Tài Liệu Học Tập
No Result
View All Result
  • Đề Thi
  • Lớp 12
    • Lịch Sử Lớp 12
    • Địa Lí Lớp 12
    • Ngữ Văn Lớp 12
    • GD KTPL Lớp 12
    • Toán Lớp 12
    • Tiếng Anh Lớp 12
    • Hóa Học Lớp 12
    • Sinh Học Lớp 12
    • Vật Lí Lớp 12
  • Lớp 11
    • Toán Lớp 11
    • Ngữ Văn Lớp 11
    • Tiếng Anh Lớp 11
    • Hóa Học Lớp 11
    • Sinh Học Lớp 11
    • Vật Lí Lớp 11
    • Lịch Sử Lớp 11
    • Địa Lí Lớp 11
    • GDCD Lớp 11
  • Lớp 10
    • Toán Lớp 10
    • Ngữ Văn Lớp 10
    • Tiếng Anh Lớp 10
    • Hóa Học Lớp 10
    • Sinh Học Lớp 10
    • Vật Lí Lớp 10
    • Lịch Sử Lớp 10
    • Địa Lí Lớp 10
    • GDKTPL Lớp 10
    • Công nghệ lớp 10
    • Tin Học Lớp 10
  • Lớp 9
    • Toán Lớp 9
    • Ngữ Văn Lớp 9
    • Tiếng Anh Lớp 9
    • Lịch sử và địa lý lớp 9
    • Khoa Học Tự Nhiên Lớp 9
    • GDCD Lớp 9
  • Lớp 8
    • Toán Lớp 8
    • Ngữ Văn Lớp 8
    • Tiếng Anh Lớp 8
    • Lịch sử và địa lý lớp 8
    • Khoa Học Tự Nhiên Lớp 8
    • GDCD 8
  • Lớp 7
    • Toán Lớp 7
    • Văn Lớp 7
    • Tiếng Anh Lớp 7
    • Lịch Sử Và Địa Lí Lớp 7
    • Khoa Học Tự Nhiên Lớp 7
  • Lớp 6
    • Toán Lớp 6
    • Văn Lớp 6
    • Tiếng Anh lớp 6
    • Lịch Sử và Địa Lí Lớp 6
    • Khoa Học Tự Nhiên lớp 6
  • Lớp 5
    • Toán lớp 5
    • Tiếng Việt Lớp 5
    • Tiếng Anh Lớp 5
    • Lịch Sử và Địa Lí Lớp 5
  • Lớp 4
    • Toán lớp 4
    • Tiếng Việt Lớp 4
    • Tiếng Anh Lớp 4
    • Lịch Sử và Địa Lí Lớp 4
  • Lớp 3
    • Toán lớp 3
    • Tiếng Anh Lớp 3
    • Tiếng Việt Lớp 3
  • Mẹo Hay
  • Tin tức
  • Liên Hệ
Tài Liệu Học Tập
No Result
View All Result
Home Toán tổng hợp

Tổng hợp các dạng bài tập phương trình lượng giác lớp 11

by Tranducdoan
28/03/2026
in Toán tổng hợp
0
Đánh giá bài viết

Tổng hợp các dạng bài tập phương trình lượng giác lớp 11 thường gặp để các bạn tham khảo.

Tham khảo thêm:

  • Công thức lượng giác lớp 11
  • Tổng hợp kiến thức toán 11

Mục Lục Bài Viết

  1. Các dạng bài tập phương trình lượng giác lớp 11
    1. ♣ Dạng số 1: Giải phương trình lượng giác cơ bản
    2. ♣ Dạng số 2: Phương trình bậc nhất có một hàm lượng giác
    3. ♣ Dạng số 3: Phương trình bậc hai có một hàm lượng giác
    4. ♣ Dạng số 4: Phương trình bậc nhất theo sinx và cosx
    5. ♣ Dạng số 5: Phương trình lượng giác đối xứng, phản đối xứng
  2. Bài tập phương trình lượng giác thường gặp lớp 11 có đáp án
    1. ♣ Bài tập phương trình lượng giác cơ bản có đáp án
      1. Bài 1: Giải các phương trình lượng giác cơ bản sau
      2. Bài 2: Giải các phương trình lượng giác cơ bản sau
      3. Bài 3: Giải các phương trình cơ bản sau
      4. Bài 4: Giải phương trình lượng giác cơ bản sau: (√3-1)sinx = 2sin2x.
      5. Bài 5: Giải phương trình lượng giác sau: (√3-1)sinx + (√3+1)cosx = 2√2 sin2x
    2. ♣ Bài tập phương trình bậc hai với một hàm số lượng giác có đáp án
    3. ♣ Bài tập phương trình bậc nhất theo sinx và cosx có đáp án
    4. ♣ Bài tập phương trình đẳng cấp bậc 2, bậc 3 lượng giác có đáp án
    5. ♣ Bài tập phương trình lượng giác đối xứng, phản đối xứng có đáp án
    6. ♣ Bài tập phương trình lượng giác đặc biệt có đáp án
    7. ♣ Bài tập Tìm nghiệm của phương trình lượng giác thỏa mãn điều kiện có đáp án
  3. Bộ bài tập hàm số lượng giác 11 để các bạn ôn luyện

Các dạng bài tập phương trình lượng giác lớp 11

♣ Dạng số 1: Giải phương trình lượng giác cơ bản

→ Phương pháp giải: Dùng các công thức nghiệm tương ứng với mỗi pt (phương trình)

Ví dụ minh họa: Các bạn hãy giải các phương trình lượng giác sau:

a) sinx = sin(π/6).

c) tanx – 1 = 0

b) 2cosx = 1.

d) cotx = tan2x.

Lời giải chi tiết

Giải phương trình lượng giác cơ bản
Bài tập Giải phương trình lượng giác cơ bản

♣ Dạng số 2: Phương trình bậc nhất có một hàm lượng giác

→ Phương pháp giải: Đưa về phương trình cơ bản, ví dụ asinx + b = 0 ⇔ sinx = -b/a

Ví dụ minh họa:

Bài tập dạng Phương trình bậc nhất có một hàm lượng giác
Bài tập dạng Phương trình bậc nhất có một hàm lượng giác

♣ Dạng số 3: Phương trình bậc hai có một hàm lượng giác

Bài tập dạng Phương trình bậc hai có một hàm lượng giác
Bài tập dạng Phương trình bậc hai có một hàm lượng giác

♣ Dạng số 4: Phương trình bậc nhất theo sinx và cosx

Xét phương trình có dạng asinx + bcosx = c (1) với a, b chính là các số thực khác 0.

bai tap ve ham so luong giac lop 11 3

Bài tập dạng Phương trình bậc nhất theo sinx và cosx
Bài tập dạng Phương trình bậc nhất theo sinx và cosx

♣ Dạng số 5: Phương trình lượng giác đối xứng, phản đối xứng

Phương trình đối xứng là pt (phương trình) có dạng như sau:

a(sinx + cosx) + bsinxcosx + c = 0 (3)

Phương pháp giải chi tiết:

Để có thể giải phương trình trên chúng ta sử dụng phép đặt ẩn phụ:

Thay vào (3) ta sẽ được phương trình bậc hai theo t.

* Ngoài ra chúng ta còn gặp pt (phương trình) phản đối xứng nó có dạng như sau:

a(sinx – cosx) + bsinxcosx + c = 0 (4)

bai tap ve ham so luong giac lop 11 5

Bài tập phương trình lượng giác thường gặp lớp 11 có đáp án

♣ Bài tập phương trình lượng giác cơ bản có đáp án

Bài 1: Giải các phương trình lượng giác cơ bản sau

a) cos(3x + π) = 0

b) cos (π/2 – x) = sin2x

bai tap ve ham so luong giac lop 11 6

Bài 2: Giải các phương trình lượng giác cơ bản sau

a) sinx.cosx = 1

b) cos2 x – sin2 x + 1 = 0

bai tap ve ham so luong giac lop 11 7

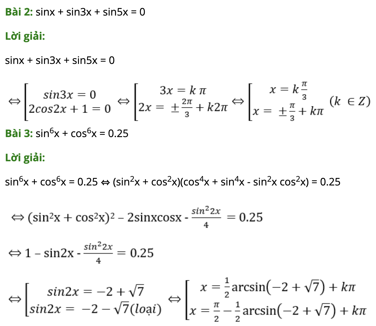
Bài 3: Giải các phương trình cơ bản sau

a) cos2 x – 3cosx + 2 = 0

b) 1/(cos2 x) – 2 = 0

bai tap ve ham so luong giac lop 11 8

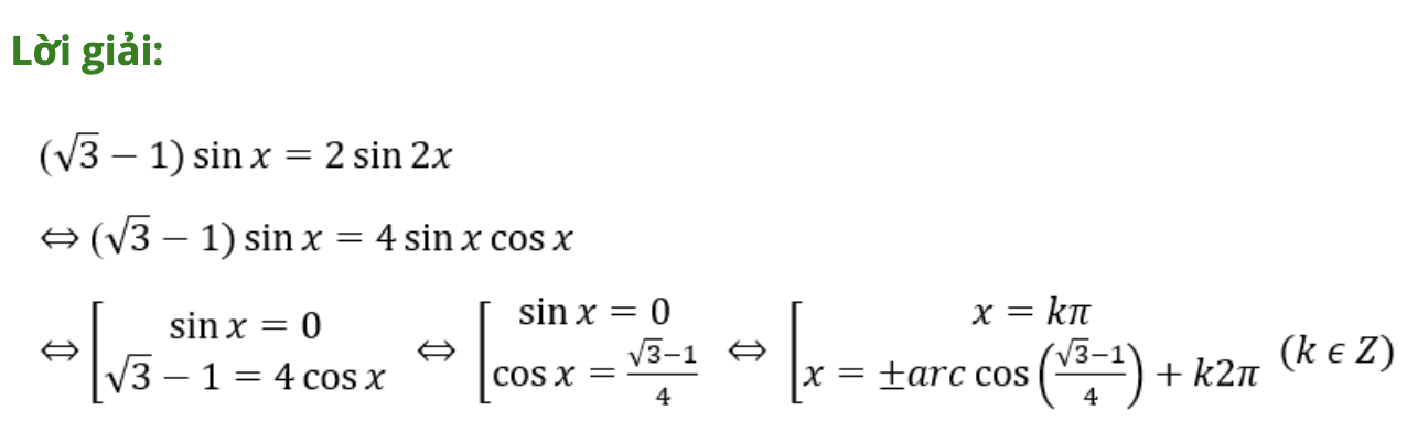
Bài 4: Giải phương trình lượng giác cơ bản sau: (√3-1)sinx = 2sin2x.

bai tap ve ham so luong giac lop 11 9

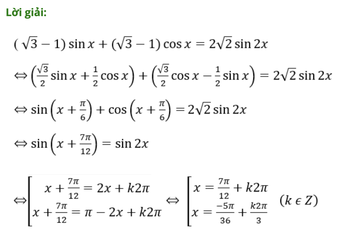
Bài 5: Giải phương trình lượng giác sau: (√3-1)sinx + (√3+1)cosx = 2√2 sin2x

bai tap ve ham so luong giac lop 11 10

♣ Bài tập phương trình bậc hai với một hàm số lượng giác có đáp án

Bài tập giải phương trình bậc hai với một hàm số lượng giác có đáp án
Bài tập giải phương trình bậc hai với một hàm số lượng giác có đáp án
Bài tập giải phương trình bậc hai với một hàm số lượng giác kèm đáp án
Bài tập giải phương trình bậc hai với một hàm số lượng giác kèm đáp án
Bài tập dạng phương trình bậc hai với một hàm số lượng giác có đáp án
Bài tập dạng phương trình bậc hai với một hàm số lượng giác có đáp án

♣ Bài tập phương trình bậc nhất theo sinx và cosx có đáp án

Bài tập phương trình bậc nhất theo sinx và cosx có đáp án
Bài tập phương trình bậc nhất theo sinx và cosx có đáp án
Bài tập giải phương trình bậc nhất theo sinx và cosx có đáp án
Bài tập giải phương trình bậc nhất theo sinx và cosx có đáp án
Bài tập giải phương trình bậc nhất theo sinx và cosx kèm đáp án
Bài tập giải phương trình bậc nhất theo sinx và cosx kèm đáp án
Bài tập dạng giải phương trình bậc nhất theo sinx và cosx kèm đáp án
Bài tập dạng giải phương trình bậc nhất theo sinx và cosx kèm đáp án

♣ Bài tập phương trình đẳng cấp bậc 2, bậc 3 lượng giác có đáp án

Bài tập phương trình đẳng cấp bậc 2, bậc 3 lượng giác có đáp án
Bài tập phương trình đẳng cấp bậc 2, bậc 3 lượng giác có đáp án
Bài tập giải phương trình đẳng cấp bậc 2, bậc 3 lượng giác có đáp án
Bài tập giải phương trình đẳng cấp bậc 2, bậc 3 lượng giác có đáp án
Bài tập dạng phương trình đẳng cấp bậc 2, bậc 3 lượng giác có đáp án
Bài tập dạng phương trình đẳng cấp bậc 2, bậc 3 lượng giác có đáp án

♣ Bài tập phương trình lượng giác đối xứng, phản đối xứng có đáp án

Bài tập phương trình lượng giác đối xứng, phản đối xứng có đáp án
Bài tập phương trình lượng giác đối xứng, phản đối xứng có đáp án
Bài tập giải phương trình lượng giác đối xứng, phản đối xứng có đáp án
Bài tập giải phương trình lượng giác đối xứng, phản đối xứng có đáp án
Bài tập dạng phương trình lượng giác đối xứng, phản đối xứng có đáp án
Bài tập dạng phương trình lượng giác đối xứng, phản đối xứng có đáp án
Bài tập dạng phương trình lượng giác đối xứng, phản đối xứng kèm đáp án
Bài tập dạng phương trình lượng giác đối xứng, phản đối xứng kèm đáp án

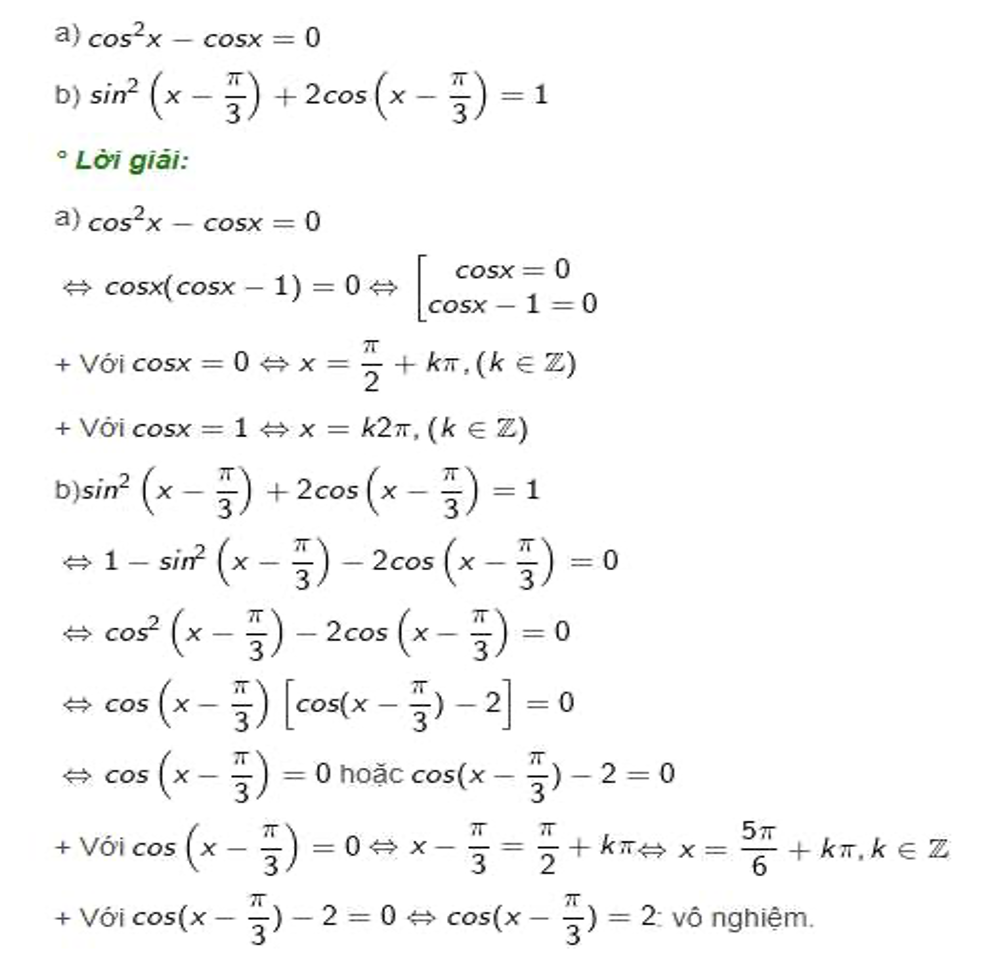
♣ Bài tập phương trình lượng giác đặc biệt có đáp án

Bài tập phương trình lượng giác đặc biệt có đáp án
Bài tập phương trình lượng giác đặc biệt có đáp án
Bài tập giải phương trình lượng giác đặc biệt có đáp án
Bài tập giải phương trình lượng giác đặc biệt có đáp án
Bài tập dạng phương trình lượng giác đặc biệt có đáp án
Bài tập dạng phương trình lượng giác đặc biệt có đáp án
Bài tập phương trình lượng giác đặc biệt kèm đáp án
Bài tập phương trình lượng giác đặc biệt kèm đáp án

♣ Bài tập Tìm nghiệm của phương trình lượng giác thỏa mãn điều kiện có đáp án

Bài tập Tìm nghiệm của phương trình lượng giác thỏa mãn điều kiện có đáp án
Bài tập Tìm nghiệm của phương trình lượng giác thỏa mãn điều kiện có đáp án
Bài tập dạng Tìm nghiệm của phương trình lượng giác thỏa mãn điều kiện có đáp án
Bài tập dạng Tìm nghiệm của phương trình lượng giác thỏa mãn điều kiện có đáp án
Bài tập dạng Tìm nghiệm của phương trình lượng giác thỏa mãn điều kiện kèm đáp án
Bài tập dạng Tìm nghiệm của phương trình lượng giác thỏa mãn điều kiện kèm đáp án
Bài tập dạng Tìm nghiệm của phương trình lượng giác thỏa mãn điều kiện có đáp án chi tiết
Bài tập dạng Tìm nghiệm của phương trình lượng giác thỏa mãn điều kiện có đáp án chi tiết

Bộ bài tập hàm số lượng giác 11 để các bạn ôn luyện

Dưới đây là tổng hợp bài tập hàm số lượng giác 11 cùng với hàm số lượng giác 11 lý thuyết đi kèm để các bạn có thể dễ dàng vận dụng giải bài tập.

Bài tập hàm số lượng giác 11
Bài tập hàm số lượng giác 11
Bài tập lượng giác 11
Bài tập lượng giác 11
Bài tập phương trình lượng giác thường gặp lớp 11
Bài tập phương trình lượng giác thường gặp lớp 11
Các dạng bài tập phương trình lượng giác lớp 11
Các dạng bài tập phương trình lượng giác lớp 11
Bài tập hàm số lượng giác 11 có đáp án
Bài tập hàm số lượng giác 11 có đáp án
Phương trình lượng giác cơ bản lớp 11 bài tập
Phương trình lượng giác cơ bản lớp 11 bài tập
Bài tập lượng giác lớp 11
Bài tập lượng giác lớp 11
Bài tập phương trình lượng giác cơ bản lớp 11
Bài tập phương trình lượng giác cơ bản lớp 11
Bài tập toán hàm số lượng giác lớp 11
Bài tập toán hàm số lượng giác lớp 11
Bài tập lượng giác lớp 11 nâng cao
Bài tập lượng giác lớp 11 nâng cao
Các bài tập lượng giác lớp 11
Các bài tập lượng giác lớp 11
Các bài tập về hàm số lượng giác 11
Các bài tập về hàm số lượng giác 11
Lý thuyết phương trình lượng giác lớp 11
Lý thuyết phương trình lượng giác lớp 11
Bài tập lượng giác 11 nâng cao
Bài tập lượng giác 11 nâng cao
Bài tập lượng giác lớp 11 cơ bản
Bài tập lượng giác lớp 11 cơ bản
Giải các phương trình lượng giác lớp 11
Giải các phương trình lượng giác lớp 11
Bài tập hàm số lượng giác lớp 11
Bài tập hàm số lượng giác lớp 11
Bài tập lượng giác lớp 11
Bài tập lượng giác lớp 11
Bài tập phương trình lượng giác thường gặp 11
Bài tập phương trình lượng giác thường gặp 11
Các dạng bài tập phương trình lượng giác 11
Các dạng bài tập phương trình lượng giác 11
Giải phương trình lượng giác lớp 11
Giải phương trình lượng giác lớp 11
Giải phương trình lượng giác 11
Giải phương trình lượng giác 11
Các dạng bài tập hàm số lượng giác lớp 11
Các dạng bài tập hàm số lượng giác lớp 11
Các dạng bài tập hàm số lượng giác 11
Các dạng bài tập hàm số lượng giác 11
Các dạng bài tập về hàm số lượng giác 11
Các dạng bài tập về hàm số lượng giác 11
Các dạng bài tập về hàm số lượng giác lớp 11
Các dạng bài tập về hàm số lượng giác lớp 11
Các dạng bài tập về hàm số lượng giác toán 11
Các dạng bài tập về hàm số lượng giác toán 11
Các dạng bài tập về hàm số lượng giác toán lớp 11
Các dạng bài tập về hàm số lượng giác toán lớp 11
Giải bài tập hàm số lượng giác lớp 11
Giải bài tập hàm số lượng giác lớp 11
Giải bài tập hàm số lượng giác 11
Giải bài tập hàm số lượng giác 11

bai tap ve ham so luong giac lop 11 30

Bài tập lượng giác toán lớp 11
Bài tập lượng giác toán lớp 11
Bài tập lượng giác toán 11
Bài tập lượng giác toán 11
Bài tập phương trình lượng giác cơ bản toán lớp 11
Bài tập phương trình lượng giác cơ bản toán lớp 11
Bài tập toán hàm số lượng giác 11
Bài tập toán hàm số lượng giác 11
Bài tập toán hàm số lượng giác toán lớp 11
Bài tập toán hàm số lượng giác toán lớp 11
Bài tập lượng giác toán lớp 11 nâng cao
Bài tập lượng giác toán lớp 11 nâng cao
Bài tập lượng giác môn toán lớp 11 nâng cao
Bài tập lượng giác môn toán lớp 11 nâng cao
Previous Post

[Infographic] 9 bài toán lớn nào được Đồng Nai đề xuất về khoa học, công nghệ, đổi mới sáng tạo và chuyển đổi số?

Next Post

Hạch toán hay hoạch toán, từ nào đúng chính tả?

Tranducdoan

Tranducdoan

Trần Đức Đoàn sinh năm 1999, anh chàng đẹp trai đến từ Thái Bình. Hiện đang theo học và làm việc tại trường cao đẳng FPT Polytechnic

Next Post

Hạch toán hay hoạch toán, từ nào đúng chính tả?

đọc sách online cm88 Ca Khia TV trực tiếp XoilacTV Socolive trực tiếp jbo Nhà cái M88 Mansion Xoilac fly88 https://p789bet.biz/ fly88 cm88 com 789bet ww88 sumclub
Tài Liệu Học Tập

Copyright © 2022 Tài Liệu Học Tập.

Chuyên Mục

  • Đề Thi
  • Lớp 12
  • Lớp 11
  • Lớp 10
  • Lớp 9
  • Lớp 8
  • Lớp 7
  • Lớp 6
  • Lớp 5
  • Lớp 4
  • Lớp 3
  • Mẹo Hay
  • Tin tức
  • Liên Hệ

Tham Gia Group Tài Liệu Học Tập

No Result
View All Result
  • Đề Thi
  • Lớp 12
    • Lịch Sử Lớp 12
    • Địa Lí Lớp 12
    • Ngữ Văn Lớp 12
    • GD KTPL Lớp 12
    • Toán Lớp 12
    • Tiếng Anh Lớp 12
    • Hóa Học Lớp 12
    • Sinh Học Lớp 12
    • Vật Lí Lớp 12
  • Lớp 11
    • Toán Lớp 11
    • Ngữ Văn Lớp 11
    • Tiếng Anh Lớp 11
    • Hóa Học Lớp 11
    • Sinh Học Lớp 11
    • Vật Lí Lớp 11
    • Lịch Sử Lớp 11
    • Địa Lí Lớp 11
    • GDCD Lớp 11
  • Lớp 10
    • Toán Lớp 10
    • Ngữ Văn Lớp 10
    • Tiếng Anh Lớp 10
    • Hóa Học Lớp 10
    • Sinh Học Lớp 10
    • Vật Lí Lớp 10
    • Lịch Sử Lớp 10
    • Địa Lí Lớp 10
    • GDKTPL Lớp 10
    • Công nghệ lớp 10
    • Tin Học Lớp 10
  • Lớp 9
    • Toán Lớp 9
    • Ngữ Văn Lớp 9
    • Tiếng Anh Lớp 9
    • Lịch sử và địa lý lớp 9
    • Khoa Học Tự Nhiên Lớp 9
    • GDCD Lớp 9
  • Lớp 8
    • Toán Lớp 8
    • Ngữ Văn Lớp 8
    • Tiếng Anh Lớp 8
    • Lịch sử và địa lý lớp 8
    • Khoa Học Tự Nhiên Lớp 8
    • GDCD 8
  • Lớp 7
    • Toán Lớp 7
    • Văn Lớp 7
    • Tiếng Anh Lớp 7
    • Lịch Sử Và Địa Lí Lớp 7
    • Khoa Học Tự Nhiên Lớp 7
  • Lớp 6
    • Toán Lớp 6
    • Văn Lớp 6
    • Tiếng Anh lớp 6
    • Lịch Sử và Địa Lí Lớp 6
    • Khoa Học Tự Nhiên lớp 6
  • Lớp 5
    • Toán lớp 5
    • Tiếng Việt Lớp 5
    • Tiếng Anh Lớp 5
    • Lịch Sử và Địa Lí Lớp 5
  • Lớp 4
    • Toán lớp 4
    • Tiếng Việt Lớp 4
    • Tiếng Anh Lớp 4
    • Lịch Sử và Địa Lí Lớp 4
  • Lớp 3
    • Toán lớp 3
    • Tiếng Anh Lớp 3
    • Tiếng Việt Lớp 3
  • Mẹo Hay
  • Tin tức
  • Liên Hệ

Copyright © 2022 Tài Liệu Học Tập.