
2. Tìm nguyên hàm của hàm số mũ, logarit
Nguyên hàm của hàm số là khi cho hàm số f(x) xác định trên K.
Hàm số F(x) chính là nguyên hàm của f(x) trên K nếu F'(x) = f(x) x ∈ K.
2.1. Sử dụng các dạng nguyên hàm cơ bản
Để giải bài toán tìm nguyên hàm hàm số mũ hay hàm logarit, chúng ta có thể sử dụng các phép biến đổi đại số. Chúng ta sẽ biến đổi biểu thức dưới dấu tích phân về dạng nguyên hàm cơ bản đã được học.
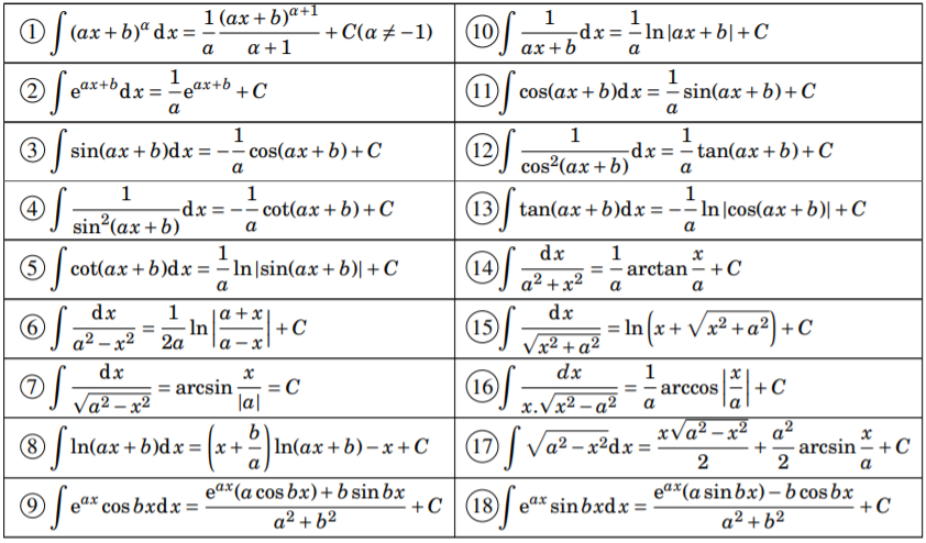
Ta có bảng nguyên hàm cơ bản là:


Bảng công thức nguyên hàm mở rộng:
Ví dụ 1: Nguyên hàm của hàm số sau là?
f(x)=$frac{1}{e^{x}-e^{-x}}$
Giải:
Ta có:
$int f(x)dx=int frac{d(e^{x})}{e^{2x-1}}=int frac{d(e^{x})}{e^{2x-1}}=frac{1}{2}lnleft | frac{e^{x}-1}{e^{x}+1} right |+C$
Ví dụ 2: Nguyên hàm hàm số: f(x)=$frac{ln(ex)}{3+xlnx}$
Giải:
2.2. Phương pháp phân tích
Các bạn học sinh được làm quen với phương pháp phân tích để tính các xác định nguyên hàm. Thực chất đây là một dạng của phương pháp hệ số bất định nhưng ta sẽ sử dụng các đồng nhất thức quen thuộc.
Chú ý: Nếu học sinh thấy khó về cách biến đổi để đưa về dạng cơ bản thì thực hiện theo hai bước sau đây:
-
Thực hiện phép đổi biến t=$e^{x}$, suy ra $dt=e^{x}dx$.
$e^{x}sqrt{e^{2x}-2e^{x}+2}dx=sqrt{t^{2}-2t+2dt}=sqrt{(t-1)^{2}+1dt}$
Lúc này: $int f(x)dx=int sqrt{(t-1)^{2}+1dt}$
-
Thực hiện phép đổi biến u=t-1, suy ra du=dt
Ví dụ 1: Nguyên hàm của hàm số f(x)=$frac{1}{1-e^{x}}$
Giải:
Ví dụ 2: Nguyên hàm của hàm số f(x)= $e^{x}sqrt{e^{2x}-2e^{x}+2}$
Giải:

Tham khảo ngay sách ôn thi THPT Quốc Gia tổng hợp kiến thức và phương pháp giải mọi dạng bài tập thi Toán THPT Quốc Gia

2.3. Phương pháp đổi biến
Phương pháp đổi biến được sử dụng cho các hàm logarit và hàm số mũ với mục đích để chuyển biểu thức dưới dấu tích phân về các dạng vô tỉ hoặc hữu tỉ. Để sử dụng được phương pháp này trong nguyên hàm của hàm mũ, chúng ta thực hiện các bước sau:
-
Chọn t = φ(x). Trong đó có φ(x) là hàm số mà ta chọn.
-
Tính vi phân dt = φ'(x)dx.
-
Biểu diễn f(x)dx = g[φ(x)] φ'(x)dx = g(t)dt.
-
Lúc này I=∫f(x)dx= ∫g(t)dt= G(t) + C.

Ví dụ 1: Tìm nguyên hàm của hàm số f(x)=$int frac{1}{xsqrt{lnx+1}}dx$
Giải:
Ví dụ 2: Nguyên hàm của hàm số: f(x)=$frac{1}{1+e^{2x}}$
Giải:

2.4. Phương pháp nguyên hàm từng phần
Trong bài toán nguyên hàm hàm số mũ, cho hàm số u và v liên tục và có đạo hàm liên tục trên $left [ a,b right ]$.
Theo nguyên hàm từng phần có:
$int udv=uv-int vdu$
Ngoài công thức chung như trên, để sử dụng phương pháp nguyên hàm từng phần chúng ta còn có thể áp dụng các dạng sau:

Chú ý: Thứ tự ưu tiên khi đặt u: “Nhất lô, nhì đa, tam lượng, tứ mũ”
Ví dụ 1: Tính nguyên hàm của hàm số: f(x)=$x.e^{2x}$
Giải:
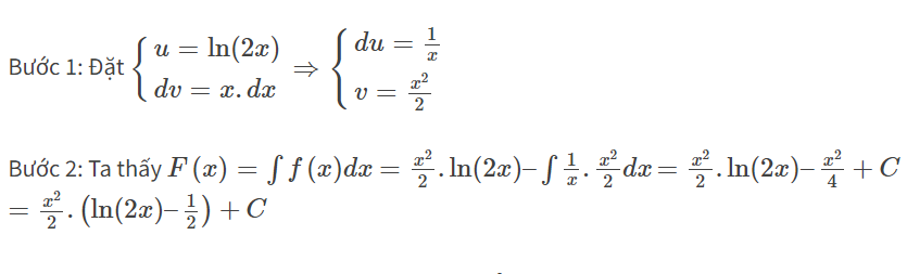
Ví dụ 2: Tính nguyên hàm của f(x)=$int xlnfrac{1-x}{1+x}dx$
Giải:

3. Một số bài tập tìm nguyên hàm của hàm số mũ và logarit (có đáp án)
Nguyên hàm hàm số mũ có rất nhiều dạng bài tập đa dạng. Cùng theo dõi những ví dụ dưới đây để hiểu bài và luyện tập nhuần nhuyễn hơn nhé!
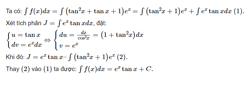
Bài tập 1: Hàm số $(tan^{2}x+tanx+1).e^{x}$ có nguyên hàm là?
Giải:
Bài tập 2: Hàm số sau: y = $5.7^{x}+x^{2}$ có nguyên hàm là?
Giải:

Bài tập 3: Tìm nguyên hàm F(x) của hàm số y =$3^{x}-5^{x}.F(0)=frac{2}{15}$
Giải:
Bài tập 4: Tìm họ nguyên hàm của hàm số y = $(2x-1)e^{3x}$
Giải:

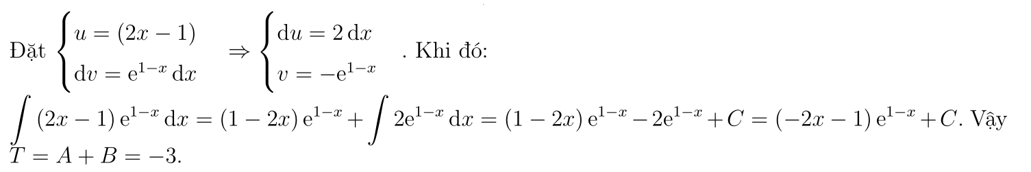
Bài tập 5: Cho F(x)= $int (2x-1)e^{1-x}dx=(Ax+B).e^{1-x}+C$. Giá trị của T=A+B là bao nhiêu?
Giải
Hy vọng rằng qua phần hệ thống các kiến thức cùng bài tập kèm lời giải trên sẽ giúp các em tiếp thu bài học dễ dàng hơn đối với bài toán nguyên hàm của hàm số mũ. Truy cập ngay nền tảng học online Vuihoc.vn để để ôn tập nhiều hơn về các dạng toán khác nhé! Chúc các bạn ôn thi thật hiệu quả.
Tham khảo thêm:
⭐Bộ Sách Thần Tốc Luyện Đề Toán – Lý – Hóa THPT Có Giải Chi Tiết
>> Xem thêm:
- Công thức nguyên hàm Inx và cách giải các dạng bà tập
- Bảng công thức tính nguyên hàm đầy đủ nhất – Toán lớp 12
- Công thức tính nguyên hàm từng phần và bài tập có đáp án
- Phương pháp tính tích phân từng phần và ví dụ minh họa