Tài Liệu Học Tập
No Result
View All Result
  • Đề Thi
  • Lớp 12
    • Lịch Sử Lớp 12
    • Địa Lí Lớp 12
    • Ngữ Văn Lớp 12
    • GD KTPL Lớp 12
    • Toán Lớp 12
    • Tiếng Anh Lớp 12
    • Hóa Học Lớp 12
    • Sinh Học Lớp 12
    • Vật Lí Lớp 12
  • Lớp 11
    • Toán Lớp 11
    • Ngữ Văn Lớp 11
    • Tiếng Anh Lớp 11
    • Hóa Học Lớp 11
    • Sinh Học Lớp 11
    • Vật Lí Lớp 11
    • Lịch Sử Lớp 11
    • Địa Lí Lớp 11
    • GDCD Lớp 11
  • Lớp 10
    • Toán Lớp 10
    • Ngữ Văn Lớp 10
    • Tiếng Anh Lớp 10
    • Hóa Học Lớp 10
    • Sinh Học Lớp 10
    • Vật Lí Lớp 10
    • Lịch Sử Lớp 10
    • Địa Lí Lớp 10
    • GDKTPL Lớp 10
    • Công nghệ lớp 10
    • Tin Học Lớp 10
  • Lớp 9
    • Toán Lớp 9
    • Ngữ Văn Lớp 9
    • Tiếng Anh Lớp 9
    • Lịch sử và địa lý lớp 9
    • Khoa Học Tự Nhiên Lớp 9
    • GDCD Lớp 9
  • Lớp 8
    • Toán Lớp 8
    • Ngữ Văn Lớp 8
    • Tiếng Anh Lớp 8
    • Lịch sử và địa lý lớp 8
    • Khoa Học Tự Nhiên Lớp 8
    • GDCD 8
  • Lớp 7
    • Toán Lớp 7
    • Văn Lớp 7
    • Tiếng Anh Lớp 7
    • Lịch Sử Và Địa Lí Lớp 7
    • Khoa Học Tự Nhiên Lớp 7
  • Lớp 6
    • Toán Lớp 6
    • Văn Lớp 6
    • Tiếng Anh lớp 6
    • Lịch Sử và Địa Lí Lớp 6
    • Khoa Học Tự Nhiên lớp 6
  • Lớp 5
    • Toán lớp 5
    • Tiếng Việt Lớp 5
    • Tiếng Anh Lớp 5
    • Lịch Sử và Địa Lí Lớp 5
  • Lớp 4
    • Toán lớp 4
    • Tiếng Việt Lớp 4
    • Tiếng Anh Lớp 4
    • Lịch Sử và Địa Lí Lớp 4
  • Lớp 3
    • Toán lớp 3
    • Tiếng Anh Lớp 3
    • Tiếng Việt Lớp 3
  • Mẹo Hay
  • Tin tức
  • Liên Hệ
Tài Liệu Học Tập
No Result
View All Result
Home Toán tổng hợp

Tổng hợp công thức tính lũy thừa đầy đủ và chi tiết nhất

by Tranducdoan
22/02/2026
in Toán tổng hợp
0
Đánh giá bài viết

Lũy thừa là một khái niệm cơ bản nhưng lại có vai trò quan trọng trong nhiều lĩnh vực của toán học. Từ số học đến đại số, từ hình học đến hàm số lượng giác, lũy thừa đều góp mặt và trở thành một thách thức cho học sinh. Nhằm giúp các em nắm rõ các kiến thức lũy thừa và vận dụng giải bài tập hiệu quả, Trường Việt Anh sẽ tổng hợp các công thức lũy thừa chi tiết và đầy đủ nhất để học sinh dễ dàng ghi nhớ và áp dụng.

Mục Lục Bài Viết

  1. Định nghĩa lũy thừa
    1. Khái niệm
    2. Các loại luỹ thừa phát triển từ công thức lũy thừa cơ bản
    3. Tính chất của luỹ thừa
  2. Tổng hợp công thức lũy thừa toán 12
  3. Các dạng bài tập áp dụng công thức lũy thừa
    1. Tính giá trị biểu thức
    2. Rút gọn biểu thức
    3. Giải phương trình chứa lũy thừa
    4. Chứng minh đẳng thức

Định nghĩa lũy thừa

Trước khi tìm hiểu các công thức của lũy thừa, các em cần ôn lại kiến thức lũy thừa là gì, chúng có tính chất và phân loại như thế nào.

Khái niệm

Theo lý thuyết lũy thừa, lũy thừa là một phép toán hai ngôi trong toán học, được thực hiện trên hai số a và n. Kết quả của phép toán này là tích của n thừa số a nhân với nhau.

Ký hiệu lũy thừa được biểu diễn dưới dạng ( a^n ).

Định nghĩa lũy thừa

Các loại luỹ thừa phát triển từ công thức lũy thừa cơ bản

Có 3 dạng lũy thừa phát triển từ các công thức mũ lũy thừa cơ bản. Bao gồm:

Dạng 1: Lũy thừa số mũ nguyên

Giả sử n là một số nguyên dương và a là một số thực bất kỳ. Lũy thừa bậc n của a là tích của n với thừa số a. Định nghĩa này tương đồng với khái niệm tổng quát, được thể hiện như sau:

Lũy thừa số mũ nguyên

Dạng 2: Lũy thừa số mũ hữu tỉ

Lũy thừa số mũ hữu tỉ

Dạng 3: Lũy thừa số mũ vô tỉ

Cho (a>0) và (alphainmathbb{R}) là một số vô tỉ, khi đó ( a^{alpha} = overset{lim}{underset{n to +infty}{rule{1.5cm}{0.4pt}}} ; a^{,r_n} ) với ({r_n}) là dãy số hữu tỉ thỏa mãn (lim_{nto +infty} r_n=alpha).

Tính chất của lũy thừa số mũ thực

  1. (a^{x}cdot a^{y}=a^{,x+y})
  2. (a^{x}:a^{y}=a^{,x-y})
  3. ((a^x)^y = a^{xy})
  4. ((ab)^{x}=a^{x}b^{x})
  5. (left(frac{a}{b}right)^{x}=frac{a^{x}}{b^{x}})
  6. (a^{x}>0, forall xinmathbb{R})
  7. (a^{x}=a^{y} Leftrightarrow x=y (aneq 1))
  8. Với (a>1) thì (a^{x}>a^{y} Leftrightarrow x>y); với (0<a<1) thì (a^{x}>a^{y} Leftrightarrow x<y).
  9. Với (0<a<b): nếu (m) là số nguyên dương thì (a^{m}<b^{m}); nếu (m) là số nguyên âm thì (a^{m}>b^{m}).

Tính chất của luỹ thừa

Ta có thể xét lũy thừa theo ba tính chất sau đây:

Tính chất của luỹ thừa: Tính chất đẳng thức

Tính chất của luỹ thừa: Tính chất bất đẳng thức

Tổng hợp công thức lũy thừa toán 12

Dưới đây là bảng công thức từ căn bản đến các trường hợp đặc biệt mà các em học sinh cần nắm rõ:

Tổng hợp các công thức lũy thừa toán 12 công thức Lũy thừa số e công thức Lũy thừa số mũ thực

Có thể bạn quan tâm:

  • Tổng hợp các định lý toán học (THCS- THPT) cần biết
  • Ký hiệu trong toán học và ý nghĩa các ký hiệu trong toán học

Các dạng bài tập áp dụng công thức lũy thừa

Để hiểu hơn các công thức toán 12 về lũy thừa, các em có thể tham khảo một số dạng bài tập kèm lời giải chi tiết sau:

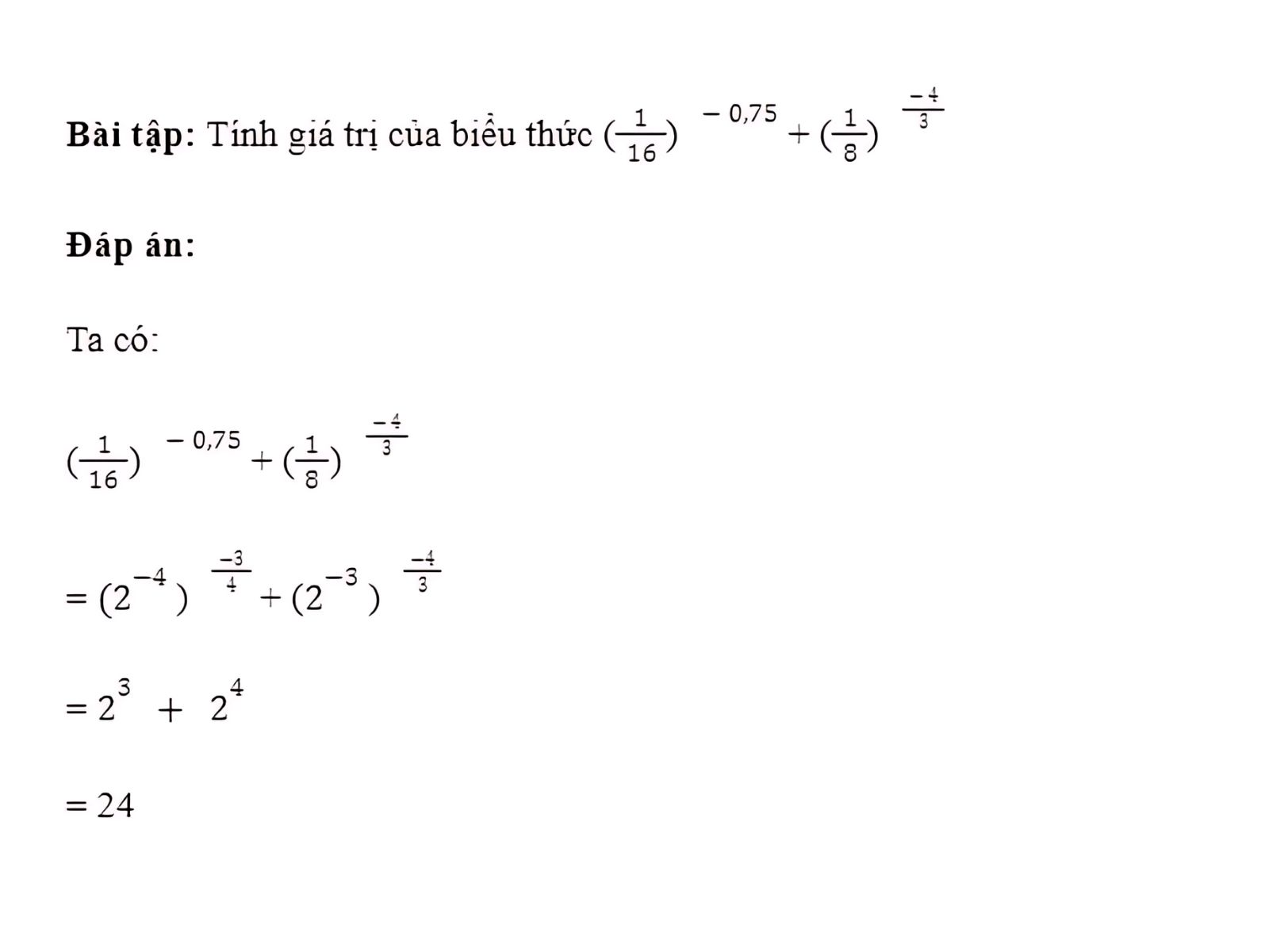
Tính giá trị biểu thức

Tính giá trị biểu thức

Rút gọn biểu thức

Bài tập Rút gọn biểu thức luỹ thừa

Giải phương trình chứa lũy thừa

Cách Giải phương trình chứa lũy thừa

Hướng dẫn Giải phương trình chứa lũy thừa

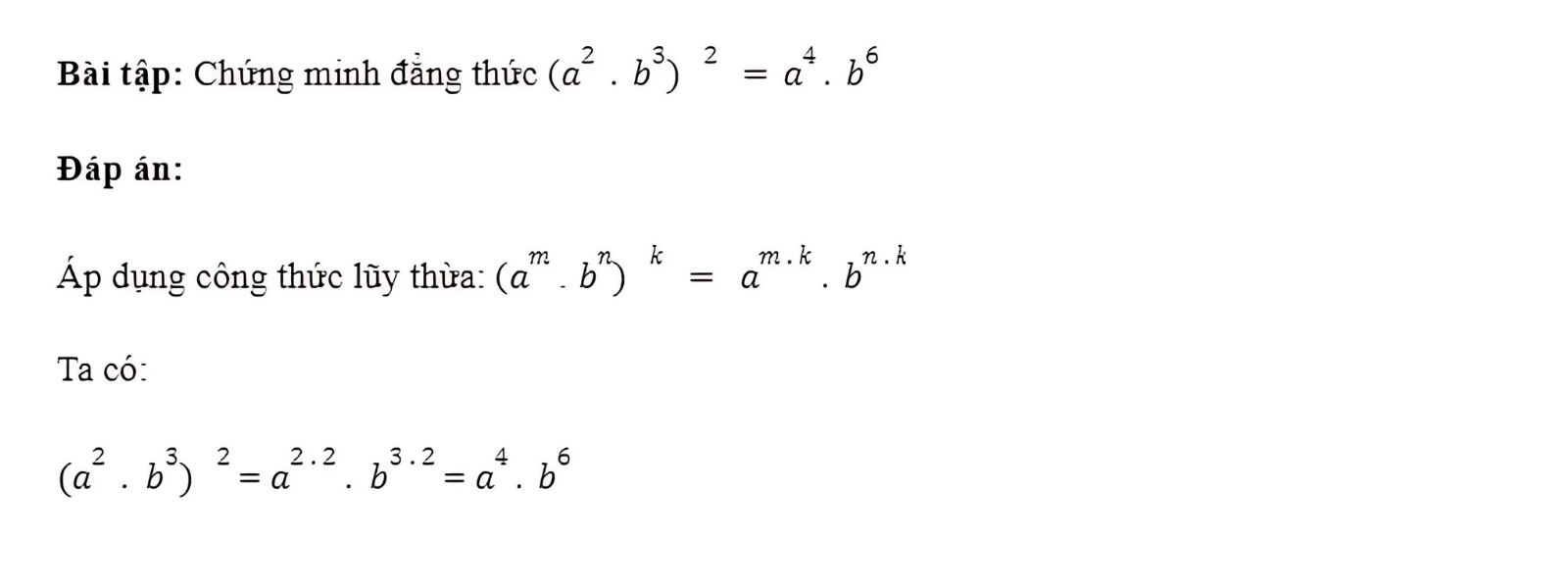
Chứng minh đẳng thức

Bài tập Chứng minh đẳng thức trong luỹ thừa

Lũy thừa là một kiến thức nền tảng trong toán học, đóng vai trò quan trọng trong việc giải quyết nhiều bài toán thực tế. Việc nắm vững các công thức và áp dụng thành thạo chúng sẽ giúp các em tự tin hơn trong quá trình học tập. Qua bài viết này, hy vọng các em học sinh đã có một cái nhìn tổng quan về các công thức lũy thừa và cách vận dụng hiệu quả.

Để việc học toán trở nên dễ dàng và thú vị hơn, ngoài cách học giỏi toán hiệu quả việc có một môi trường học tập hiện đại và đội ngũ giáo viên giàu kinh nghiệm là yếu tố không thể thiếu. Hiểu được điều này, Trường Việt Anh – một trong các trường tư thục uy tín tại TPHCM không ngừng nỗ lực tạo nên môi trường học tập lý tưởng cho các tài năng trẻ. Không chỉ sở hữu cơ sở vật chất hiện đại hàng đầu TP.HCM, đội ngũ giáo viên nhiều năm kinh nghiệm trong nghề, Trường Việt Anh còn đầu tư các chương trình đào tạo chuẩn quốc tế. Chúng tôi tự tin là nơi giúp các em trang bị kỹ năng và kiến thức toàn diện, sẵn sàng chinh phục mọi đỉnh cao tri thức.

Hãy liên hệ Trường Việt Anh ngay hôm nay để nhận tư vấn chi tiết:

  • Hotline: 0916.961.409
  • Website: https://truongvietanh.com/
Previous Post

Nguồn nước cho các đảo: Cần một chiến lược bảo đảm

Next Post

Giống thuần chủng

Tranducdoan

Tranducdoan

Trần Đức Đoàn sinh năm 1999, anh chàng đẹp trai đến từ Thái Bình. Hiện đang theo học và làm việc tại trường cao đẳng FPT Polytechnic

Next Post

Giống thuần chủng

thời tiết miền bắc đọc sách online cm88 Socolive trực tiếp https://p789bet.biz/ cm88 com 789bet ww88 sumclub https://theaquaverse.io/17
Tài Liệu Học Tập

Copyright © 2022 Tài Liệu Học Tập.

Chuyên Mục

  • Đề Thi
  • Lớp 12
  • Lớp 11
  • Lớp 10
  • Lớp 9
  • Lớp 8
  • Lớp 7
  • Lớp 6
  • Lớp 5
  • Lớp 4
  • Lớp 3
  • Mẹo Hay
  • Tin tức
  • Liên Hệ

Tham Gia Group Tài Liệu Học Tập

No Result
View All Result
  • Đề Thi
  • Lớp 12
    • Lịch Sử Lớp 12
    • Địa Lí Lớp 12
    • Ngữ Văn Lớp 12
    • GD KTPL Lớp 12
    • Toán Lớp 12
    • Tiếng Anh Lớp 12
    • Hóa Học Lớp 12
    • Sinh Học Lớp 12
    • Vật Lí Lớp 12
  • Lớp 11
    • Toán Lớp 11
    • Ngữ Văn Lớp 11
    • Tiếng Anh Lớp 11
    • Hóa Học Lớp 11
    • Sinh Học Lớp 11
    • Vật Lí Lớp 11
    • Lịch Sử Lớp 11
    • Địa Lí Lớp 11
    • GDCD Lớp 11
  • Lớp 10
    • Toán Lớp 10
    • Ngữ Văn Lớp 10
    • Tiếng Anh Lớp 10
    • Hóa Học Lớp 10
    • Sinh Học Lớp 10
    • Vật Lí Lớp 10
    • Lịch Sử Lớp 10
    • Địa Lí Lớp 10
    • GDKTPL Lớp 10
    • Công nghệ lớp 10
    • Tin Học Lớp 10
  • Lớp 9
    • Toán Lớp 9
    • Ngữ Văn Lớp 9
    • Tiếng Anh Lớp 9
    • Lịch sử và địa lý lớp 9
    • Khoa Học Tự Nhiên Lớp 9
    • GDCD Lớp 9
  • Lớp 8
    • Toán Lớp 8
    • Ngữ Văn Lớp 8
    • Tiếng Anh Lớp 8
    • Lịch sử và địa lý lớp 8
    • Khoa Học Tự Nhiên Lớp 8
    • GDCD 8
  • Lớp 7
    • Toán Lớp 7
    • Văn Lớp 7
    • Tiếng Anh Lớp 7
    • Lịch Sử Và Địa Lí Lớp 7
    • Khoa Học Tự Nhiên Lớp 7
  • Lớp 6
    • Toán Lớp 6
    • Văn Lớp 6
    • Tiếng Anh lớp 6
    • Lịch Sử và Địa Lí Lớp 6
    • Khoa Học Tự Nhiên lớp 6
  • Lớp 5
    • Toán lớp 5
    • Tiếng Việt Lớp 5
    • Tiếng Anh Lớp 5
    • Lịch Sử và Địa Lí Lớp 5
  • Lớp 4
    • Toán lớp 4
    • Tiếng Việt Lớp 4
    • Tiếng Anh Lớp 4
    • Lịch Sử và Địa Lí Lớp 4
  • Lớp 3
    • Toán lớp 3
    • Tiếng Anh Lớp 3
    • Tiếng Việt Lớp 3
  • Mẹo Hay
  • Tin tức
  • Liên Hệ

Copyright © 2022 Tài Liệu Học Tập.