Tổng hợp các dạng bài tập phương trình lượng giác lớp 11 thường gặp để các bạn tham khảo.
Tham khảo thêm:
Công thức lượng giác lớp 11
Tổng hợp kiến thức toán 11
Các dạng bài tập phương trình lượng giác lớp 11
♣ Dạng số 1: Giải phương trình lượng giác cơ bản
→ Phương pháp giải: Dùng các công thức nghiệm tương ứng với mỗi pt (phương trình)
Ví dụ minh họa: Các bạn hãy giải các phương trình lượng giác sau:
a) sinx = sin(π/6).
c) tanx – 1 = 0
b) 2cosx = 1.
d) cotx = tan2x.
Lời giải chi tiết
Bài tập Giải phương trình lượng giác cơ bản
♣ Dạng số 2: Phương trình bậc nhất có một hàm lượng giác
→ Phương pháp giải: Đưa về phương trình cơ bản, ví dụ asinx + b = 0 ⇔ sinx = -b/a
Ví dụ minh họa:
Bài tập dạng Phương trình bậc nhất có một hàm lượng giác
♣ Dạng số 3: Phương trình bậc hai có một hàm lượng giác
Bài tập dạng Phương trình bậc hai có một hàm lượng giác
♣ Dạng số 4: Phương trình bậc nhất theo sinx và cosx
Xét phương trình có dạng asinx + bcosx = c (1) với a, b chính là các số thực khác 0.
Bài tập dạng Phương trình bậc nhất theo sinx và cosx
♣ Dạng số 5: Phương trình lượng giác đối xứng, phản đối xứng
Phương trình đối xứng là pt (phương trình) có dạng như sau:
a(sinx + cosx) + bsinxcosx + c = 0 (3)
Phương pháp giải chi tiết:
Để có thể giải phương trình trên chúng ta sử dụng phép đặt ẩn phụ:
Thay vào (3) ta sẽ được phương trình bậc hai theo t.
* Ngoài ra chúng ta còn gặp pt (phương trình) phản đối xứng nó có dạng như sau:
a(sinx – cosx) + bsinxcosx + c = 0 (4)
Bài tập phương trình lượng giác thường gặp lớp 11 có đáp án
♣ Bài tập phương trình lượng giác cơ bản có đáp án
Bài 1: Giải các phương trình lượng giác cơ bản sau
a) cos(3x + π) = 0
b) cos (π/2 – x) = sin2x
Bài 2: Giải các phương trình lượng giác cơ bản sau
a) sinx.cosx = 1
b) cos2 x – sin2 x + 1 = 0
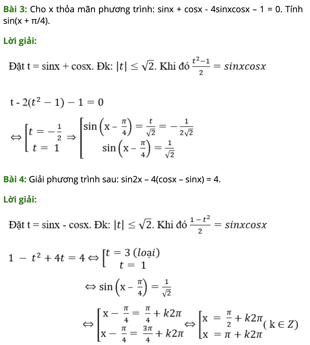
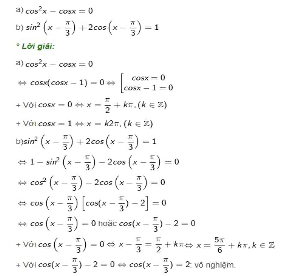
Bài 3: Giải các phương trình cơ bản sau
a) cos2 x – 3cosx + 2 = 0
b) 1/(cos2 x) – 2 = 0
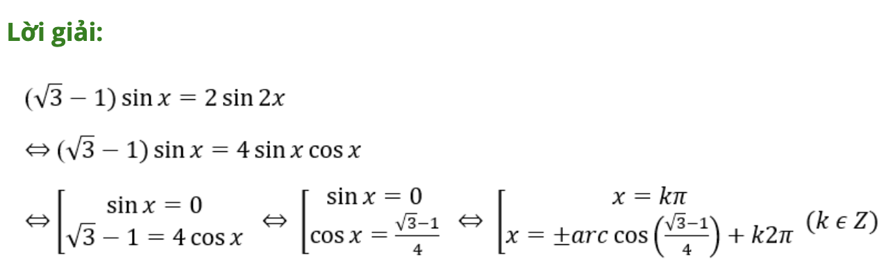
Bài 4: Giải phương trình lượng giác cơ bản sau: (√3-1)sinx = 2sin2x.
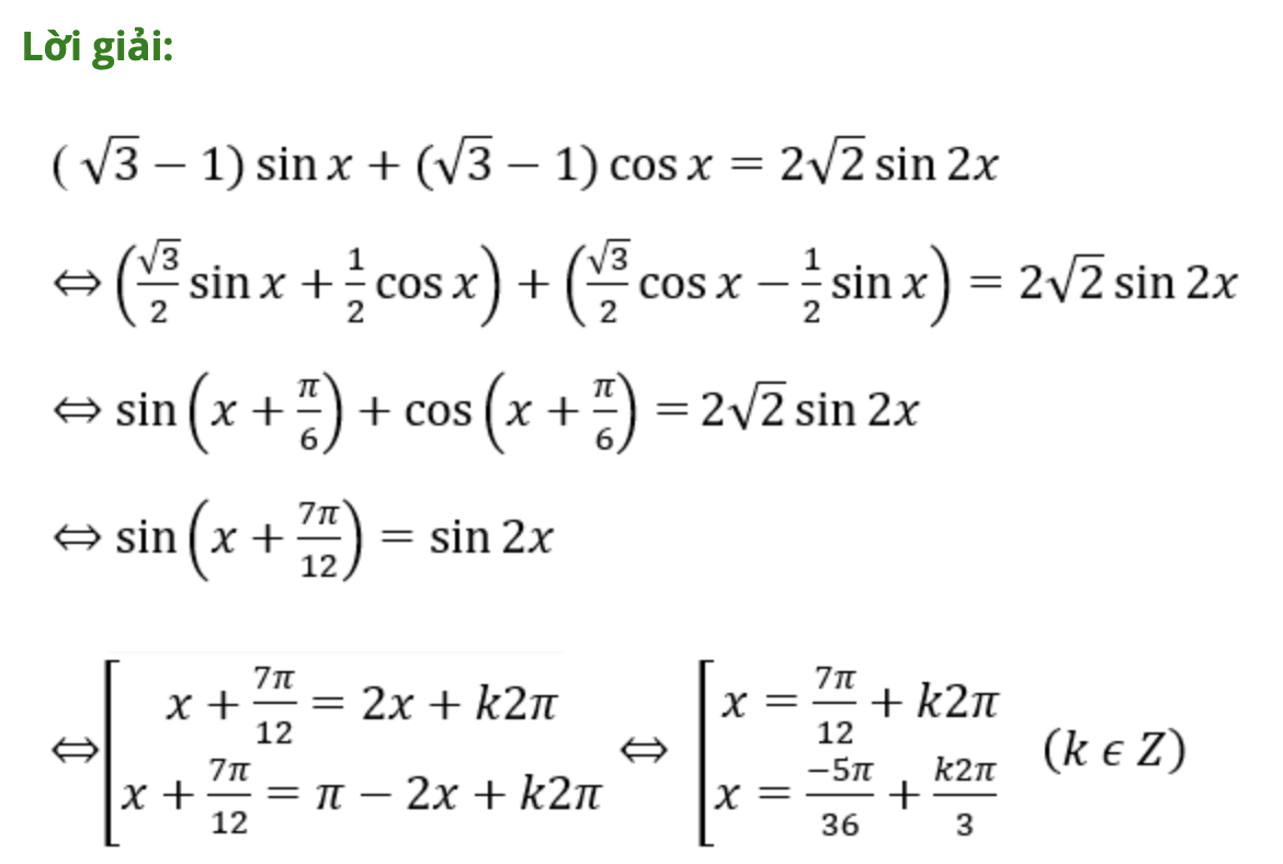
Bài 5: Giải phương trình lượng giác sau: (√3-1)sinx + (√3+1)cosx = 2√2 sin2x
♣ Bài tập phương trình bậc hai với một hàm số lượng giác có đáp án
Bài tập giải phương trình bậc hai với một hàm số lượng giác có đáp ánBài tập giải phương trình bậc hai với một hàm số lượng giác kèm đáp ánBài tập dạng phương trình bậc hai với một hàm số lượng giác có đáp án
♣ Bài tập phương trình bậc nhất theo sinx và cosx có đáp án
Bài tập phương trình bậc nhất theo sinx và cosx có đáp ánBài tập giải phương trình bậc nhất theo sinx và cosx có đáp ánBài tập giải phương trình bậc nhất theo sinx và cosx kèm đáp ánBài tập dạng giải phương trình bậc nhất theo sinx và cosx kèm đáp án
♣ Bài tập phương trình đẳng cấp bậc 2, bậc 3 lượng giác có đáp án
Bài tập phương trình đẳng cấp bậc 2, bậc 3 lượng giác có đáp ánBài tập giải phương trình đẳng cấp bậc 2, bậc 3 lượng giác có đáp ánBài tập dạng phương trình đẳng cấp bậc 2, bậc 3 lượng giác có đáp án
♣ Bài tập phương trình lượng giác đối xứng, phản đối xứng có đáp án
Bài tập phương trình lượng giác đối xứng, phản đối xứng có đáp ánBài tập giải phương trình lượng giác đối xứng, phản đối xứng có đáp ánBài tập dạng phương trình lượng giác đối xứng, phản đối xứng có đáp ánBài tập dạng phương trình lượng giác đối xứng, phản đối xứng kèm đáp án
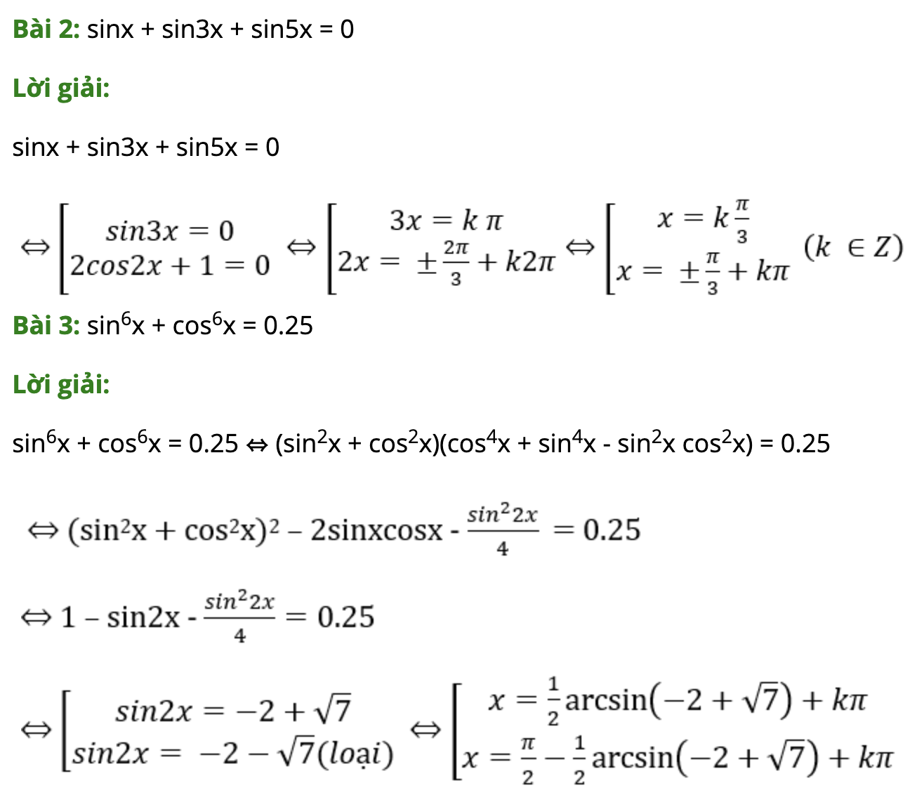
♣ Bài tập phương trình lượng giác đặc biệt có đáp án
Bài tập phương trình lượng giác đặc biệt có đáp ánBài tập giải phương trình lượng giác đặc biệt có đáp ánBài tập dạng phương trình lượng giác đặc biệt có đáp ánBài tập phương trình lượng giác đặc biệt kèm đáp án
♣ Bài tập Tìm nghiệm của phương trình lượng giác thỏa mãn điều kiện có đáp án
Bài tập Tìm nghiệm của phương trình lượng giác thỏa mãn điều kiện có đáp ánBài tập dạng Tìm nghiệm của phương trình lượng giác thỏa mãn điều kiện có đáp ánBài tập dạng Tìm nghiệm của phương trình lượng giác thỏa mãn điều kiện kèm đáp ánBài tập dạng Tìm nghiệm của phương trình lượng giác thỏa mãn điều kiện có đáp án chi tiết
Bộ bài tập hàm số lượng giác 11 để các bạn ôn luyện
Dưới đây là tổng hợp bài tập hàm số lượng giác 11 cùng với hàm số lượng giác 11 lý thuyết đi kèm để các bạn có thể dễ dàng vận dụng giải bài tập.
Bài tập hàm số lượng giác 11Bài tập lượng giác 11Bài tập phương trình lượng giác thường gặp lớp 11Các dạng bài tập phương trình lượng giác lớp 11Bài tập hàm số lượng giác 11 có đáp ánPhương trình lượng giác cơ bản lớp 11 bài tậpBài tập lượng giác lớp 11Bài tập phương trình lượng giác cơ bản lớp 11Bài tập toán hàm số lượng giác lớp 11Bài tập lượng giác lớp 11 nâng caoCác bài tập lượng giác lớp 11Các bài tập về hàm số lượng giác 11Lý thuyết phương trình lượng giác lớp 11Bài tập lượng giác 11 nâng caoBài tập lượng giác lớp 11 cơ bảnGiải các phương trình lượng giác lớp 11Bài tập hàm số lượng giác lớp 11Bài tập lượng giác lớp 11Bài tập phương trình lượng giác thường gặp 11Các dạng bài tập phương trình lượng giác 11Giải phương trình lượng giác lớp 11Giải phương trình lượng giác 11Các dạng bài tập hàm số lượng giác lớp 11Các dạng bài tập hàm số lượng giác 11Các dạng bài tập về hàm số lượng giác 11Các dạng bài tập về hàm số lượng giác lớp 11Các dạng bài tập về hàm số lượng giác toán 11Các dạng bài tập về hàm số lượng giác toán lớp 11Giải bài tập hàm số lượng giác lớp 11Giải bài tập hàm số lượng giác 11
Bài tập lượng giác toán lớp 11Bài tập lượng giác toán 11Bài tập phương trình lượng giác cơ bản toán lớp 11Bài tập toán hàm số lượng giác 11Bài tập toán hàm số lượng giác toán lớp 11Bài tập lượng giác toán lớp 11 nâng caoBài tập lượng giác môn toán lớp 11 nâng cao