
Đáp án đề thi vào lớp 10 tỉnh Hậu Giang năm học 2024-2025 (Hình từ internet)
Về vấn đề này, THƯ VIỆN PHÁP LUẬT giải đáp như sau:
Đối tượng và phương thức thi vào lớp 10 năm học 2024-2025
Đối tượng tuyển sinh là người học đã tốt nghiệp trung học cơ sở Chương trình giáo dục phổ thông hoặc Chương trình giáo dục thường xuyên có độ tuổi là 15 tuổi trừ trường hợp học vượt lớp ở cấp học trước hoặc học sinh vào cấp học ở độ tuổi cao hơn tuổi quy định.
Tuyển sinh trung học phổ thông được tổ chức theo một trong ba phương thức sau:
– Xét tuyển: dựa trên kết quả rèn luyện, học tập của 4 năm học ở trung học cơ sở của đối tượng tuyển sinh, nếu lưu ban lớp nào thì lấy kết quả năm học lại của lớp đó;
– Thi tuyển;
– Kết hợp thi tuyển với xét tuyển.
(Điều 5 Quy chế ban hành kèm theo Thông tư 11/2014/TT-BGDĐT)
Đáp án đề thi vào lớp 10 tỉnh Hậu Giang năm học 2024-2025
Dưới đây là đáp án tham khảo đề thi vào lớp 10 tỉnh Hậu Giang năm học 2024-2025:
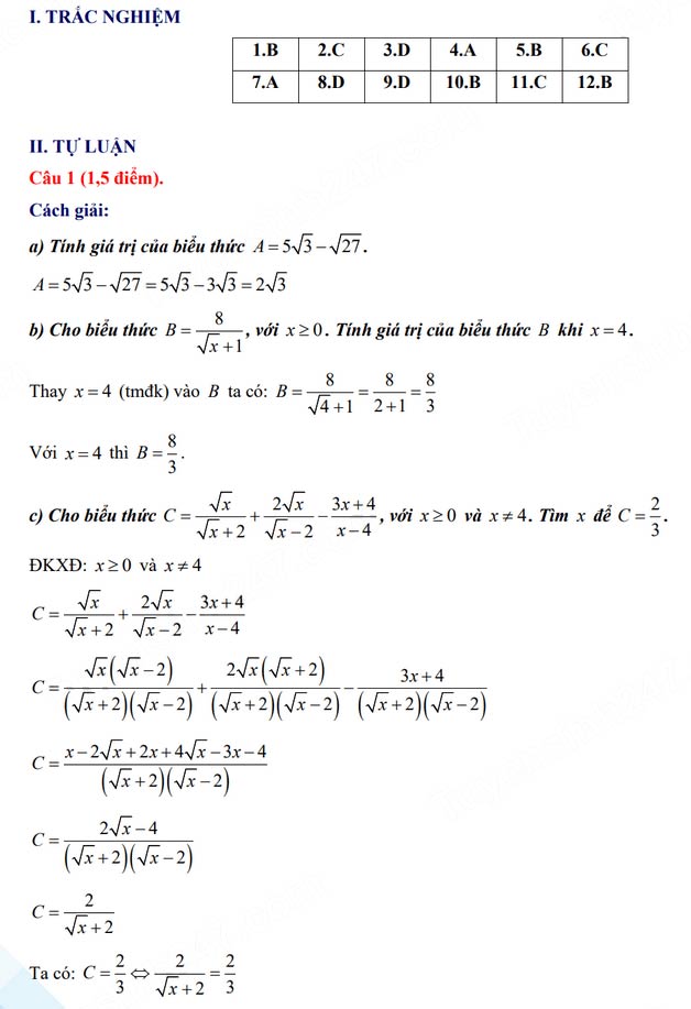
1. Môn Toán
Đề thi:
Đáp án tham khảo:



2. Môn Tiếng Anh
Đề thi:
Đáp án tham khảo:
1D
2C
3B
4A
5C
6B
7C
8B
9D
10A
11C
12C
13B
14A
15D
16B
17B
18B
19B
20D
21B
22C
23D
24C
25C
26B
27A
28A
29A
30B
31D
32C
33. AI Chatbots are being used right now.
34. Mike wishes he took part in the football match training.
35. Mr. Brown said that he was working in an office.
36. William has worked as a computer programmer for 5 years.
37. My mother used to make me clean my own room every Saturday.
38. If you change the way you learn vocabulary, you will improve your English.
39. Sophia is the most excellent student in her class.
40. It is dangerous for students to go to school by electric bikes without wearing helmets.
3. Môn Ngữ văn
Đề thi:
Đáp án tham khảo:
I. ĐỌC HIỂU
Câu 1.
Thể thơ của văn bản: thể thơ tự do
Câu 2.
Theo văn bản, người con được nói đến là: nỗi buồn, niềm vui và sợi dây hạnh phúc
Câu 3.
Tác dụng của biện pháp tu từ so sánh: “con” là “sợi đây hạnh phúc”
+ Cho thấy vị trí quan trọng của người con trong mỗi gia đình là sợi dây gắn kết thiêng liêng để cha mẹ luôn yêu thương, chở che và gắn bó bền chặt trên đường đời dài lâu nhiều sóng gió, chông gai.
+ Trong cuộc đời nhiều biển động, đôi lúc vô tình cha và mẹ dần xa nhau, nhưng nhờ có con là kết nối mà cha mẹ lại trở nên gắn kết hơn
Câu 4.
Tình cảm của người cha dành cho người con trong văn bản là tình cảm trìu mến, dạt dào và thiêng liêng.
+ Đó là tình cảm mãnh liệt và tồn tại vĩnh cửu: khi con vừa là “niềm vui”, vừa là “nỗi buồn” của cha
+ Những hình ảnh so sánh tương phản thú vị đã gián tiếp bộc lộ sự quan trọng của con đối với người cha. Rằng dù con thật nhỏ bé, nhưng lại có vị trí vô cùng to lớn trong lòng cha, không gì lay chuyển được.
+ Con còn là “sợi dây hạnh phúc” giúp cha và mẹ trở nên gắn bó, thấu hiểu hơn. Trong cuộc đời nhiều biển động, đôi lúc vô tình cha và mẹ dần xa nhau, nhưng nhờ có con là kết nối mà cha mẹ lại trở nên gắn kết hơn.
+ Sợi dây hạnh phúc nơi con dù “mảnh hơn cả sợi tóc” nhưng lại bền chặt hơn tất thảy, đưa cha mẹ về với những yêu thương ban đầu.
=> Đó là tình yêu thương lớn lao, nhưng cũng thật bình dị và đầy cảm động
II. LÀM VĂN
Câu 1.
Yêu cầu về hình thức: Đoạn văn khoảng 200 chữ, không mắc lỗi diễn đạt, dùng từ. Đảm bảo đủ 3 phần: mở bài, thân bài, kết bài.
Yêu cầu về nội dung: Làm sáng tỏ được vấn đề nghị luận: Ý nghĩa của tình yêu thương trong cuộc sống
1. Mở đoạn
Giới thiệu vấn đề: ý nghĩa của tình yêu thương trong cuộc sống.
2. Thân đoạn
a. Giải thích
– Tình yêu thương là một phẩm chất cao đẹp, là giá trị cốt lõi trong đạo đức con người. Nó là sự quan tâm, đồng cảm, chia sẻ, giúp đỡ người khác xuất phát từ trái tim chân thành.
– Tình yêu thương có ý nghĩa vô cùng quan trọng trong cuộc sống mỗi người, góp phần tạo nên một xã hội văn minh, tốt đẹp.
b. Bàn luận
Ý nghĩa của tình yêu thương.
– Giúp con người hoàn thiện nhân cách: Khi biết yêu thương người khác, con người sẽ rèn luyện được những phẩm chất tốt đẹp như lòng nhân ái, sự hy sinh, tinh thần trách nhiệm,…
+ Mang lại cho con người hạnh phúc: Khi yêu thương và được yêu thương, con người sẽ cảm thấy hạnh phúc, vui vẻ, lạc quan.
+Tạo động lực để con người phát triển: Tình yêu thương là động lực thúc đẩy con người học tập, rèn luyện, phấn đấu để trở thành người có ích cho xã hội.
+ Giúp xây dựng gia đình hạnh phúc: Khi các thành viên trong gia đình yêu thương, quan tâm, chia sẻ với nhau, gia đình sẽ trở nên gắn kết, ấm áp và tràn đầy tình yêu thương.
+ Góp phần xây dựng xã hội văn minh, tiến bộ: Khi mỗi người đều có lòng yêu thương, xã hội sẽ trở nên văn minh, tiến bộ hơn.
+ Tạo ra sự đoàn kết, thống nhất: Tình yêu thương giúp mọi người đoàn kết, đồng lòng, cùng nhau vượt qua mọi khó khăn, thử thách để xây dựng đất nước ngày càng giàu đẹp.
Học sinh tự lấy dẫn chứng phù hợp về ý nghĩa của tình yêu thương trong cuộc sống.
c. Phản đề:
Phê phán những người không quan tâm tới người thân, sống ích kỉ, không biết yêu thương những người xung quanh.
3. Kết đoạn
– Khẳng định lại ý nghĩa to lớn của tình yêu thương trong cuộc sống.
– Liên hệ bản thân: rèn luyện cho mình lòng yêu thương để bản thân, gia đình và xã hội ngày càng tốt đẹp hơn.
Câu 2.
Cách giải:
* Yêu cầu về hình thức:
– Bài viết đảm bảo cấu trúc của một bài văn gồm 3 phần:
+ Mở bài: nêu được vấn đề.
+ Thân bài: triển khai được vấn đề.
+ Kết bài: khái quát được vấn đề.
– Đảm bảo chuẩn chính tả, ngữ pháp tiếng Việt.
* Yêu cầu về nội dung:
Bài viết đảm bảo những nội dung sau đây:
1. Mở bài
– Giới thiệu tác giả, tác phẩm: “Chiếc lược ngà” của Nguyễn Quang Sáng sáng tác vào thời điểm cuộc kháng chiến chống Mĩ của dân tộc đang diễn ra quyết liệt (1966).
– Vị trí đoạn trích: Nhà văn đã miêu tả sinh động diễn biến tâm lí của bé Thu khi nhận ba, qua đó thể hiện nét tính cách rất riêng và tình cảm sâu sắc, gắn bó của cô bé đối với ba.
2. Thân bài
a. Khái quát giai đoạn trước khi nhận ra cha
– Lạnh lùng, xa lánh: Bé Thu không chịu gọi ông Sáu là “ba”, thậm chí còn tỏ ra bực bội, giận dữ khi ông Sáu cố gắng thể hiện tình cảm.
– Có những lời nói, hành động hỗn láo: Bé Thu nói hỗn với ông Sáu, dỗ dành đẩy ông ra khi ông cố gắng ôm bé.
– Bướng bỉnh, ngang ngạnh: Bé Thu nhất quyết không chịu nhận ông Sáu là cha, thậm chí còn bỏ đi khi ông Sáu cố gắng giải thích.
b. Thái độ và hành động khi nhận ra cha
– Sau khi nghe bà ngoại giải thích, bé Thu đã trở về nhà trong sáng ngày ông Sáu lên đường về đơn vị. Bé Thu đã thay đổi hoàn toàn thái độ trong sự ngỡ ngàng của ông Sáu và mọi người.
+ Nó cau có, bướng bỉnh mà buồn rầu và nghĩ ngợi sâu xa.
+ Khi bắt gặp cái nhìn trìu mến, buồn bã của ba đôi mắt nó bỗng xôn xao. Đó là cái xôn xao của – đồng cảm.
Bé Thu nhận ra những tiếc nuối, xót xa, yêu thương trong ánh mắt của ba mình.
+ Đến giây phút cuối cùng, khi ông Sáu cất lời từ biệt con bé mới cất lên tiếng gọi ba xé lòng
Tiếng gọi bị kìm nén suốt 8 năm Tiếng gọi chất chứa bao tình yêu thương thắm thiết.
+ Không chỉ vậy, nó xô đến ôm chặt lấy ba, hôn ba, hôn lên vết thẹo.
+ Chi tiết vết thẹo: chính vết thẹo khiến bé Thu không nhận ra ba, cũng chính vết thẹo đó sau khi nhận ba, bé Thu đã hôn lên nó để khẳng định rằng bé yêu ba rất nhiều.
=> Con bé muốn giữ chặt ba, không cho ba đi. Nó lo sợ ba sẽ đi mất. Nó muốn bày tỏ tất cả tình yêu của mình dành cho ba.
=> Thái độ và hành động ngỡ ngàng, xúc động và ân hận vì đã đối xử lạnh lùng với ba, sau đó bộc lộ tình cảm yêu thương sâu đậm dành cho người ba.
– Nhận xét:
+ Trong khoảnh khắc, mọi khoảng cách với ba bị xóa bỏ. Cô bé đã bộc lộ sự gắn bó và tình cảm của mình dành cho ba -> khiến mọi người xúc động.
+ Miêu tả sự biến đổi tình cảm của bé Thu, tác giả đã một lần nữa tô đậm tình yêu ba tha thiết của cô lạnh nhạt cũng như khi quấn quýt, bé Thu đều hướng đến ba mình.
+ Ta thấy một bé Thu gan góc, bướng bỉnh nhưng rất giàu tình cảm và dễ xúc động.
3. Kết bài
Đoạn trích thể hiện sức mạnh của tình yêu thương, có thể hàn gắn mọi rào cản và xóa bỏ mọi hiểu lầm. Qua đó, tác giả ca ngợi tình cảm cha con thiêng liêng, bất diệt, đồng thời lên án chiến tranh tàn khốc đã chia cắt bao gia đình.
Những đối tượng được cộng điểm ưu tiên thi vào lớp 10 năm học 2024-2025
Cụ thể tại khoản 2 Điều 7 Quy chế ban hành kèm theo Thông tư 11/2014/TT-BGDĐT (sửa đổi tại Thông tư 18/2014/TT-BGDĐT và Thông tư 05/2018/TT-BGDĐT), Sở giáo dục và đào tạo quy định mức điểm cộng thêm cho từng nhóm đối tượng được cộng điểm ưu tiên với mức chênh lệch điểm cộng thêm giữa hai nhóm đối tượng được ưu tiên kế tiếp là 0,5 điểm tính theo thang điểm 10, gồm:
* Nhóm đối tượng 1:
– Con liệt sĩ;
– Con thương binh mất sức lao động 81% trở lên;
– Con bệnh binh mất sức lao động 81% trở lên;
– Con của người được cấp “Giấy chứng nhận người hưởng chính sách như thương binh mà người được cấp Giấy chứng nhận người hưởng chính sách như thương binh bị suy giảm khả năng lao động 81% trở lên”.
– Con của người hoạt động kháng chiến bị nhiễm chất độc hóa học;
– Con của người hoạt động cách mạng trước ngày 01/01/1945;
– Con của người hoạt động cách mạng từ ngày 01/01/1945 đến ngày khởi nghĩa tháng Tám năm 1945.
* Nhóm đối tượng 2:
– Con của Anh hùng lực lượng vũ trang, con của Anh hùng lao động, con của Bà mẹ Việt Nam anh hùng;
– Con thương binh mất sức lao động dưới 81%;
– Con bệnh binh mất sức lao động dưới 81%;
– Con của người được cấp “Giấy chứng nhận người hưởng chính sách như thương binh mà người được cấp Giấy chứng nhận người hưởng chính sách như thương binh bị suy giảm khả năng lao động dưới 81%”.
* Nhóm đối tượng 3:
– Người có cha hoặc mẹ là người dân tộc thiểu số;
– Người dân tộc thiểu số;
– Người học đang sinh sống, học tập ở các vùng có Điều kiện kinh tế – xã hội đặc biệt khó khăn.
- >> Kế hoạch tuyển sinh vào lớp 10 trung học phổ thông năm học 2026-2027 tại Lai Châu
- >> Quy định về khai thác, sử dụng dữ liệu giáo dục và đào tạo từ 15/5/2026