Công thức, phương pháp tính tích phân từng phần sẽ giúp giải quyết nhiều bài toán tích phân phức tạp. Đây là kỹ thuật mở rộng từ quy tắc tích phân cơ bản, cho phép chuyển đổi các biểu thức khó thành dạng dễ xử lý hơn. Việc nắm vững phương pháp sẽ giúp bạn tự tin giải quyết các dạng bài tập tích phân từng phần khó nhằn.
Định nghĩa tích phân từng phần
Đây là một phương pháp toán học giúp chuyển đổi một bài tích phân phức tạp thành một bài dễ giải hơn. Phương pháp này dựa trên mối liên hệ giữa đạo hàm và nguyên hàm. Cụ thể là bằng cách chia biểu thức ban đầu thành hai phần. Một phần sẽ được lấy đạo hàng và phần còn lại sẽ được lấy nguyên hàm. Thông thường, loại bài này sẽ có tích phân dạng tích của hai trong bốn loại hàm đa thức, logarit, lượng giác, hàm mũ.
Công thức tính tích phân từng phần và chứng minh công thức
Bằng cách áp dụng đúng công thức, các bạn sẽ giải quyết bài tập tích phân phức tạp một cách hiệu quả. Dưới đây là công thức và cách chứng minh mà Sforum đưa ra chi tiết để giúp bạn tìm hiểu sâu hơn về phương pháp này.
Công thức tính tích phân từng phần:

Chứng minh: Xuất phát từ quy tắc vi phân tích phân của hai hàm số u(x) và v(x): d(uv) = udv + vdu. Tích phân cả hai vế trên đoạn [a,b] ta có:

Việc học toán sẽ trở nên hiệu quả hơn khi bạn sử dụng iPad để ghi chép công thức các dạng bài tập tích phân từng phần. Không chỉ giúp bạn sắp xếp bài vở khoa học, iPad còn hỗ trợ truy cập nhanh vào các ứng dụng giải toán trực tuyến. Vì vậy, đừng bỏ lỡ cơ hội tìm hiểu thêm về sản phẩm iPad phù hợp qua đường link dưới đây!
[Product_Listing categoryid=”944″ propertyid=”” customlink=”https://cellphones.com.vn/tablet/ipad.html” title=”Các mẫu iPad đang được quan tâm nhiều tại CellphoneS”]
Một vài dấu hiệu nhận biết nhanh
Thực tế, dấu hiệu để nhận biết điều này rất đơn giản. Người học chỉ cần chú ý vào đề bài là hoàn toàn nhận ra. Cụ thể, khi nhìn vào bài tập tích phân tồn tại dạng tích của hai hàm số hoàn toàn khác nhau. Đây chính là dấu hiệu cho chúng ta thấy cần áp dụng phương pháp tính tích phân từng phần. Chi tiết hơn, hai hàm số dưới dấu tích phân này sẽ là sự kết hợp giữa các loại hàm như: Logarit, đa thức, lượng giác và hàm mũ.

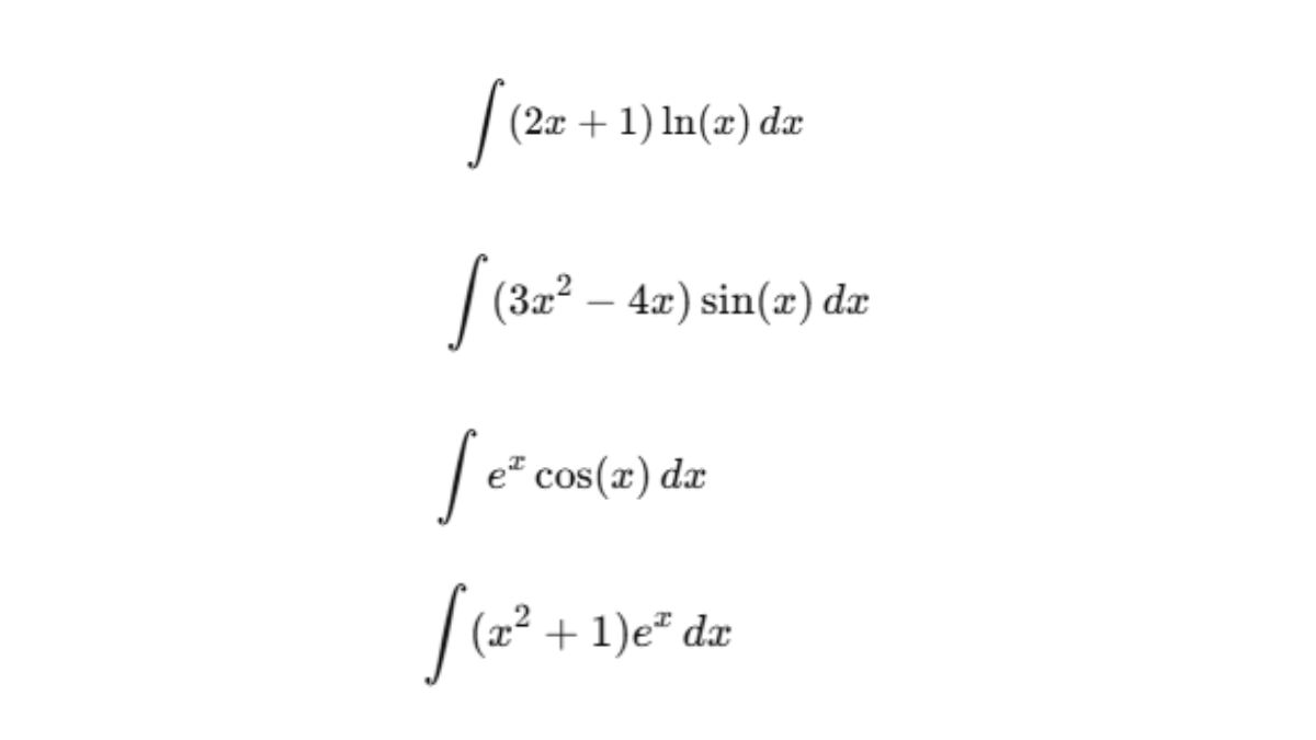
Các dạng bài tập tích phân từng phần
Các dạng bài tập thường gặp bao gồm tích phân của hàm đại số nhân với hàm mũ, hàm lượng giác, hoặc hàm logarit. Mỗi dạng bài tập đều đòi hỏi người giải phải biết phương pháp, luyện tập thường xuyên để ghi nhớ lâu dài.
Tích phân của hàm đa thức và hàm logarit
Trong toán học, việc tính tích phân của hàm đa thức kết hợp hàm logarit thường khiến học sinh gặp khó khăn. Thế nhưng, việc tham khảo ví dụ sau đây sẽ giúp việc giải toán trở nên nhẹ nhàng hơn. Phương pháp này giúp chia nhỏ bài toán phức tạp thành các phần đơn giản hơn, phù hợp cho việc ôn luyện và làm bài thi hiệu quả.
Phương pháp:

Ví dụ minh họa:

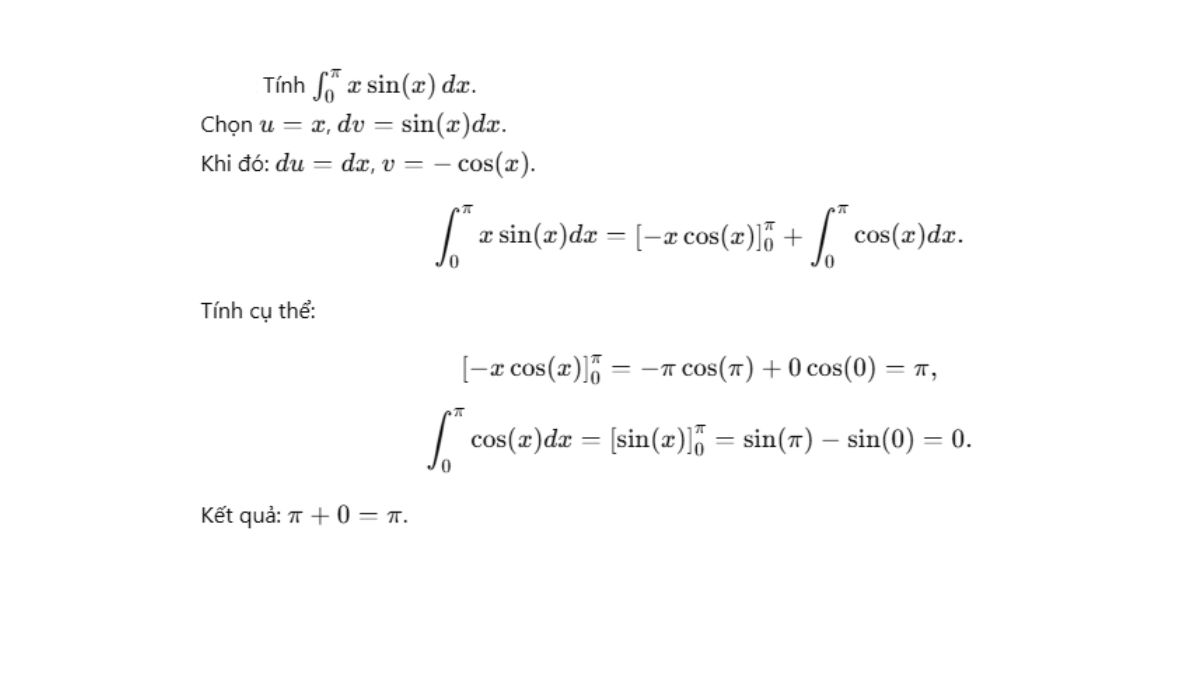
Tích phân từng phần của hàm đa thức và hàm lượng giác
Tích phân của hàm đa thức và hàm lượng giác là một dạng bài tập thường xuyên xuất hiện trong các đề thi. Việc áp dụng phương pháp dưới đây là cách nhanh chóng là cách dễ dàng và hữu hiệu để tính toán chính xác. Khi hiểu rõ cách chọn u và dv bạn sẽ tự tin hơn khi gặp dạng bài toán này trong thực tế.
Phương pháp:

Ví dụ minh họa:

Hàm mũ và hàm lượng giác
Sự kết hợp giữa hai loại hàm này thường gây khó khăn khi làm bài tích phân. Nhưng với dạng bài này, bạn hãy tách phép tính phức tạp thành những phần dễ giải hơn. Loại bài này không chỉ giúp bạn rèn luyện tư duy mà còn củng cố kiến thức quan trọng, hỗ trợ tốt trong việc học và thi. Vì vậy đừng nản chí, thay vào đó bạn hãy chăm chỉ luyện tập.
Phương pháp:

Ví dụ minh họa:

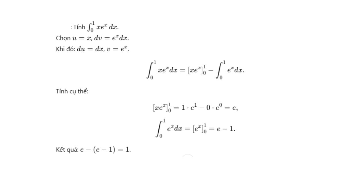
Hàm mũ và hàm đa thức
Bài toán tích phân giữa hàm mũ và hàm đa thức thường được đánh giá là tương đối hóc búa. Tuy nhiên, dạng toán này giúp bạn hiểu sâu hơn về mối liên hệ giữa các hàm số, đồng thời cũng giúp luyện khả năng tư duy logic. Trong toán học, bạn không nên bỏ qua kiến thức cơ bản và thiết yếu này.
Phương pháp:

Ví dụ minh họa:

Mẹo chọn u và dv nhanh chóng
Để áp dụng được công thức tích phân từng phần, ta phải biết cách đặt u và đặt v. Việc này bắt buộc người giải phải tuân thủ quy tắc. Như vậy khi tính kết quả của phép toán mới chính xác. Hãy nhớ rằng ta cần chọn u trước khi chọn v. Thứ tự chọn u, các bạn hãy ghi nhớ câu nói “Nhất Lô, nhì Đa, tam Lượng, tứ Mũ”. Ví dụ, nếu bài là tích của hai hàm logarit và đa thức, vậy hàm logarit đặt là u còn đa thức đặt là v.

Phương pháp, công thức tính tích phân từng phần có vai trò quan trọng với học sinh trong việc giải các bài tập toán. Khi áp dụng cách làm này, bạn không những tăng khả năng phân tích bài toán mà còn tối ưu thời gian hoàn thành. Hãy thực hành thường xuyên với các dạng bài tập tích phân từng phần để củng cố kiến thức vững chắc. Nếu cần tìm hiểu thêm các bài viết giáo dục, bạn có thể truy cập Sforum để cập nhật thêm những thông tin mới nhất nhé!
Đọc thêm bài viết cùng chủ đề: Góc Học & Dạy 4.0