Các công thức Logarit đầy đủ và công thức đạo hàm Logarit là một trong những kiến thức vô cùng quan trọng. Việc nắm được các công thức sẽ giúp các bạn dễ dàng tìm ra đáp án và ghi trọn điểm trong các bài toán có liên quan đến Logarit. Hãy cùng Sforum tổng hợp ngay các công thức logarit chuẩn nhất trong Toán học qua nội dung bài viết sau nhé.
Logarit là gì?
Logarit của 1 số là số mũ của cơ số (giá trị cố định) nâng lên cấp lũy thừa để tạo thành số khác, hay là 1 phép nhân có số lần lặp đi lặp lại. Theo đó, công thức Logarit được biểu diễn dưới dạng sau:

Như vậy, logarit là phép toán đối nghịch với lũy thừa. Trong khi lũy thừa biểu diễn việc nâng một cơ số lên một số mũ để tạo ra giá trị cụ thể, logarit được dùng để xác định số mũ dựa trên cơ số và kết quả đã cho.
Logarit đóng vai trò quan trọng trong việc đơn giản hóa các phép tính phức tạp và có ứng dụng rộng rãi trong nhiều lĩnh vực như khoa học, kỹ thuật và kinh tế. Nó hỗ trợ giải quyết các bài toán về tốc độ tăng trưởng, thang đo, lãi suất kép, và được sử dụng trong các ngành như thiên văn học, hóa học hay khoa học máy tính.
Tính chất của logarit
Khi học về công thức Logarit, bạn bắt buộc phải ghi nhớ hết tất cả các tính chất của phép toán này. Như vậy thì bạn mới có thể nắm được nội dung của bài học và áp dụng nó để giải các dạng toán có liên quan. Dưới đây, Sforum sẽ giới thiệu đến bạn bảng tổng hợp 10 tính chất đặc trưng của phép toán Logarit mà bất cứ học sinh nào cũng cần ghi nhớ để có thể đạt điểm tối đa trong các kỳ thi.

Tổng hợp các công thức logarit chuẩn nhất
Công thức Logarit luôn là một trong những nội dung vô cùng quan trọng và có mặt trong rất nhiều dạng bài tập. Hãy cùng Sforum tổng hợp lại các công thức Logarit đầy đủ và chi tiết nhất qua phần thông tin ngay bên dưới này bạn nhé.
Công thức Logarit
Đầu tiên khi nhắc đến bộ công thức Logarit, bạn cần nhớ ngay đến dãy các công thức cơ bản. Đây là những kiến thức nền tảng và đặc biệt quan trọng, hỗ trợ bạn giải quyết các bài toán liên quan đến logarit một cách nhanh chóng và hiệu quả. Bạn hãy tham khảo ngay ảnh tổng hợp các công thức logarit đầy đủ, chi tiết bên dưới đây nhé:

Laptop là một thiết bị không thể thiếu giúp bạn học tập cũng như tra cứu các công thức đạo hàm Logarit đầy đủ. Hãy ghé ngay gian hàng dưới đây của CellphoneS để chọn mua ngay laptop ưng ý với khuyến mãi cực kỳ hấp dẫn bạn nhé.
[Product_Listing categoryid=”380″ propertyid=”” customlink=”https://cellphones.com.vn/laptop.html” title=”Danh sách Laptop đang được quan tâm nhiều tại CellphoneS”]
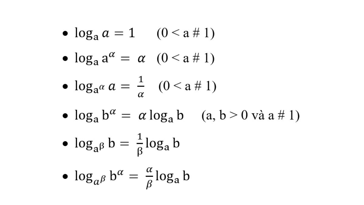
Công thức lũy thừa Logarit
Công thức lũy thừa logarit là một trong các kiến thức đặc biệt quan trọng của chủ đề logarit. Công thức này thường xuyên được sử dụng trong các dạng bài tập yêu cầu rút gọn hoặc biến đổi biểu thức logarit để bài toán trở nên đơn giản hơn. Bạn hãy tham khảo ngay ảnh tổng hợp công thức lũy thừa logarit đầy đủ, chi tiết dưới đây nhé:

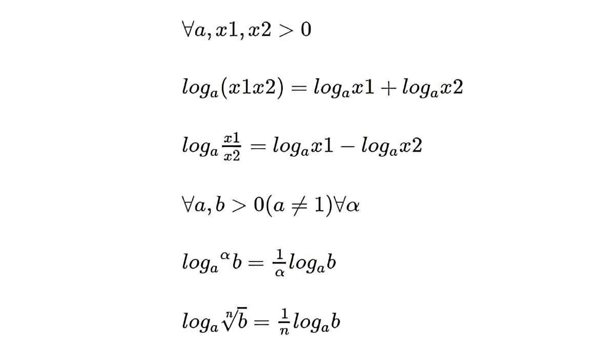
Công thức Logarit và các phép toán
Công thức logarit và các phép toán giúp bạn biến đổi logarit của một tích được tính bằng tổng các logarit, trong khi logarit của một thương được tính bằng hiệu của chúng. Đây là bộ công thức quan trọng giúp bạn đơn giản hóa các phép tính và dễ dàng xử lý các bài toán. Bạn hãy tham khảo ngay ảnh tổng hợp công thức logarit và các phép toán đầy đủ, chi tiết dưới đây nhé:

Công thức phép đổi cơ số
Công thức phép đổi cơ số trong hàm logarit giúp chuyển đổi giữa các cơ số khác nhau, từ đó tính toán dễ dàng hơn khi làm việc với logarit. Khi sử dụng công thức, bạn có thể dễ dàng chuyển đổi logarit cơ số a về một cơ số bất kỳ. Bạn hãy tham khảo ngay ảnh tổng hợp công thức phép đổi cơ số đầy đủ, chi tiết dưới đây nhé:

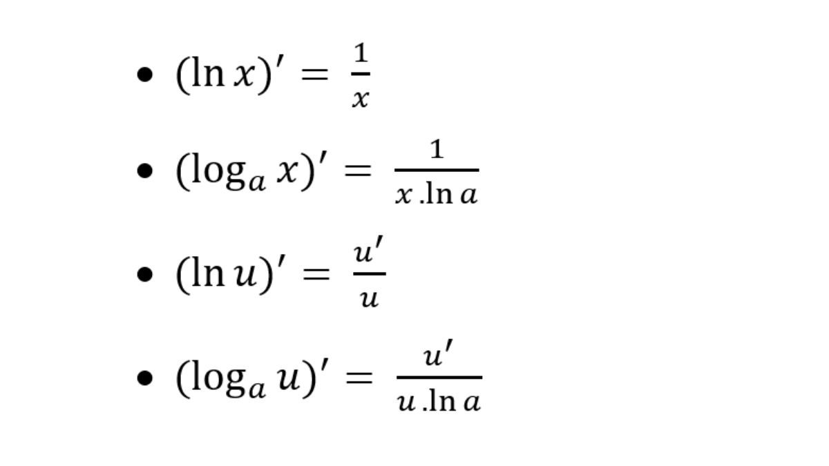
Công thức đạo hàm Logarit
Bên cạnh những công thức lũy thừa hay biến đổi cơ số, công thức đạo hàm Logarit cũng là nội dung quan trọng mà bất kỳ bạn nào cũng phải nắm được. Khi bạn nắm rõ các công thức này, việc giải quyết các bài toán đạo hàm sẽ trở nên dễ dàng và hiệu quả hơn rất nhiều. Bạn hãy tham khảo ngay ảnh tổng hợp các công thức đạo hàm Logarit bên dưới này nhé:

3 quy tắc đạo hàm Logarit toán 12
Bên cạnh việc học các công thức Logarit, bạn cũng cần ghi nhớ công thức đạo hàm Logarit để giải những bài toán có liên quan. Hãy cùng Sforum tổng hợp 3 quy tắc đạo hàm Logarit toán 12 qua phần thông tin ngay bên dưới bạn nhé.
Quy tắc Logarit lũy thừa
Quy tắc này được biểu diễn như sau:

Quy tắc này áp dụng khi đối số của logarit là một lũy thừa. Theo đó, logarit của một số mũ có thể được biểu diễn lại bằng cách đưa số mũ ra ngoài và nhân với logarit của cơ số. Điều này giúp đơn giản hóa các phép tính và dễ dàng tính toán hơn trong các bài tập về logarit.
Quy tắc Logarit của 1 tích
Quy tắc này được biểu diễn như sau:

Với quy tắc này, bạn có thể tính logarit của một tích bằng cách chuyển đổi phép tính thành tổng của các logarit. Khi bạn gặp logarit của một tích, bạn có thể phân tách nó thành các logarit riêng biệt của từng yếu tố trong tích và sau đó cộng chúng lại với nhau. Điều này giúp việc tính toán trở nên dễ dàng và tiện lợi hơn rất nhiều.
Quy tắc sử dụng bảng Logarit
Bảng công thức logarit là công cụ hữu ích để tính toán nhanh chóng logarit của các số mà không cần dùng đến máy tính. Quy tắc sử dụng bảng logarit là tra cứu trực tiếp giá trị logarit của một số trong bảng, sau đó sử dụng các phép toán để tính giá trị logarit của các số khác. Việc nắm vững cách tra cứu bảng sẽ giúp bạn tiết kiệm thời gian và cải thiện độ chính xác khi làm bài.
Các lưu ý khi học bảng công thức Logarit
Đối với các bạn học sinh, việc nắm được các công thức Logarit đầy đủ là vô cùng quan trọng. Hãy tham khảo ngay các lưu ý dưới đây để có thể nhớ công thức Logarit một cách nhanh chóng và chính xác nhất bạn nhé:
- Phân biệt hàm mũ và logarit: Hàm mũ liên quan đến việc biến số xuất hiện ở dạng số mũ, được đặt phía trên một cơ số, trong khi đó logarit là phép toán ngược của lũy thừa, thường được nhận diện qua từ “log” trong phương trình.
- Ghi nhớ các thành phần trong logarit: Công thức logarit bao gồm ba thành phần chính: từ viết tắt “log”, cơ số biểu thị số được nâng lũy thừa, và đối số là giá trị để tính logarit.
- Hiểu sự khác biệt giữa các loại logarit: Logarit được chia thành nhiều loại, bao gồm logarit thập phân, logarit tự nhiên, logarit cơ số bất kỳ, và logarit đơn vị. Việc phân biệt rõ các loại này, cũng như mối liên hệ giữa phép mũ hóa và logarit hóa với cùng một cơ số sẽ giúp bạn giải bài toán một cách nhanh và chính xác.
- Luyện tập thường xuyên: Giải nhiều dạng bài toán cách học hiệu quả giúp bạn ghi nhớ và biết các áp dụng được hết tất cả các công thức. Việc này sẽ giúp bạn hiểu cách áp dụng đúng công thức cho từng trường hợp cụ thể, đồng thời phát hiện ra các lỗi thường gặp để tránh lặp lại sai sót khi đi thi.
Như vậy bài viết là tất cả chia sẻ của Sforum về chủ đề các công thức Logarit đầy đủ và công thức đạo hàm Logarit. Hãy ghi nhớ các công thức và tham khảo các lưu ý để học tập một cách hiệu quả và áp dụng nó vào giải các bài toán có liên quan bạn nhé.
- Theo dõi thêm các bài viết tại chuyên mục: Giáo dục; Góc Học & Day 4.0.