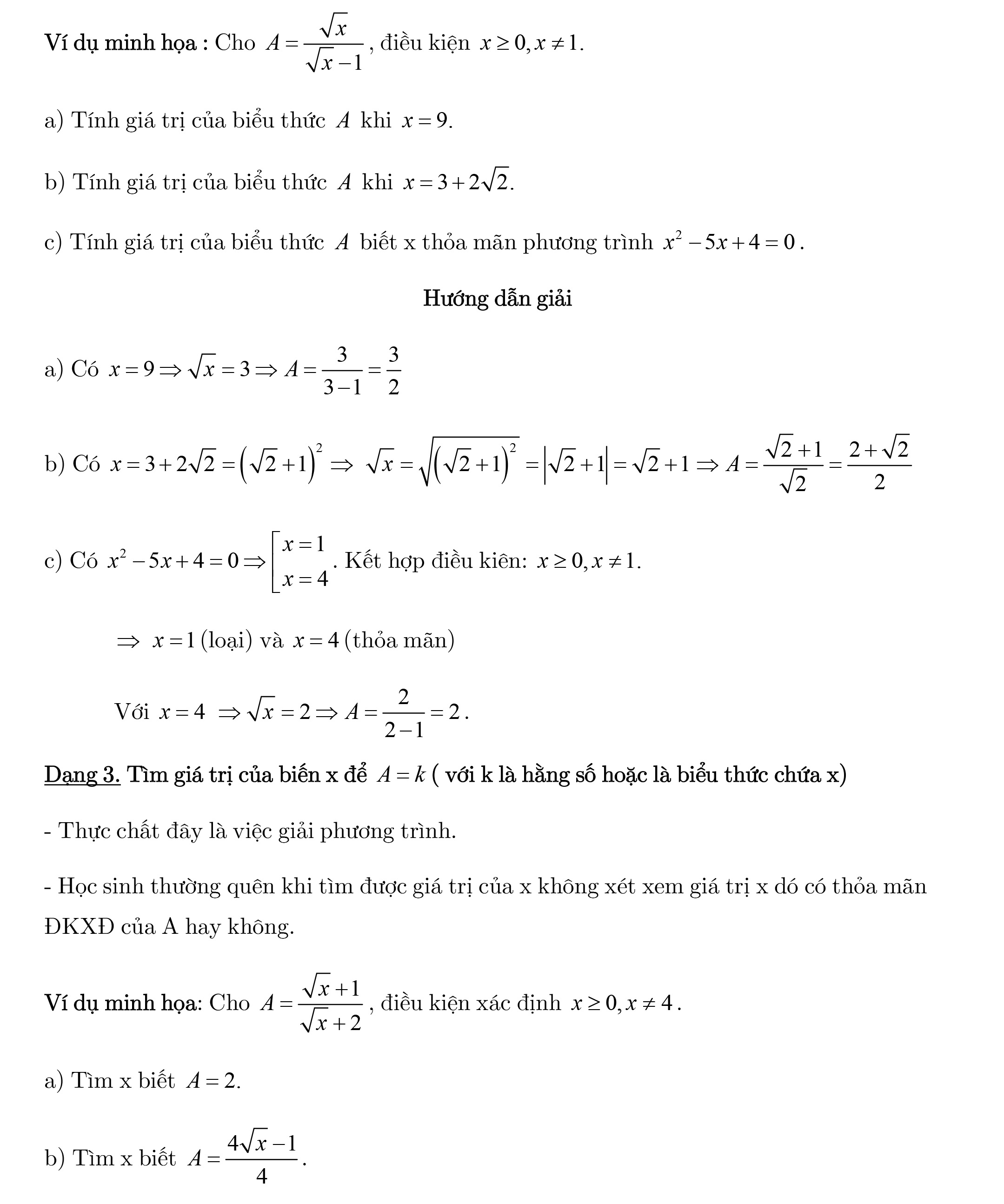
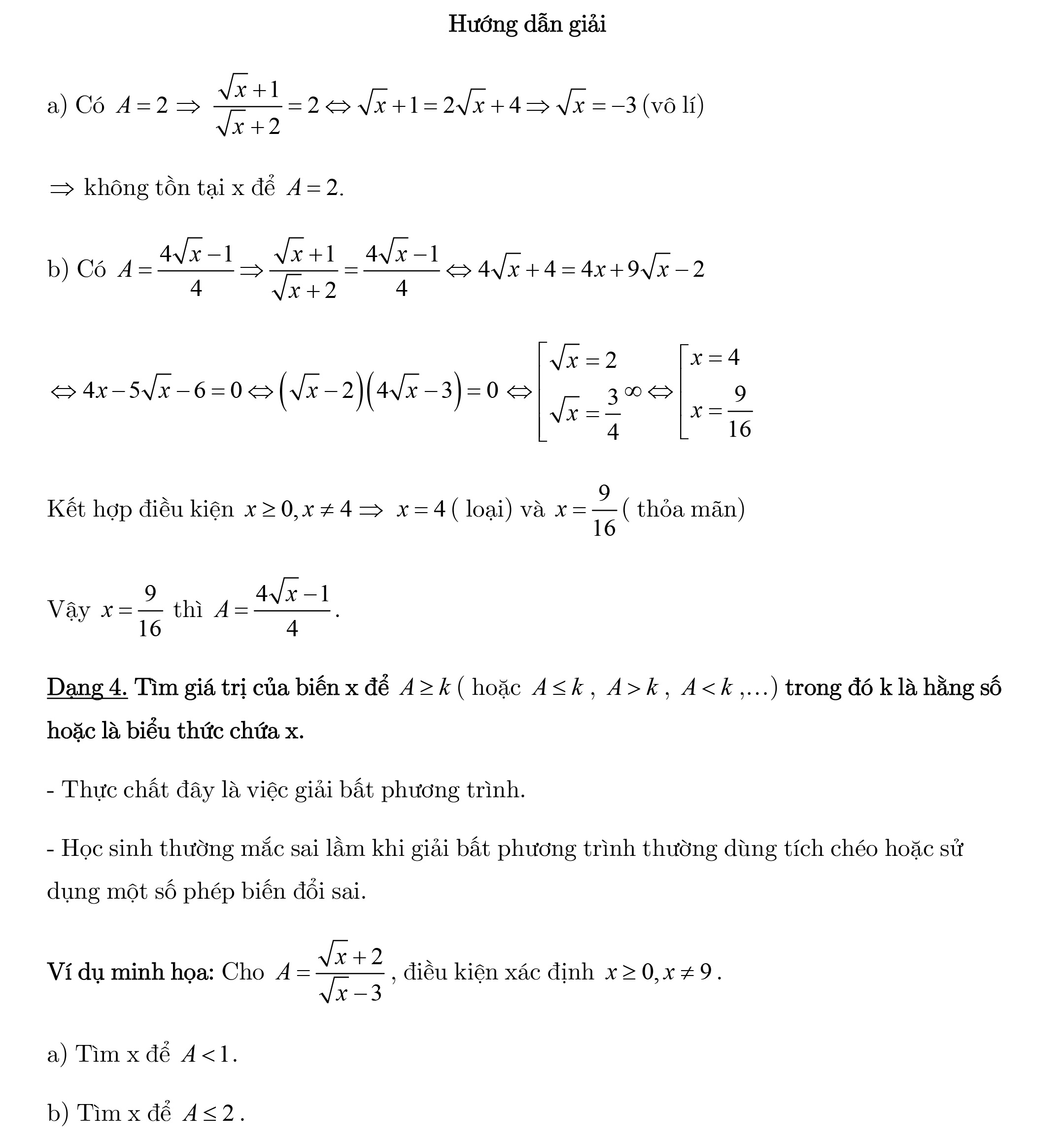
CHUYÊN ĐỀ 1: RÚT GỌN VÀ TÍNH GIÁ TRỊ CỦA BIỂU THỨC



Xem đầy đủ tại ĐÂY
CHUYÊN ĐỀ 2: GIẢI PHƯƠNG TRÌNH VÀ HỆ PHƯƠNG TRÌNH BẬC NHẤT HAI ẨN






CHUYÊN ĐỀ 3: PHƯƠNG TRÌNH BẬC HAI MỘT ẨN



Xem đầy đủ tại ĐÂY
CHUYÊN ĐỀ 4: GIẢI BÀI TOÁN BẰNG CÁCH LẬP PHƯƠNG TÌNH VÀ HỆ PHƯƠNG TRÌNH



Xem đầy đủ tại ĐÂY
GỢI Ý CÁC BỘ SÁCH ÔN THI VÀO LỚP 10 MÔN TOÁN CỰC HAY CHO HỌC SINH
CỦNG CỐ KIẾN THỨC ÔN THI VÀO LỚP 10 THPT – MÔN TOÁN
Kỳ thi vào lớp 10 đang ngày một đến gần hơn. Do đó, việc chuẩn bị trang bị kiến thức, kĩ năng và tâm lí ổn định là vô cùng quan trọng với các bạn học sinh để quá trình ôn tập và thực hiện bài thi đạt hiệu quả tốt nhất.
Với sứ mệnh hỗ trợ và đồng hành với các bạn học sinh trong quá trình ôn vào lớp 10 THPT. Củng Cố Kiến Thức Ôn Thi Vào Lớp 10 THPT với 2 môn thi chính là Toán, Ngữ Văn, Tiếng Anh đã được cho biên soạn và cho ra đời. Hầu hết nội dung của mỗi đầu sách được xây dựng đều bám sát vào chuẩn kiến thứ cũng như kĩ năng từ khung chương trình giáo dục THCS hiện nay dựa theo mức độ đánh giá năng lực học sinh cùng yêu cầu cho các phương án tổ chức cho kỳ thi vào lớp 10 của sở GD & ĐT. Kiến thức và đề thi ôn tập cho các môn thi được phân chia đầy đủ theo các mức độ: Nhận biết, thông hiểu, vận dụng thấp và vận dụng cao. Với môn Toán, cấu trúc sách bao gồm ba phần chính: + Tổng hợp và hệ thống hóa các kiến thức theo chương trình chính thức. + Một số đề thi tham khảo hay được xây dựng sát theo cấu trúc đề thi vào lớp 10 THPT được đưa ra. + Phụ lục ghi chú tựa một số đề thi chính thức.
>>> Mua ngay sách: Tại Đây
BỘ ĐỀ ÔN LUYỆN THI VÀO LỚP 10 THPT – MÔN TOÁN
- Với môn Toán, sách có cấu trúc 3 phần. Phần đầu tiên sẽ bao gồm 25 đề tự luyện tập được biên soạn tỉ mỉ và công phu với thời lượng 120 phút cho môn Toán. Hầu hết nội dung đều được bám sát với cấu trúc các bộ đề thi hằng năm từ các tỉnh thành. Bên cạnh đó là phần đáp án giúp các bạn có thể chủ động đánh giá khả năng cho bản thân mình. Cuối cùng là một số bộ đề thi chính thức được tập hợp để các bạn có thể tham khảo cùng phần đáp án gợi ý đầy đủ.
>>> Mua ngay sách: Tại Đây
BỒI DƯỠNG HỌC SINH GIỎI THCS VÀ ÔN LUYỆN THI VÀO LỚP 10 THPT CHUYÊN MÔN TOÁN
Đầu sách được biên soạn nhằm giúp các bạn học sinh có được nguồn tài liệu ôn tập, giúp củng cố kiến thức thật vững vàng cho các kỳ thi học sinh giỏi Toán THCS cũng như ôn thi vào các trường THPT và THPT Chuyên. Nội dung được phân chia qua hai phần chính:
-
Phần 1: tập hợp 14 chuyên đề hệ thống hầu hết các nội dung cơ bản của môn Toán thuộc chương THCS cũng như các vấn đề trọng điểm cho việc ôn thi. Ở mỗi chuyên đề, tác giả đều nhắc lại các khái niệm cũng như các kiến thức cơ bản mà các bạn học sinh cần nắm. Hơn hết, cuối mỗi chuyên đề còn chứa đựng các mẫu bài tập giúp các bạn có thể chủ động tăng cường rèn luyện khả năng tư duy toán học. Đồng thời, sách còn kèm theo phần hướng dẫn giải đề nhằm giúp các bạn học sinh có thể so sánh và đối chiếu với cách giải của mình.
- Phần 2: một số đề thi vào các trường THPT và THPT Chuyên được chọn lọc qua những năm gần đây.
>>> Mua ngay sách: Tại Đây
Xem nhiều sách hay hơn tại: http://bit.ly/Luyen_Thi_9_Vao_10
Hoặc truy cập tại đây để xem thêm những đầu sách mới nhất trên thị trường với giá vô cùng khuyến mãi.CÔNG TY TNHH TRỰC TUYẾN NEWSHOP – mua sách online uy tín trên toàn quốc✔️Fanpage: https://www.facebook.com/pagenewshop✔️Địa Chỉ Giao Dịch: 53/8 Vườn Lài – P.Phú Thọ Hoà – Quận Tân Phú – TP.Hồ Chí Minh✔️Hotline Đặt Hàng: 028 777 22 999 – 028 6682 5005 – 0909 354 135 – 0353 854 946✔️Email: support@newshop.vn✔️Giấy chứng nhận Đăng ký Kinh doanh số 0313713376 do Sở Kế hoạch và Đầu tư Thành phố Hồ Chí Minh cấp ngày 24/03/2016
