array}{*{20}{c}} 2&{ – 1}&3 0&3&{ – 1} { – 2}&4&2 2&5&7 end{array}} right).$
Giải. Ta có:
[A = left( {begin{array}{*{20}{c}} 2&{ – 1}&3 0&3&{ – 1} { – 2}&4&2 2&5&7 end{array}} right)xrightarrow{begin{subarray}{l} {d_1} + {d_3} – {d_1} + {d_4} end{subarray} }left( {begin{array}{*{20}{c}} 2&{ – 1}&3 0&3&{ – 1} 0&3&5 0&6&4 end{array}} right)xrightarrow{begin{subarray}{l} – {d_2} + {d_3} – 2{d_2} + {d_4} end{subarray} }left( {begin{array}{*{20}{c}} 2&{ – 1}&3 0&3&{ – 1} 0&0&6 0&0&6 end{array}} right)xrightarrow{{}}left( {begin{array}{*{20}{c}} 2&{ – 1}&3 0&3&{ – 1} 0&0&6 end{array}} right).]
Vậy $r(A)=3.$
Câu 4: Tìm hạng của ma trận $A = left( {begin{array}{*{20}{c}} 1&2&3&4 { – 1}&3&0&1 2&4&1&8 1&7&6&9 0&{10}&1&{10} end{array}} right)$ bằng phương pháp định thức bao quanh.
Giải. Có $D_{12}^{12} = left| {begin{array}{*{20}{c}} 1&2 { – 1}&3 end{array}} right| = 5 ne 0;D_{123}^{123} = left| {begin{array}{*{20}{c}} 1&2&3 { – 1}&3&0 2&4&1 end{array}} right| = – 25 ne 0;$
Kiểm tra các định thức cấp 4 bao quanh định thức $D_{123}^{123}$ có
$D_{1234}^{1234} = left| {begin{array}{*{20}{c}} 1&2&3&4 { – 1}&3&0&1 2&4&1&8 1&7&6&9 end{array}} right| = 0;D_{1235}^{1234} = left| {begin{array}{*{20}{c}} 1&2&3&4 { – 1}&3&0&1 2&4&1&8 0&{10}&1&{10} end{array}} right| = 0.$ Vậy $r(A)=3.$
Câu 5: Tìm hạng của ma trận [A = left( {begin{array}{*{20}{c}} 1&1&2&3&{ – 1} 0&2&1&2&2 0&0&3&3&{ – 3} 0&0&0&4&0 1&3&6&{12}&{ – 2} 1&3&3&5&1 end{array}} right)] bằng phương pháp định thức bao quanh.
Giải. Có [D_{12}^{12} = left| {begin{array}{*{20}{c}} 1&1 0&2 end{array}} right| = 2 ne 0;D_{123}^{123} = left| {begin{array}{*{20}{c}} 1&1&2 0&2&1 0&0&3 end{array}} right| = 6 ne 0;D_{1234}^{1234} = left| {begin{array}{*{20}{c}} 1&1&2&3 0&2&1&2 0&0&3&3 0&0&0&4 end{array}} right| = 24 ne 0.]
Ta xét các định thức cấp 5 bao quanh định thức cấp 4 trên
[D_{12345}^{12345} = left| {begin{array}{*{20}{c}} 1&1&2&3&{ – 1} 0&2&1&2&2 0&0&3&3&{ – 3} 0&0&0&4&0 1&3&6&{12}&{ – 2} end{array}} right| = 0;D_{12346}^{12345} = left| {begin{array}{*{20}{c}} 1&1&2&3&{ – 1} 0&2&1&2&2 0&0&3&3&{ – 3} 0&0&0&4&0 1&3&3&5&1 end{array}} right| = 0.] Vậy $r(A)=4.$
Câu 6:Tìm hạng của ma trận $A = left( {begin{array}{*{20}{c}} 2&3&4&{…}&{n + 1} 3&4&5&{…}&{n + 2} 4&5&6&{…}&{n + 3} {…}&{…}&{…}&{…}&{…} {n + 1}&{n + 2}&{n + 3}&{…}&{2n} end{array}} right).$
Giải. Ta có
[begin{gathered} A = left( {begin{array}{*{20}{c}} 2&3&4&{…}&{n + 1} 3&4&5&{…}&{n + 2} 4&5&6&{…}&{n + 3} {…}&{…}&{…}&{…}&{…} {n + 1}&{n + 2}&{n + 3}&{…}&{2n} end{array}} right)xrightarrow{{ – {d_i} + {d_{i + 1}}(i = 1,2,…,n – 1)}}left( {begin{array}{*{20}{c}} 2&3&4&{…}&{n + 1} 1&1&1&{…}&1 1&1&1&{…}&1 {…}&{…}&{…}&{…}&{…} 1&1&1&{…}&1 end{array}} right) hfill xrightarrow{{ – {d_i} + {d_{i + 1}}(i = 2,…,n – 1)}}left( {begin{array}{*{20}{c}} 2&3&4&{…}&{n + 1} 1&1&1&{…}&1 0&0&0&{…}&0 {…}&{…}&{…}&{…}&{…} 0&0&0&{…}&0 end{array}} right) Rightarrow r(A) = 2. hfill end{gathered} ]
Câu 7: Tìm hạng của ma trận $A = left( {begin{array}{*{20}{c}} 1&2&{ – 1}&3&0 2&{ – 1}&1&{ – 1}&4 3&1&3&1&5 { – 1}&3&{ – 2}&1&{ – 10} end{array}} right).$
Giải. Có $D_{1234}^{1234} = left| {begin{array}{*{20}{c}} 1&2&{ – 1}&3 2&{ – 1}&1&{ – 1} 3&1&3&1 { – 1}&3&{ – 2}&1 end{array}} right| = 45 ne 0 Rightarrow r(A) = 4.$
Câu 8: Tìm hạng của ma trận sau $A = left( {begin{array}{*{20}{c}} 1&2&{…}&{n – 1}&n {n + 1}&{n + 2}&{…}&{n + n – 1}&{2n} {…}&{…}&{…}&{…}&{…} {{n^2} – 2n + 1}&{{n^2} – 2n + 2}&{…}&{{n^2} – 2n + n – 1}&{{n^2} – n} {{n^2} – n + 1}&{{n^2} – n + 2}&{…}&{{n^2} – n + n – 1}&{{n^2}} end{array}} right).$
Giải. Có biến đổi ma trận:
[begin{gathered} A = left( {begin{array}{*{20}{c}} 1&2&{…}&{n – 1}&n {n + 1}&{n + 2}&{…}&{n + n – 1}&{2n} {…}&{…}&{…}&{…}&{…} {{n^2} – 2n + 1}&{{n^2} – 2n + 2}&{…}&{{n^2} – 2n + n – 1}&{{n^2} – n} {{n^2} – n + 1}&{{n^2} – n + 2}&{…}&{{n^2} – n + n – 1}&{{n^2}} end{array}} right) hfill xrightarrow{{{mathbf{ – }}{{mathbf{c}}_{mathbf{i}}}{mathbf{ + }}{{mathbf{c}}_{{mathbf{i + 1}}}}{mathbf{,i = 1,2,…,n – 1}}}}left( {begin{array}{*{20}{c}} 1&1&{…}&1&1 {n + 1}&1&{…}&1&1 {…}&{…}&{…}&{…}&{…} {{n^2} – 2n + 1}&1&{…}&1&1 {{n^2} – n + 1}&1&{…}&1&1 end{array}} right) hfill xrightarrow{{{mathbf{ – }}{{mathbf{c}}_{mathbf{2}}}{mathbf{ + }}{{mathbf{c}}_{mathbf{i}}}{mathbf{,i = 3,…,n}}}}left( {begin{array}{*{20}{c}} 1&1&{…}&0&0 {n + 1}&1&{…}&0&0 {…}&{…}&{…}&{…}&{…} {{n^2} – 2n + 1}&1&{…}&0&0 {{n^2} – n + 1}&1&{…}&0&0 end{array}} right) Rightarrow rank(A) = 2. hfill end{gathered} ]
>>Xem thêm các bài viết liên quan đến hệ phương trình tuyến tính
Bài 1: Hệ phương trình Cramer
Bài 2: Hệ phương trình tuyến tính tổng quát
Bài 3: Hệ phương trình tuyến tính thuần nhất
Bài 4: Mô hình Input – Output của Leontief
Bài 5: Mô hình cân bằng thị trường và cân bằng kinh tế vĩ mô
BÀI TẬP ÁP DỤNG TÌM HẠNG CỦA MA TRẬN CHO TRƯỚC
Tìm hạng của các ma trận sau:
a) $A = left( {begin{array}{*{20}{c}} 3&2&1 1&{ – 1}&{ – 3} 1&1&1 end{array}} right);$
b) $A = left( {begin{array}{*{20}{c}} 2&3&{ – 1}&4 3&{ – 4}&2&{ – 1} { – 1}&7&{ – 2}&{ – 8} 4&6&{ – 1}&{ – 5} end{array}} right);$
c) $A = left( {begin{array}{*{20}{c}} 3&{ – 1}&3&2&5 5&{ – 3}&2&3&4 1&{ – 3}&{ – 5}&0&{ – 7} 7&{ – 5}&1&4&1 end{array}} right);$ d) $A = left( {begin{array}{*{20}{c}} 1&3&5&{ – 1} 2&{ – 1}&{ – 3}&4 5&1&{ – 1}&7 7&7&9&1 end{array}} right);$ e) $A = left( {begin{array}{*{20}{c}} {25}&{31}&{17}&{43} {75}&{94}&{53}&{132} {75}&{94}&{54}&{134} {25}&{32}&{20}&{48} end{array}} right);$ f) $A = left( {begin{array}{*{20}{c}} 4&3&{ – 5}&2&3 8&6&{ – 7}&4&2 4&3&{ – 8}&2&7 4&3&1&2&{ – 5} 8&6&{ – 1}&4&{ – 6} end{array}} right).$

2. Biện luận hạng của ma trận theo tham số
Tương tự như tìm hạng của ma trận cho trước ta có thể sử dụng phép biến đổi Gauss hoặc sử dụng định thức bao quanh (định thức con chính cấp k của ma trận). Nếu ma trận cần biện luận hạng là một ma trận vuông ta có thể biện luận hạng của nó theo định thức của ma trận đó. Cùng xem các ví dụ sau:
Ví dụ 1: Tìm $m$ để ma trận $A = left( {begin{array}{*{20}{c}} 1&2&{ – 1}&{ – 1} 2&{m + 4}&{ – 2}&{ – 1} 3&{m + 6}&{ – 3}&{m – 3} end{array}} right)$ có hạng nhỏ nhất.

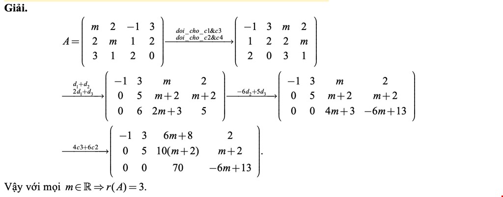
Ví dụ 2: Tìm $m$ để ma trận $A = left( {begin{array}{*{20}{c}} m&2&{ – 1}&3 2&m&1&2 3&1&2&0 end{array}} right)$ có hạng nhỏ nhất.

Ví dụ 3: Tìm $a$ để hạng của ma trận sau nhỏ nhất, với $A = left( {begin{array}{*{20}{c}} 3&1&4&1 a&2&3&1 3&{ – 1}&1&0 3&3&7&2 end{array}} right).$

Ví dụ 4: Cho ma trận $A = left( {begin{array}{*{20}{c}} 1&2&3&4 m&1&2&{ – 1} 3&1&{ – 4}&2 end{array}} right).$ Chứng minh rằng với mọi $m$ thì $r(A)=3.$
Giải. Có $D_{123}^{234} = left| {begin{array}{*{20}{c}} 2&3&4 1&2&{ – 1} 1&4&2 end{array}} right| = 15 ne 0 Rightarrow r(A) = 3,forall m.$
Ví dụ 5: Biện luận theo $m$ hạng của ma trận $A = left( {begin{array}{*{20}{c}} 2&3&1&2 { – 1}&2&3&4 { – 1}&9&{10}&m end{array}} right).$
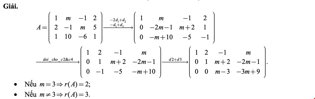
Ví dụ 6: Biện luận theo $m$ hạng của ma trận $A = left( {begin{array}{*{20}{c}} 1&m&{ – 1}&2 2&{ – 1}&m&5 1&{10}&{ – 6}&1 end{array}} right).$

Ví dụ 7: Biện luận theo $m$ hạng của ma trận $A = left( {begin{array}{*{20}{c}} 2&1&m&3 { – 1}&2&1&4 4&3&2&1 { – 3}&4&1&2 end{array}} right).$

Ví dụ 8: Biện luận theo $m$ hạng của ma trận $A = left( {begin{array}{*{20}{c}} {7 – m}&{ – 12}&6 {10}&{ – 19 – m}&{10} {12}&{ – 24}&{13 – m} end{array}} right).$

Ví dụ 9: Biện luận hạng của ma trận $A = left( {begin{array}{*{20}{c}} { – 1}&1&1&{ – 1}&1 2&m&{ – 1}&2&1 1&1&{ – 1}&m&{ – 1} 2&3&{ – 1}&2&1 end{array}} right).$
Giải. Biến đổi ma trận $A$
[begin{gathered} A = left( {begin{array}{*{20}{c}} { – 1}&1&1&{ – 1}&1 2&m&{ – 1}&2&1 1&1&{ – 1}&m&{ – 1} 2&3&{ – 1}&2&1 end{array}} right)xrightarrow{begin{subarray}{l} {mathbf{2}}{{mathbf{d}}_{mathbf{1}}}{mathbf{ + }}{{mathbf{d}}_{mathbf{2}}} {{mathbf{d}}_{mathbf{1}}}{mathbf{ + }}{{mathbf{d}}_{mathbf{3}}} {mathbf{2}}{{mathbf{d}}_{mathbf{1}}}{mathbf{ + }}{{mathbf{d}}_{mathbf{4}}} end{subarray} }left( {begin{array}{*{20}{c}} { – 1}&1&1&{ – 1}&1 0&{m + 2}&1&0&3 0&2&0&{m – 1}&0 0&5&1&0&3 end{array}} right) hfill xrightarrow{{{mathbf{doi_cho_}}{{mathbf{d}}_{mathbf{2}}}{mathbf{& }}{{mathbf{d}}_{mathbf{4}}}}}left( {begin{array}{*{20}{c}} { – 1}&1&1&{ – 1}&1 0&5&1&0&3 0&2&0&{m – 1}&0 0&{m + 2}&1&0&3 end{array}} right)xrightarrow{begin{subarray}{l} {mathbf{ – }}dfrac{{mathbf{2}}}{{mathbf{5}}}{{mathbf{d}}_{mathbf{2}}}{mathbf{ + }}{{mathbf{d}}_{mathbf{3}}} {mathbf{ – }}dfrac{{{mathbf{m + 2}}}}{{mathbf{5}}}{{mathbf{d}}_{mathbf{2}}}{mathbf{ + }}{{mathbf{d}}_{mathbf{4}}} end{subarray} }left( {begin{array}{*{20}{c}} { – 1}&1&1&{ – 1}&1 0&5&1&0&3 0&0&{ – dfrac{2}{5}}&{m – 1}&{ – dfrac{6}{5}} 0&0&0&{dfrac{{3 – m}}{5}}&{dfrac{{3left( {3 – m} right)}}{5}} end{array}} right) hfill end{gathered} ]
+ Nếu $m=3Rightarrow rleft( A right)=3$
+ Nếu $mne 3Rightarrow rleft( A right)=4$
Ví dụ 10: Tìm $m$ để hạng của ma trận $A = left( {begin{array}{*{20}{c}} 1&{ – 1}&2&3 { – 1}&1&3&{ – 1} 1&{ – 1}&7&m end{array}} right)$ nhỏ nhất.
Ví dụ 11: Biện luận theo $m$ hạng của ma trận $A = left( {begin{array}{*{20}{c}} m&2&2&2 2&m&2&2 2&2&m&2 2&2&2&m end{array}} right).$
Giải. Có
$begin{array}{l} det (A) = left| {begin{array}{*{20}{c}} m&2&2&2 2&m&2&2 2&2&m&2 2&2&2&m end{array}} right| = left| {begin{array}{*{20}{c}} {m + 6}&2&2&2 {m + 6}&m&2&2 {m + 6}&2&m&2 {m + 6}&2&2&m end{array}} right|({c_4} + {c_3} + {c_2} + {c_1}) = (m + 6)left| {begin{array}{*{20}{c}} 1&2&2&2 1&m&2&2 1&2&m&2 1&2&2&m end{array}} right| = (m + 6)left| {begin{array}{*{20}{c}} 1&2&2&2 0&{m – 2}&0&0 0&0&{m – 2}&0 0&0&0&{m – 2} end{array}} right|begin{array}{*{20}{c}} { – d1 + {d_2}} { – {d_1} + {d_3}} { – {d_1} + {d_4}} end{array} = {(m – 2)^3}(m + 6). end{array}$
- Nếu $det (A)ne 0Leftrightarrow mnotin left{ 2,-6 right}Rightarrow r(A)=4;$
- Nếu $m=2Rightarrow r(A)=1;$
- Nếu $m=-6Rightarrow r(A)=3$ (bạn đọc tự kiểm tra).
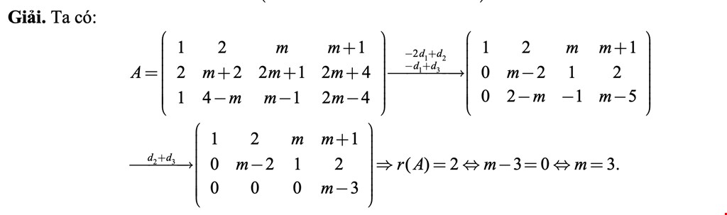
Ví dụ 12: Tìm $m$ để ma trận $A = left( {begin{array}{*{20}{c}} 1&2&m&{m + 1} 2&{m + 2}&{2m + 1}&{2m + 4} 1&{4 – m}&{m – 1}&{2m – 4} end{array}} right)$ có hạng bằng 2.

Ví dụ 13: Tìm số thực $a$ để ma trận $A = left( {begin{array}{*{20}{c}} 2&{2 – a}&4&{{a^2}} 1&{1 – a}&2&0 3&{3 – 2a}&{8 – a}&4 end{array}} right)$ có hạng bé nhất.

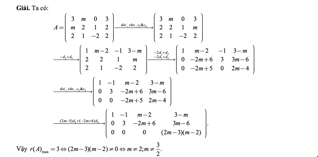
Ví dụ 14. Tìm $m$ để hạng của ma trận $A = left( {begin{array}{*{20}{c}} 3&m&0&3 m&2&1&2 2&1&{ – 2}&2 end{array}} right)$ lớn nhất.

Ví dụ 15: Tìm $a,b,c$ để hạng của ma trận $A = left( {begin{array}{*{20}{c}} 1&{ – 2}&0&{a + 1}&b&{ – c} 2&3&{ – 1}&{2b}&{ – a}&{b – 2} 0&{ – 7}&1&c&{2c – 1}&{2a} end{array}} right)$ nhỏ nhất.
Giải. Ta có:
$begin{gathered} A = left( {begin{array}{*{20}{c}} 1&{ – 2}&0&{a + 1}&b&{ – c} 2&3&{ – 1}&{2b}&{ – a}&{b – 2} 0&{ – 7}&1&c&{2c – 1}&{2a} end{array}} right) hfill xrightarrow{{{mathbf{ – 2}}{{mathbf{d}}_{mathbf{1}}}{mathbf{ + }}{{mathbf{d}}_{mathbf{2}}}}}left( {begin{array}{*{20}{c}} 1&{ – 2}&0&{a + 1}&b&{ – c} 0&7&{ – 1}&{ – 2a – 2 + 2b}&{ – a – 2b}&{b – 2 + 2c} 0&{ – 7}&1&c&{2c – 1}&{2a} end{array}} right) hfill xrightarrow{{{{mathbf{d}}_{mathbf{2}}}{mathbf{ + }}{{mathbf{d}}_{mathbf{3}}}}}left( {begin{array}{*{20}{c}} 1&{ – 2}&0&{a + 1}&b&{ – c} 0&7&{ – 1}&{ – 2a – 2 + 2b}&{ – a – 2b}&{b – 2 + 2c} 0&0&0&{ – 2a + 2b + c – 2}&{ – a – 2b + 2c – 1}&{2a + b + 2c – 2} end{array}} right). hfill end{gathered} $
Vậy $r{(A)_{min }} = 2 Leftrightarrow left{ begin{gathered} – 2a + 2b + c – 2 = 0 hfill – a – 2b + 2c – 1 = 0 hfill 2a + b + 2c – 2 = 0 hfill end{gathered} right. Leftrightarrow left{ begin{gathered} a = – dfrac{1}{9} hfill b = dfrac{4}{9} hfill c = dfrac{8}{9} hfill end{gathered} right..$
Ví dụ 16: Cho các số thực dương $a,b$ thoả mãn $a+b>2$ và ma trận $A = left( {begin{array}{*{20}{c}} 1&a&1&b a&1&b&1 1&b&1&a b&1&a&1 end{array}} right).$ Biện luận theo $a,b$ hạng của ma trận $A.$
Giải. Đây là ma trận vuông vậy trước tiên tính định thức của nó:
[begin{gathered} det (A) = left| {begin{array}{*{20}{c}} 1&a&1&b a&1&b&1 1&b&1&a b&1&a&1 end{array}} right| = left| {begin{array}{*{20}{c}} {a + b + 2}&a&1&b {a + b + 2}&1&b&1 {a + b + 2}&b&1&a {a + b + 2}&1&a&1 end{array}} right|left( {{{mathbf{c}}_{mathbf{4}}}{mathbf{ + }}{{mathbf{c}}_{mathbf{3}}}{mathbf{ + }}{{mathbf{c}}_{mathbf{2}}}{mathbf{ + }}{{mathbf{c}}_{mathbf{1}}}} right) = (a + b + 2)left| {begin{array}{*{20}{c}} 1&a&1&b 1&1&b&1 1&b&1&a 1&1&a&1 end{array}} right| = (a + b + 2)left| {begin{array}{*{20}{c}} 1&a&1&b 0&{1 – a}&{b – 1}&{1 – b} 0&{b – a}&0&{a – b} 0&{1 – a}&{a – 1}&{1 – b} end{array}} right| = (a + b + 2)left| {begin{array}{*{20}{c}} {1 – a}&{b – 1}&{1 – b} {b – a}&0&{a – b} {1 – a}&{a – 1}&{1 – b} end{array}} right| = (a + b + 2)left| {begin{array}{*{20}{c}} {1 – a}&{b – 1}&{1 – b} {b – a}&0&{a – b} 0&{a – b}&0 end{array}} right|left( {{mathbf{ – }}{{mathbf{d}}_{mathbf{1}}}{mathbf{ + }}{{mathbf{d}}_{mathbf{3}}}} right) = (a + b + 2)(a – b){( – 1)^{3 + 2}}left| {begin{array}{*{20}{c}} {1 – a}&{1 – b} {b – a}&{a – b} end{array}} right| = (a + b + 2){(a – b)^2}(a + b – 2). end{gathered} ]
Do $a+b>2Rightarrow det (A)=0Leftrightarrow a=b.$
+) Nếu $ane bRightarrow det (A)ne 0Rightarrow r(A)=4.$
+) Nếu $a = b Rightarrow a = b > 1 Rightarrow A = left( {begin{array}{*{20}{c}} 1&a&1&a a&1&a&1 1&a&1&a a&1&a&1 end{array}} right);D_{12}^{12} = left| {begin{array}{*{20}{c}} 1&a a&1 end{array}} right| = 1 – {a^2} < 0;D_{123}^{123} = left| {begin{array}{*{20}{c}} 1&a&1 a&1&a 1&a&1 end{array}} right| = 0.$
Do đó $r(A)=2.$
Ví dụ 17: Chứng minh rằng hạng của ma trận $A = left( {begin{array}{*{20}{c}} { – 1}&2&1&{ – 1}&1 m&{ – 1}&1&{ – 1}&{ – 1} 1&m&0&1&1 1&2&2&{ – 1}&1 end{array}} right)$ không phụ thuộc vào tham số $m.$
Giải. Biến đổi ma trận $A$
[begin{gathered} A = left( {begin{array}{*{20}{c}} { – 1}&2&1&{ – 1}&1 m&{ – 1}&1&{ – 1}&{ – 1} 1&m&0&1&1 1&2&2&{ – 1}&1 end{array}} right)xrightarrow{begin{subarray}{l} {mathbf{doi_cho_}}{{mathbf{c}}_{mathbf{1}}}{mathbf{& }}{{mathbf{c}}_{mathbf{3}}} {mathbf{doi_cho_}}{{mathbf{c}}_{mathbf{2}}}{mathbf{& }}{{mathbf{c}}_{mathbf{4}}} end{subarray} }left( {begin{array}{*{20}{c}} { – 1}&1&1&{ – 1}&2 { – 1}&{ – 1}&1&m&{ – 1} 1&1&0&1&m { – 1}&1&2&1&2 end{array}} right) hfill xrightarrow{begin{subarray}{l} {mathbf{ – }}{{mathbf{d}}_{mathbf{1}}}{mathbf{ + }}{{mathbf{d}}_{mathbf{2}}} {{mathbf{d}}_{mathbf{1}}}{mathbf{ + }}{{mathbf{d}}_{mathbf{3}}} {mathbf{ – }}{{mathbf{d}}_{mathbf{1}}}{mathbf{ + }}{{mathbf{d}}_{mathbf{4}}} end{subarray} }left( {begin{array}{*{20}{c}} { – 1}&1&1&{ – 1}&2 0&{ – 2}&0&{m + 1}&{ – 3} 0&2&1&0&{m + 2} 0&0&1&2&0 end{array}} right)xrightarrow{{{{mathbf{d}}_{mathbf{2}}}{mathbf{ + }}{{mathbf{d}}_{mathbf{3}}}}}left( {begin{array}{*{20}{c}} { – 1}&1&1&{ – 1}&2 0&{ – 2}&0&{m + 1}&{ – 3} 0&0&1&{m + 1}&{m – 1} 0&0&1&2&0 end{array}} right) Rightarrow rleft( A right) = 4,forall m hfill end{gathered} ]
Ta có điều phải chứng minh.
Ví dụ 18: Biện luận hạng của ma trận $A = left( {begin{array}{*{20}{c}} 1&{ – 1}&0&{ – 1} { – 3}&2&{a + 1}&3 {2a + 1}&{ – 1}&0&1 { – 2}&2&1&3 end{array}} right).$
Giải. Ta có:
[begin{gathered} A = left( {begin{array}{*{20}{c}} 1&{ – 1}&0&{ – 1} { – 3}&2&{a + 1}&3 {2a + 1}&{ – 1}&0&1 { – 2}&2&1&3 end{array}} right)xrightarrow{{{mathbf{doi_cho_}}{{mathbf{c}}_{mathbf{1}}}{mathbf{& }}{{mathbf{c}}_{mathbf{4}}}}}left( {begin{array}{*{20}{c}} { – 1}&{ – 1}&0&1 3&2&{a + 1}&{ – 3} 1&{ – 1}&0&{2a + 1} 3&2&1&{ – 2} end{array}} right) hfill xrightarrow{begin{subarray}{l} {mathbf{3}}{{mathbf{d}}_{mathbf{1}}}{mathbf{ + }}{{mathbf{d}}_{mathbf{2}}} {{mathbf{d}}_{mathbf{1}}}{mathbf{ + }}{{mathbf{d}}_{mathbf{3}}} {mathbf{3}}{{mathbf{d}}_{mathbf{1}}}{mathbf{ + }}{{mathbf{d}}_{mathbf{4}}} end{subarray} }left( {begin{array}{*{20}{c}} { – 1}&{ – 1}&0&1 0&{ – 1}&{a + 1}&0 0&{ – 2}&0&{2a + 2} 0&{ – 1}&1&1 end{array}} right)xrightarrow{begin{subarray}{l} {mathbf{ – 2}}{{mathbf{d}}_{mathbf{2}}}{mathbf{ + }}{{mathbf{d}}_{mathbf{3}}} {mathbf{ – }}{{mathbf{d}}_{mathbf{2}}}{mathbf{ + }}{{mathbf{d}}_{mathbf{4}}} end{subarray} }left( {begin{array}{*{20}{c}} { – 1}&{ – 1}&0&1 0&{ – 1}&{a + 1}&0 0&0&{ – 2(a + 1)}&{2a + 2} 0&0&{ – a}&1 end{array}} right) hfill xrightarrow{{{mathbf{a}}{{mathbf{d}}_3}{mathbf{ – 2(a + 1)}}{{mathbf{d}}_4}}}left( {begin{array}{*{20}{c}} { – 1}&{ – 1}&0&1 0&{ – 1}&{a + 1}&0 0&0&{ – 2(a + 1)}&{2a + 2} 0&0&0&{2(a + 1)(a – 1)} end{array}} right) Rightarrow r(A) = left{ begin{gathered} 4{text{ khi }}a ne pm 1 hfill 3{text{ khi }}a = pm 1 hfill end{gathered} right.. hfill end{gathered} ]
Ví dụ 19: Biết rằng ma trận $A = left( {begin{array}{*{20}{c}} 1&{1 – {a^2}}&{1 – ab} 0&1&{ – 1} { – 1}&{1 – ab}&{1 – {b^2}} end{array}} right)$ có hạng bằng 2. Tính ${{(a+b)}^{2}}.$
Giải. Biến đổi ma trận đã cho
$begin{gathered} A = left( {begin{array}{*{20}{c}} 1&{1 – {a^2}}&{1 – ab} 0&1&{ – 1} { – 1}&{1 – ab}&{1 – {b^2}} end{array}} right)xrightarrow{{{{mathbf{d}}_{mathbf{1}}}{mathbf{ + }}{{mathbf{d}}_{mathbf{3}}}}}left( {begin{array}{*{20}{c}} 1&{1 – {a^2}}&{1 – ab} 0&1&{ – 1} 0&{2 – {a^2} – ab}&{2 – ab – {b^2}} end{array}} right) hfill xrightarrow{{{mathbf{(}}{{mathbf{a}}^{mathbf{2}}}{mathbf{ + ab – 2)}}{{mathbf{d}}_{mathbf{2}}}{mathbf{ + }}{{mathbf{d}}_{mathbf{3}}}}}left( {begin{array}{*{20}{c}} 1&{1 – {a^2}}&{1 – ab} 0&1&{ – 1} 0&0&{4 – 2ab – {a^2} – {b^2}} end{array}} right). hfill end{gathered} $
Vậy $r(A)=2Leftrightarrow 4-2ab-{{a}^{2}}-{{b}^{2}}=0Leftrightarrow {{(a+b)}^{2}}=4.$
Ví dụ 20: Cho các số thực dương $a,b$ thoả mãn $a+b>2$ và ma trận $A = left( {begin{array}{*{20}{c}} 1&a&1&b a&1&b&1 1&b&1&a b&1&a&1 end{array}} right).$ Biện luận theo $a,b$ hạng của ma trận $A.$
Đây là ma trận vuông vậy trước tiên tính định thức của nó:
[begin{gathered} det (A) = left| {begin{array}{*{20}{c}} 1&a&1&b a&1&b&1 1&b&1&a b&1&a&1 end{array}} right| = left| {begin{array}{*{20}{c}} {a + b + 2}&a&1&b {a + b + 2}&1&b&1 {a + b + 2}&b&1&a {a + b + 2}&1&a&1 end{array}} right|left( {{{mathbf{c}}_{mathbf{4}}}{mathbf{ + }}{{mathbf{c}}_{mathbf{3}}}{mathbf{ + }}{{mathbf{c}}_{mathbf{2}}}{mathbf{ + }}{{mathbf{c}}_{mathbf{1}}}} right) = (a + b + 2)left| {begin{array}{*{20}{c}} 1&a&1&b 1&1&b&1 1&b&1&a 1&1&a&1 end{array}} right| = (a + b + 2)left| {begin{array}{*{20}{c}} 1&a&1&b 0&{1 – a}&{b – 1}&{1 – b} 0&{b – a}&0&{a – b} 0&{1 – a}&{a – 1}&{1 – b} end{array}} right| = (a + b + 2)left| {begin{array}{*{20}{c}} {1 – a}&{b – 1}&{1 – b} {b – a}&0&{a – b} {1 – a}&{a – 1}&{1 – b} end{array}} right| = (a + b + 2)left| {begin{array}{*{20}{c}} {1 – a}&{b – 1}&{1 – b} {b – a}&0&{a – b} 0&{a – b}&0 end{array}} right|left( {{mathbf{ – }}{{mathbf{d}}_{mathbf{1}}}{mathbf{ + }}{{mathbf{d}}_{mathbf{3}}}} right) = (a + b + 2)(a – b){( – 1)^{3 + 2}}left| {begin{array}{*{20}{c}} {1 – a}&{1 – b} {b – a}&{a – b} end{array}} right| = (a + b + 2){(a – b)^2}(a + b – 2). end{gathered} ]
Do $a+b>2Rightarrow det (A)=0Leftrightarrow a=b.$
+) Nếu $ane bRightarrow det (A)ne 0Rightarrow r(A)=4.$
+) Nếu $a = b Rightarrow a = b > 1 Rightarrow A = left( {begin{array}{*{20}{c}} 1&a&1&a a&1&a&1 1&a&1&a a&1&a&1 end{array}} right);D_{12}^{12} = left| {begin{array}{*{20}{c}} 1&a a&1 end{array}} right| = 1 – {a^2} < 0;D_{123}^{123} = left| {begin{array}{*{20}{c}} 1&a&1 a&1&a 1&a&1 end{array}} right| = 0.$
Do đó $r(A)=2.$
3. Hạng của ma trận phụ hợp
Định lí. Cho ma trận $A={{({{a}_{ij}})}_{ntimes n}},nge 2$ và ${{A}^{*}}$ là ma trận phụ hợp của $A,$ khi đó ta có:
- $r(A)=nLeftrightarrow r({{A}^{*}})=n;$
- $r(A)=n-1Leftrightarrow r({{A}^{*}})=1;$
- $r(A)le n-2Leftrightarrow r({{A}^{*}})=0.$
Chứng minh xem bài giảng tại đây: https://vted.vn/khoa-hoc/xem/khoa-pro-s1-mon-toan-cao-cap-1-dai-so-tuyen-tinh-kh836547837.html
hoặc tại đây: https://askmath.vn/cau-hoi/dinh-li-ve-hang-cua-ma-tran-phu-hop-cho-ma-tran-va-la-ma-tran-phu/d82056f4-cd53-4877-b64b-ad797fc95185
Ví dụ 1: Cho ma trận $A = left( {begin{array}{*{20}{c}} 1&2&m&1 { – 3}&4&2&1 4&{ – 3}&2&1 { – 1}&2&1&3 end{array}} right).$ Biện luận theo $m$ hạng của ma trận ${{A}^{*}}$ là ma trận phụ hợp của $A.$
Giải. Ta có:
$begin{gathered} A = left( {begin{array}{*{20}{c}} 1&2&m&1 { – 3}&4&2&1 4&{ – 3}&2&1 { – 1}&2&1&3 end{array}} right)xrightarrow{{{mathbf{doi_cho_}}{{mathbf{d}}_{mathbf{1}}}{mathbf{& }}{{mathbf{d}}_{mathbf{4}}}}}left( {begin{array}{*{20}{c}} { – 1}&2&1&3 { – 3}&4&2&1 4&{ – 3}&2&1 1&2&m&1 end{array}} right) hfill xrightarrow{begin{subarray}{l} {mathbf{ – 3}}{{mathbf{d}}_{mathbf{1}}}{mathbf{ + }}{{mathbf{d}}_{mathbf{2}}} {mathbf{4}}{{mathbf{d}}_{mathbf{1}}}{mathbf{ + }}{{mathbf{d}}_{mathbf{3}}} {{mathbf{d}}_{mathbf{1}}}{mathbf{ + }}{{mathbf{d}}_{mathbf{4}}} end{subarray} }left( {begin{array}{*{20}{c}} { – 1}&2&1&3 0&{ – 2}&{ – 1}&{ – 8} 0&5&6&{13} 0&4&{m + 1}&4 end{array}} right)xrightarrow{begin{subarray}{l} {mathbf{5}}{{mathbf{d}}_{mathbf{2}}}{mathbf{ + 2}}{{mathbf{d}}_{mathbf{3}}} {mathbf{2}}{{mathbf{d}}_{mathbf{2}}}{mathbf{ + }}{{mathbf{d}}_{mathbf{4}}} end{subarray} }left( {begin{array}{*{20}{c}} { – 1}&2&1&3 0&{ – 2}&{ – 1}&{ – 8} 0&0&7&{ – 14} 0&0&{m – 1}&{ – 12} end{array}} right) hfill xrightarrow{{{mathbf{ – (m – 1)}}{{mathbf{d}}_{mathbf{3}}}{mathbf{ + 7}}{{mathbf{d}}_{mathbf{4}}}}}left( {begin{array}{*{20}{c}} { – 1}&2&1&3 0&{ – 2}&{ – 1}&{ – 8} 0&0&7&{ – 14} 0&0&0&{14(m – 7)} end{array}} right). hfill end{gathered} $
+) Nếu $mne 7Rightarrow r(A)=4Rightarrow r({{A}^{*}})=4;$
+) Nếu $m=7Rightarrow r(A)=3=4-1Rightarrow r({{A}^{*}})=1.$
4. Dạng toán chứng minh về hạng của ma trận
Ta sử dụng các tính chất về hạng của ma trận sau đây:
- $r(A)=r({A}’);$
- $r(A+B)le r(A)+r(B)$ với $A,B$ là hai ma trận cùng cấp;
- $r(AB)le r(A);r(AB)le r(B)$ với $A,B$ là hai ma trận bất kì sao cho $AB$ tồn tại;
- $r(A)+r(B)le r(AB)+n$ với $A,B$ là hai ma trận vuông cùng cấp.
Ví dụ 1: Cho ma trận $A$ vuông cấp $n$ thoả mãn ${{A}^{2}}=E.$ Chứng minh rằng $r(E+A)+r(E-A)=n.$
Giải. Áp dụng bất đẳng thức về hạng của ma trện có:
$begin{array}{l} r(E – A) + r(E + A) ge r(E – A + E + A) = r(2E) = n r(E – A) + r(E + A) le r((E – A)(E + A)) + n = r({E^2} – {A^2}) + n = r(O) + n = n end{array}$
Vậy $r(E+A)+r(E-A)=n.$
Ví dụ 2: Cho ma trận $A={{({{a}_{ij}})}_{ntimes n}}$ có ${{a}_{ij}}=0,forall i=j;{{a}_{ij}}in left{ 1,2019 right},forall ine j.$ Chứng minh rằng $r(A)ge n-1.$
Giải. Xét $B={{({{b}_{ij}})}_{ntimes n}},{{b}_{ij}}=1,forall i,j=1,2,..,n$ khi đó $C=A-B={{({{a}_{ij}}-{{b}_{ij}})}_{ntimes n}}={{({{c}_{ij}})}_{ntimes n}}$ với [{{c}_{ij}}=-1,forall i=j;{{c}_{ij}}in left{ 0,2018 right},forall ine j.]
Do đó $det (C)-{{(-1)}^{n}}$ chia hết cho 2018, tức $det (C)ne 0Rightarrow r(C)=n.$
Mặt khác $C=A-BRightarrow r(C)=r(A-B)le r(A)+r(-B)=r(A)+1Rightarrow r(A)ge n-1.$
Ví dụ 3: Cho ma trận $A={{({{a}_{ij}})}_{ntimes n}}$ có ${{a}_{ij}}=i+j,forall i,j=1,2,…,n.$ Tìm hạng của ma trận $A.$
Giải. Xét $B={{({{b}_{ij}})}_{ntimes n}},{{b}_{ij}}=i,forall i=1,2,…,n;C={{({{c}_{ij}})}_{ntimes n}},{{c}_{ij}}=j,forall j=1,2,…,n.$
Giải. Ta có $r(B)=r(C)=1$ và $A=B+CRightarrow r(A)=r(B+C)le r(B)+r(C)=2.$
Mặt khác $D_{12}^{12} = left| {begin{array}{*{20}{c}} 2&3 3&4 end{array}} right| = – 1 ne 0 Rightarrow r(A) ge 2.$ Vậy $r(A)=2.$
Ví dụ 4: Cho hai ma trận $A,B$ vuông cùng cấp sao cho ${{A}^{2}}=A,{{B}^{2}}=B$ và ma trận $E-A-B$ khả nghịch. Chứng minh rằng $r(A)=r(B).$
Giải. Do $E-A-B$ khả nghịch nên $left{ begin{gathered} r(A) = r(A(E – A – B)) = r(A – {A^2} – AB) = r( – AB) hfill r(B) = r((E – A – B)B) = r(B – AB – {B^2}) = r( – AB) hfill end{gathered} right. Rightarrow r(A) = r(B).$
Ví dụ 5: Cho ma trận vuông $A$ thoả mãn ${{A}^{m}}=O.$ Chứng minh rằng với mọi số nguyên dương $n$ ta luôn có $r(A)=r(A+{{A}^{2}}+…+{{A}^{n}}).$
Giải. Xét các phương trình $AX=O(1);(A+{{A}^{2}}+…+{{A}^{n}})X=O(2).$
Ta chỉ cần chứng minh (1) và (2) có cùng tập nghiệm, khi đó $r(A)=r(A+{{A}^{2}}+…+{{A}^{n}})=p-r$ trong đó $p$ là cấp của ma trận $A;$ và $r$ là số chiều không gian nghiệm của hai hệ phương trình.
+) Nếu $A{{X}_{0}}=ORightarrow (A+{{A}^{2}}+…+{{A}^{n}}){{X}_{0}}=A{{X}_{0}}+A(A{{X}_{0}})+…+{{A}^{n-1}}(A{{X}_{0}})=O.$
+) Nếu $(A+{{A}^{2}}+…+{{A}^{n}}){{X}_{0}}=ORightarrow A{{X}_{0}}=-({{A}^{2}}+…+{{A}^{n}}){{X}_{0}}=-{{A}^{2}}(E+A+…+{{A}^{n-2}}){{X}_{0}}={{A}^{2}}B{{X}_{0}},$ trong đó $B=-(E+A+…+{{A}^{n-2}}),AB=BA.$
Suy ra [A{{X}_{0}}={{A}^{2}}B{{X}_{0}}=A(AB){{X}_{0}}=A(BA){{X}_{0}}=AB({{A}^{2}}B{{X}_{0}})={{B}^{2}}{{A}^{2}}(A{{X}_{0}})=…{{B}^{k}}{{A}^{k}}(A{{X}_{0}})=O,kge m.]
Ta có điều phải chứng minh.
Ví dụ 6: Cho $A$ là ma trận thực cấp $4times 2$ và $B$ là ma trận thực cấp $2times 4$ thoả mãn $AB = left( {begin{array}{*{20}{c}} 1&0&{ – 1}&0 0&1&0&{ – 1} { – 1}&0&1&0 0&{ – 1}&0&1 end{array}} right).$ Tìm ma trận $BA.$
Hiện tại Vted.vn xây dựng 2 khoá học Toán cao cấp 1 và Toán cao cấp 2 dành cho sinh viên năm nhất hệ Cao đẳng, đại học khối ngành Kinh tế của tất cả các trường:
- Khoá: PRO S1 – MÔN TOÁN CAO CẤP 1 – ĐẠI SỐ TUYẾN TÍNH
- Khoá: PRO S2 – MÔN TOÁN CAO CẤP 2 – GIẢI TÍCH
Khoá học cung cấp đầy đủ kiến thức và phương pháp giải bài tập các dạng toán đi kèm mỗi bài học. Hệ thống bài tập rèn luyện dạng Tự luận có lời giải chi tiết tại website sẽ giúp học viên học nhanh và vận dụng chắc chắn kiến thức. Mục tiêu của khoá học giúp học viên đạt điểm A thi cuối kì các học phần Toán cao cấp 1 và Toán cao cấp 2 trong các trường kinh tế.
Sinh viên các trường ĐH sau đây có thể học được combo này:
– ĐH Kinh Tế Quốc Dân
– ĐH Ngoại Thương
– ĐH Thương Mại
– Học viện Tài Chính
– Học viện ngân hàng
– ĐH Kinh tế ĐH Quốc Gia Hà Nội
và các trường đại học, ngành kinh tế của các trường ĐH khác trên khắp cả nước…

