Tính chất hình vuông là gì? Hình vuông là tứ giác có 4 cạnh bằng nhau và 4 góc vuông 90°. Các tính chất chính: hai đường chéo bằng nhau, vuông góc cắt nhau tại trung điểm; có đường tròn nội-ngoại tiếp; thừa hưởng tính chất hình chữ nhật và hình thoi. Bài viết hướng dẫn chi tiết định nghĩa, dấu hiệu nhận biết, công thức đường chéo và bài tập lớp 8 để học sinh dễ áp dụng.
Tính chất của hình vuông
Hình vuông có tất cả tính chất của hình chữ nhật và hình thoi, cộng thêm các đặc điểm sau:
- 4 cạnh bằng nhau và 4 góc vuông 90°: Tạo sự đối xứng hoàn hảo.
- Hai đường chéo bằng nhau, vuông góc, cắt nhau tại trung điểm: Mỗi đường chéo là phân giác góc và trục đối xứng.
- Đường tròn nội tiếp và ngoại tiếp: Tâm trùng giao điểm hai đường chéo.
- Các đường trung tuyến, phân giác, trung trực giao nhau tại một điểm.
- Mỗi đường chéo chia hình thành hai tam giác vuông cân có diện tích bằng nhau.
Ví dụ minh họa: Trong hình vuông ABCD, AC = BD, AC ⊥ BD tại O (trung điểm), O là tâm đường tròn ngoại tiếp.
Dấu hiệu nhận biết hình vuông
Một tứ giác là hình vuông nếu thỏa mãn một trong các điều kiện sau (lớp 8):
- Hình chữ nhật có hai cạnh kề bằng nhau.
- Hình chữ nhật có hai đường chéo vuông góc.
- Hình chữ nhật có một đường chéo là phân giác một góc.
- Hình thoi có một góc vuông.
- Hình thoi có hai đường chéo bằng nhau.
Ví dụ: Hình chữ nhật ABCD với AB = AD → ABCD là hình vuông.
Đường chéo hình vuông là gì? Công thức tính?
Dựa vào tính chất ở trên thì đường chéo trong hình vuông chính là một đoạn nối 2 đỉnh đối xứng trong hình vuông. Điểm đặc biệt là đường chéo này sẽ chia hình vuông ra 2 hình tam giác vừa vuông vừa cân và nằm đối nhau. Việc này có lợi khi bạn muốn tính kích thước của đường chéo và không nắm độ dài của các cạnh.
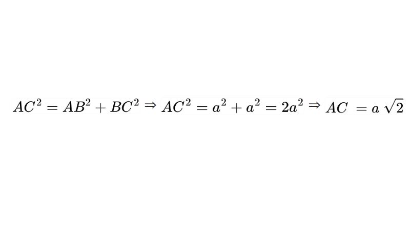
Như vậy thì đường chéo của hình vuông được coi như cạnh huyền thuộc hai tam giác có tính chất vuông cân. Vì vậy công thức để tính toán độ dài đường chéo hình vuông sẽ được tìm ra từ định lý của Pitago về tam giác vuông.
Ví dụ ta có một hình vuông tên là ABCD với độ dài các cạnh được gọi là a. Đường chéo là AC sẽ phân chia hình vuông này ra hai tam giác có tính chất vuông cân là tam giác ACD và tam giác ABC.
Khi áp dụng định lý của Pitago về tam giác có tính chất vuông cân ABC thì ta được:

Vì vậy ta có công thức tính đường chéo của hình vuông gồm độ dài các cạnh là a: AC (đường chéo) = a (cạnh hình vuông) x căn bậc hai của 2.
Bài tập áp dụng công thức tính toán đường chéo hình vuông
Bài tập 1: Giả sử ta có hình vuông có độ dài các cạnh là 3cm. Vậy độ dài đường chéo trong hình vuông này là bao nhiêu? √18cm hay 6cm, 5cm, 4cm?
Đáp án:
Ta có thể áp dụng định lý của Pitago cho hình vuông trên như sau:
AC² = AB² + BC²
= 3² + 3² = 18
Như vậy ta có thể suy ra được đường chéo của hình vuông trên có độ dài là AC = √18cm.
Bài tập 2: Cho 1 hình vuông có độ dài đường chéo là 2cm. Vậy các cạnh thuộc hình vuông này bằng bao nhiêu? 3/2 cm hay 1cm, √2cm, 4/3 cm?
Đáp án:
Chúng ta cũng áp dụng định lý của Pitago cho tam giác có tính chất vuông cân ABC. Bài tập trên đã có sẵn độ dài của đường chéo là 2cm nên ta có cạnh huyền AC = 2cm. Bây giờ chúng ta sẽ tìm độ dài của cạnh AB theo công thức sau:
AC² = AB² + BC²
= 2AB (BC = AB)
Từ đó suy ra:
AB² = AC² : 2
= 2² : 2 = 2
Như vậy thì AB có độ dài là √2.
Đường chéo hình vuông có những ứng dụng nào?
Hiện nay việc tìm hiểu cách tính toán đường chéo trong hình vuông có thể ứng dụng vào nhiều lĩnh vực trong đời sống chúng ta như sau:
Thiết kế và xây dựng
Trong lĩnh vực thiết kế và xây dựng thì người ta áp dụng các tính toán đường chéo của hình vuông nhằm xác định được vị trí và kích thước của những nhân tố như cửa ra vào, cửa sổ, cách bài trí các đồ dùng nội thất cùng những chi tiết liên quan đến kiến trúc,…
Cắt, cắt góc
Khi bạn muốn cắt hình vuông cho ra 2 phần như nhau hoặc muốn cắt 1 góc chuẩn thì công thức tính đường chéo trong hình vuông là rất hữu dụng để đem lại độ đẹp và chính xác.
Đo lường
Trong lĩnh vực đo đạc thì việc tính toán đường chéo hình vuông được áp dụng để tính khoảng cách kể từ 1 điểm tới 1 điểm khác qua 1 vị trí mà bạn không được tiếp cận một cách trực tiếp.
Thiết bị điện tử và công nghệ
Trong lĩnh vực này thì công thức tính toán đường chéo trong hình vuông dùng để tính kích cỡ hiển thị của màn hình và kích thước của viền màn hình.

Đồ họa máy tính và trò chơi
Lĩnh vực này cần áp dụng các tính toán đường chéo trong hình vuông để tính khoảng cách của tọa độ, diện tích những hình vuông tồn tại trong không gian 3D hoặc 2D.
Thiết kế đồ họa và nghệ thuật
Trong thiết kế đồ họa và nghệ thuật thì việc tính toán đường chéo của hình vuông được áp dụng để thiết lập sự đối xứng, cân đối trong những thiết kế đồ họa và những tác phẩm nghệ thuật.
Thị giác máy tính và xử lý các hình ảnh
Trong lĩnh vực này thì việc tính toán độ dài đường chéo trong hình vuông được ứng dụng nhằm xác định được góc với hình dạng những đối tượng có trong các hình ảnh.
Toán học và hình học
Việc tính toán đường chéo hình vuông chính là định nghĩa hình học căn bản, nó có vai trò rất quan trọng ở những bài tính toán có liên quan về hình vuông và những dạng hình học tương tự.
Đường chéo hình chữ nhật là gì? Tính chất?
Hình học chữ nhật được coi như dạng hình học tứ giác có tính lồi và bao gồm 4 góc đều vuông. Đường chéo trong hình này có vài tính chất đặc biệt và rất có ích khi giải những bài tập về hình học như sau:
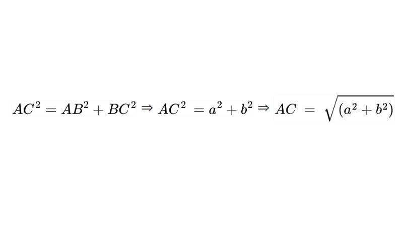
- Đường chéo của hình này có độ dài trùng với cạnh huyền thuộc tam giác có góc vuông. Vì vậy đường chéo này có độ dài là căn bậc 2 của tổng 2 cạnh bình phương.
- Hình học chữ nhật sẽ bị đường chéo chia ra làm 2 tam giác có góc vuông với diện tích như nhau. Như vậy thì đường chéo trong hình được coi như trục đối xứng trong hình học chữ nhật.
- 2 đường chéo trong hình chữ nhật luôn có độ dài như nhau và 2 đường này sẽ cắt nhau ở trung điểm từng đường và thiết lập được bốn tam giác có tính chất cân.
Độ dài đường chéo của hình chữ nhật tính theo công thức nào?
Tương tự cách tính đường chéo hình vuông ở trên, từ những tính chất đường chéo của hình học chữ nhật được đề cập ở phần trên thì chúng ta hãy dùng định lý của Pitago vào tính độ dài của đường chéo trong hình chữ nhật như sau:
Ví dụ cho hình học chữ nhật là ABCD bao gồm chiều rộng với độ dài là b, chiều dài với độ dài là a và đường chéo là AC giống hình sau:

Khi dùng định lý của Pitago vào tam giác có góc vuông là ABC thì ta có:
Như vậy ta có kích thước đường chéo của hình học chữ nhật là căn bậc 2 của tổng 2 cạnh bình phương (chiều rộng và chiều dài) trong hình học chữ nhật:

Bài tập áp dụng cách tính toán đường chéo trong hình học chữ nhật
Tương tự cách tính đường chéo hình vuông ở trên, các bạn học sinh có thể tham khảo một vài bài tập tính toán đường chéo hình chữ nhật như sau:
Bài tập 1
Hãy tìm ra độ dài của đường chéo trong hình học chữ nhật với chiều rộng là 5dm, chiều dài là 10dm.
Đáp án:
Ta gọi đường chéo có độ dài là a (điều kiện là a > 0 và đo lường bằng đơn vị là dm).
Theo định lý của Pitago thì đường chéo có độ dài là: a2 = 102 + 52. Vậy bình phương cạnh a bằng 125.
Như vậy độ dài đường chéo a bằng 5√5 dm.
Bài tập 2
Hãy tính ra độ dài của đường chéo trong hình học chữ nhật khi biết chiều rộng của hình là 5dm và chiều dài của hình là 10dm.
Đáp án:
Ta coi đường chéo trong hình trên có độ dài là a (với điều kiện là a > 0 và a có đơn vị là dm).
Chúng ta sẽ dùng định lý của Pitago để tính đường chéo như sau:
Bài tập 3
Một hình học chữ nhật có độ dài đường chéo là 13m và chiều dài của hình học chữ nhật lớn hơn độ dài chiều rộng của hình là 7m. Vậy hãy tính diện tích và chu vi của hình này.
Đáp án:
Ta gọi độ dài chiều rộng của hình là a (điều kiện là a > 0 và đơn vị là m). Suy ra ta có chiều dài bằng a + 7 (m).
Vì độ dài đường chéo trong hình trên là 13m nên ta sẽ dùng định lý của Pitago như sau:

Như vậy ta có độ dài chiều rộng là 5m cùng với chiều dài là 12m.
Suy ra ta có chu vi hình học chữ nhật bằng (5 + 12).2 = 34m và diện tích hình là 12 x 5 = 60m2.
Bài tập 4
Cho chu vi của 1 hình học chữ nhật là 28cm và 2 cạnh trong hình này hơn kém nhau khoảng 2cm. Vậy hãy tính toán độ dài đường chéo trong hình này.
Đáp án:
Ta có chiều rộng là a (với điều kiện a > 0 và đơn vị là m).
Suy ra ta có chiều dài bằng a + 2 (m).
Như vậy chu vi của hình là 28cm nên suy ra: (a + a + 2).2 = 28.
Suy ra a = 6 (điều kiện đặt ra được thỏa mãn).
Như vậy thì hình học chữ nhật có chiều rộng bằng 6m với chiều dài trong hình bằng 8m.
Gọi đường chéo của hình trên có độ dài là d thì chúng ta dùng định lý Pitago để tính toán như sau:
Bài tập 5
Cho chu vi của 1 hình học chữ nhật là 32m với diện tích của hình này là 60m2. Hãy tính toán đường chéo trong hình này có độ dài bao nhiêu?
Đáp án:
Ta có ½ chu vi của hình trên là 32/2 = 16 (m).
Ta gọi chiều rộng hình bằng a (với điều kiện 0 < a < 16 và đơn vị là m).
Như vậy chiều dài bằng 16 – a (m).
Vì diện tích hình trên là 60m2 nên suy ra:

Ta gọi đường chéo trong hình học chữ nhật này có độ dài là d thì ta có:
- a = 6 thì hình học chữ nhật có chiều rộng bằng 6m với chiều dài hình bằng 10m. Khi dùng định lý của Pitago vào trường hợp này thì ta có:
- a = 10 thì hình học chữ nhật có chiều rộng bằng 10m cùng chiều dài bằng 6m. Khi dùng định lý của Pitago vào trường hợp này thì ta có:

Nội dung bài viết đã chia sẻ về công thức tính đường chéo hình vuông và đường chéo hình chữ nhật cho mọi người tham khảo. Các bạn học sinh muốn học tốt môn toán hình thì phải nắm vững 2 công thức trên vì nó có thể giúp bạn xử lý nhiều bài tập trong quá trình học.
Tham khảo bài viết liên quan:
- Dấu hiệu nhận biết tứ giác nội tiếp và ví dụ minh hoạ
- Cách giải phương trình bậc 2 nhanh chóng nhất