Giải hệ bất phương trình một ẩn, bậc nhất hai ẩn là chủ đề quan trọng trong toán học, xuất hiện nhiều trong chương trình học phổ thông và các kỳ thi. Hiểu rõ lý thuyết và nắm vững cách giải các dạng bài tập này không chỉ giúp bạn làm tốt các bài kiểm tra, mà còn rèn luyện tư duy logic và khả năng phân tích. Cùng tìm hiểu lý thuyết cơ bản, cách tìm tập nghiệm và bài tập minh họa cụ thể.
Các dạng bất phương trình
Có nhiều dạng khác nhau, phụ thuộc vào cấp độ và số lượng ẩn số trong bài toán. Dưới đây là các dạng cơ bản mà bạn rất hay gặp trong chương trình giáo dục THPT:
Bất phương trình một ẩn
Nó chỉ liên quan đến một biến số (thường ký hiệu là x) và có dạng tổng quát: f(x)>g(x), f(x)
Ví dụ 1 : 2x+3>7.
- Lời giải: 2x>4⇒x>2.
- S=(2;+∞).
Cách giải bất phương trình này, bạn thực hiện các phép biến đổi tương tự như phương trình, chú ý giữ nguyên chiều bất đẳng thức khi cộng, trừ hoặc nhân, chia với số dương. Tuy nhiên, khi nhân hoặc chia với số âm, chiều bất đẳng thức sẽ đảo ngược.
Ví dụ 2: 3x+4>10.
- Lời giải: Giải như phương trình thông thường:3x>6⇒x>2.
- Tập nghiệm là S=(2;+∞).

Ví dụ 3: Giải bài toán sau: −4x+8≤0.
- Lời giải: −4x+8≤0⇒−4x≤−8⇒x≥2.
- Tập nghiệm: S=[2;+∞).S = [2; +infty).S=[2;+∞). (Lưu ý: Chia cả hai vế cho −4).
Đối với bài toán chứa căn hoặc mẫu, cần xác định điều kiện để biểu thức có nghĩa trước khi giải. Sau khi tìm tập nghiệm, hãy thay một số giá trị bất kỳ trong tập nghiệm vào bất phương trình ban đầu để kiểm tra tính chính xác.
Bạn có thể truy cập vào các website chuyên về toán học. Giờ đây chỉ với chiếc smartphone là bạn rất dễ để học mọi thứ. Mua ngay dòng điện thoại dưới đây bởi chúng đang có giá “hời” phục vụ giáo dục:
[Product_Listing categoryid=”606″ propertyid=”” customlink=”https://cellphones.com.vn/mobile/realme.html” title=”Các dòng điện thoại Realme đang được quan tâm nhiều tại CellphoneS”]
Bất phương trình bậc nhất một ẩn
Bất phương trình bậc nhất một ẩn có dạng: ax+b>0 (hoặc <, ≥, ≤). Trong đó, a và b là các hằng số, a≠0. Cách giải rất đơn giản: Chuyển b sang vế phải, sau đó chia cả hai vế cho a (nhớ đảo chiều nếu a<0).
Ví dụ: −3x+5≤8.
- Lời giải: −3x≤3⇒x≥−1.
- Tập nghiệm: S=[−1;+∞).
Ví dụ minh họa: 5x−7≤8.
- Lời giải: 5x≤15⇒x≤3.
- Tập nghiệm: S=(−∞;3].

Bất phương trình bậc nhất một ẩn là dạng đơn giản nhất nhưng đóng vai trò nền tảng trong việc học các dạng toán phức tạp hơn. Khi giải dạng này, cần lưu ý các điểm sau để đảm bảo tính chính xác và tránh sai sót:
- Khi bạn nhân hoặc chia hai vế của bất phương trình với một số âm, phải đảo chiều. Đây là quy tắc quan trọng mà nhiều học sinh dễ quên.
- Nếu bất phương trình chứa các biểu thức như căn hoặc mẫu số, cần đảm bảo rằng chúng xác định trước khi giải. Với mẫu số: Mẫu phải khác 0; Với căn bậc hai: Biểu thức dưới căn phải không âm.
- Khi chuyển các hạng tử từ vế này sang vế kia, cần chú ý đổi dấu chính xác để tránh sai sót. Đồng thời, các bước rút gọn nên được thực hiện cẩn thận, đặc biệt khi có dấu âm hoặc hệ số lẻ.
Bất phương trình bậc hai một ẩn
Dạng tổng quát của bất phương trình bậc hai là: ax2+bx+c>0 (hoặc <, ≥, ≤). Để giải, bạn cần phân tích và xét dấu của biểu thức bậc hai bằng cách:
- Tìm nghiệm của phương trình ax2+bx+c=0.
- Lập bảng xét dấu dựa trên các nghiệm và hệ số a.
Ví dụ: x2−3x+2>0. Lời giải: Giải phương trình x2−3x+2=0, ta được x=1 và x=2. Bảng xét dấu:
- Khi x<1, x2−3x+2>0.
- Khi 1×2−3x+2<0.
- Khi x>2, x2−3x+2>0. Tập nghiệm: S=(−∞;1)∪(2;+∞).

Tập nghiệm của bất phương trình
Chúng có thể được hiểu là tập hợp những giá trị của biến thỏa mãn điều kiện mà bất phương trình đưa ra. Tập nghiệm thường được biểu diễn trên trục số hoặc viết dưới dạng khoảng, nửa khoảng hoặc tập hợp các điểm.
Ví dụ, với bất phương trình 2x−5>1, ta có tập nghiệm là S=(3;+∞). Để xác định tập nghiệm chính xác, bạn cần nắm vững:
- Quy tắc chuyển vế.
- Quy tắc khi thực hiện nhân hoặc chia bất phương trình cần đặc biệt lưu ý, nhất là khi thao tác với số âm, nhằm tránh sai lầm.
- Phương pháp lập bảng xét dấu đóng vai trò quan trọng trong việc giải quyết các bất phương trình phức tạp.

Các dạng toán bất phương trình thường gặp và cách giải
Trong các bài toán thực tế, bất phương trình thường được lồng ghép vào những tình huống đa dạng, từ đơn giản đến phức tạp. Hãy nắm vững dạng này để dễ dàng xử lý các bài toán phức tạp hơn trong chương trình học:
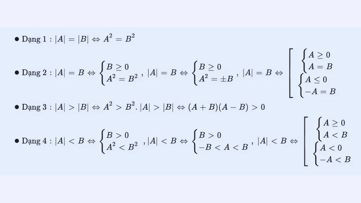
Dạng bất phương trình chứa dấu giá trị tuyệt đối
Dạng này có biểu thức chứa ∣f(x)∣ và thường có hai trường hợp xảy ra:
- f(x)≥0, ta giữ nguyên ∣f(x)∣=f(x).
- f(x)<0, ta chuyển thành ∣f(x)∣=−f(x).
Ví dụ: ∣x−2∣>3. Lời giải: Ta có hai trường hợp:
- x−2>3⇒x>5.
- x−2<−3⇒x<−1.
Tập nghiệm: S=(−∞;−1)∪(5;+∞).
Ví dụ: ∣2x−3∣<5. Lời giải: Xét hai trường hợp:
- 2x−3<5⇒2x<8⇒x<4.
- 2x−3>−5⇒2x>−2⇒x>−1.
Kết hợp hai điều kiện: S=(−1;4).

Dạng bất phương trình chứa căn
Bài toán dạng căn có thêm điều kiện xác định, đòi hỏi bạn kiểm tra miền giá trị của biểu thức trước khi giải. Bỏ qua điều kiện xác định có thể dẫn đến sai lầm khi đưa ra tập nghiệm:
- Nếu bất phương trình có nhiều căn, bạn có thể đặt ẩn phụ hoặc xét từng căn riêng lẻ trước khi kết hợp kết quả cuối cùng.
- Luôn kiểm tra lại tập nghiệm bằng cách thay một số giá trị trong tập nghiệm vào bất phương trình ban đầu để đảm bảo không có sai sót.

Dạng bất phương trình chứa tham số
Dạng này xuất hiện nhiều trong các kỳ thi, yêu cầu tìm điều kiện của tham số để có nghiệm thỏa mãn:
Ví dụ 1: mx+2≥0 (với m là tham số): Bạn cần phân tích từng trường hợp của m:
- Nếu m>0, bất phương trình có nghiệm với mọi x≥−2/m.
- Nếu m=0, bất phương trình trở thành 2≥0 luôn đúng.
- Nếu m<0, tập nghiệm thay đổi phụ thuộc giá trị cụ thể của m.
Ví dụ 2: Tìm điều kiện của m để bất phương trình mx+2>0 có nghiệm x>1.
- Lời giải: mx+2>0⇒x>−2/m.
- Điều kiện để có nghiệm x>1: −2/m<1⇒−2−2.
- Kết luận: Nghiệm x>1 khi m>−2.

Giá trị của m ảnh hưởng đến nghiệm của bất phương trình. Cần chú ý từng trường hợp m>0, m=0, và m<0. Với bất phương trình bậc hai hoặc bậc cao, bảng xét dấu giúp phân tích mối quan hệ giữa m và nghiệm dễ dàng hơn.
Bài tập trắc nghiệm về bất phương trình có đáp án
Dưới đây là một số bài tập thực hành giúp bạn nâng cao khả năng và củng cố kiến thức: Hãy kiên trì học tập để nắm vững và áp dụng thành thạo nhé!
Bài tập 1: Giải bất phương trình 3x−7>2x+1.
- A. x>8..
- B. x<8.
- C. x>6.
- D. x<6.
Đáp án: A. Lời giải: 3x−7>2x+1⇒x>8.
Bài tập 2: Tìm tập nghiệm của bất phương trình x2−4x+3≤0.
- A. [1;3].
- B. (1;3).
- C. (−1;3).
- D. [1;+∞)..
Đáp án: A. Lời giải: Phân tích x2−4x+3=0⇒x=1, x=3. Bảng xét dấu: x2−4x+3≤0 trên đoạn [1;3].

Bài tập 3: Giải bất phương trình ∣x−2∣>3..
- A. x∈(−1;5).
- B. x∈(−∞;−1)∪(5;+∞).
- C. x∈[−1;5].
- D. x∈[1;4].
Lời giải: Xét hai trường hợp:
- x−2>3⇒x>5.
- x−2<−3⇒x<−1. Tập nghiệm: x∈(−∞;−1)∪(5;+∞).
Đáp án: B.
Bài tập 4: Giải bất phương trình: 2x−5>x+1.2x – 5 > x + 1.2x−5>x+1.
- A. x>6.
- B. x<6.
- C. x>4.
- D. x<4.
Đáp án: C. Lời giải: 2x−5>x+1⇒x>4. Tập nghiệm: S=(4;+∞).
Giải hệ bất phương trình một ẩn, bậc nhất hai ẩn là chủ đề quan trọng, không chỉ giúp rèn luyện tư duy mà còn ứng dụng rộng rãi trong toán học và thực tế. Việc nắm vững lý thuyết, các dạng bài và cách giải sẽ giúp bạn tự tin xử lý mọi bài tập. Đây là dạng toán đòi hỏi sự kiên nhẫn, vì vậy hãy duy trì việc luyện tập hàng ngày nhé!
Xem thêm bài viết trong chuyên mục: Góc Học & Dạy 4.0