1. Tìm hiểu về phương trình bậc 3
Trước khi đi vào tìm hiểu chi tiết về cách giải, chúng ta cần biết được phương trình bậc 3 là gì? Thực chất đây là một phương trình có bậc lũy thừa cao nhất là 3. Phương trình bậc ba có dạng chuẩn thường là phương trình có dạng
(ax^3+ bx^2+ cx +d =0)
Với a khác 0
2. Cách giải phương trình bậc 3
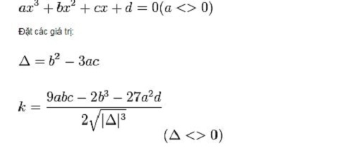
2.1. Giải phương trình bậc 3 tổng quát
So với phương trình bậc hai, cách thức giải và công thức nghiệm của phương trình bậc 3 phức tạp hơn nhiều.
Bước đầu tiên, các bạn có thể tính qua một đại lượng Delta và áp dụng công thức nghiệm tổng quát. Cách làm này được áp dụng phổ biến trong giải phương trình bậc ba dạng cơ bản, và được sử dụng rộng rãi trong chương trình học phổ thông.

Công thức nghiệm của phương trình bậc 3 tùy thuộc vào giá trị của Dela


2.2. Giải phương trình bậc 3 thường gặp
Trong trường hợp phương trình bậc 3 có a= 1, các bạn có thể áp dụng phương pháp giải như sau:
Sau khi tìm ra giá trị u, v, bạn có thể dễ dàng tìm được ẩn x

Công thức nghiệm này phức tạp hơn so với công thức nghiệm của phương trình bậc 3 tổng quát và chỉ được áp dụng khi a=1. Các bạn cần phải chú ý để tránh nhầm lẫn.
2.3. Giải phương trình bậc 3 bằng cách sử dụng máy tính bỏ túi
Các bạn có thể nhẩm nghiệm phương trình bậc 3 bằng máy tính bỏ túi để phục vụ cho các bài toán trắc nghiệm. Hiện nay, chương trình thi THPT Quốc gia đã được áp dụng hình thức thi trắc nghiệm, cách thức nhẩm nghiệm này sẽ giúp bạn tìm rất nhanh được nghiệm đúng của phương trình.
Với phương trình có dạng tổng quát như trên, bạn nhần lần lượt các phím mode, 5, 4 rồi lần lượt nhấn giá trị a,b,c,d. Lưu ý sau khi nhập giá trị cần phải nhấn dấu bằng.
Trường những phương trình có nghiệm nguyên, bạn có thể dễ dàng đưa về phương trình bậc hai và xử lý theo công thức phương trình bậc hai rất đơn giản và nhanh chóng
Ngoài những cách giải trên, các bạn có thể áp dụng một số phương pháp khác như đặt ẩn phụ,lượng giác hóa phương trình… tùy theo từng dạng bài khác nhau.
3. Phương pháp học cách giải phương trình bậc 3
Phương trình bậc 3 là một trong những dạng phương trình khó và có thể áp dụng nhiều cách giải linh hoạt. Để học tốt được kiến thức này, các bạn cần phải thường xuyên luyện tập và làm bài tập để rèn luyện kỹ năng. Khi đã quen với các dạng bài, các bạn có thể gỡ nút bài toán rất dễ dàng.
Đặc biệt hiện nay, các em học sinh đều được trang bị rất nhiều máy tính hiện đại để học tập, việc nhẩm nghiệm càng trở nên nhanh chóng hơn, các bài toán giải phương trình nói chung và phương trình bậc ba nói riêng trở nên đơn giản hơn rất nhiều.
Môn Toán đòi hỏi các bạn phải liên tục đào sâu suy nghĩ, tư duy. Bài tập giải phương trình bậc 3 là một trong những dạng bài rèn luyện tư duy khá tốt, luyện tập thường xuyên sẽ giúp bạn xử lý bài toán một cách nhanh gọn.
Các bạn có thể tìm hiểu một số sách nâng cao liên quan đến giải phương trình bậc 3, hoặc tìm kiếm các bài tập qua mạng. Khi đi học phụ đạo, hầu hết các thầy cô cũng cung cấp cho các bạn rất nhiều dạng bài tập để có thể học phần hành này tốt nhất. Chỉ cần hoàn thành tất cả các bài tập được giao, bạn sẽ trở nên thành thạo và quen thuộc với tất cả cách giải phương trình bậc 3.
4. Bài tập áp dụng cách giải phương trình bậc 3
Có rất nhiều dạng bài khác nhau trong phạm vi kiến thức phương trình bậc 3 Các bạn có thể tham khảo tại một số trang đề thi trực tuyến như Violet hoặc cập nhật tài liệu online thường xuyên từ các thầy cô dạy Toán.
Dưới đây là một số bài tập mình họa Vieclam123.vn sưu tầm để các bạn tham khảo.

Môn Toán học đòi hỏi chúng ta phải thực sự kiên nhẫn và chịu khó nghiên cứu, đào sâu vấn đề. Khi mới bắt đầu làm quen với những cách phương trình bậc 3, các bạn sẽ gặp rất nhiều khó khăn. Bằng cách luyện tập thật chăm chỉ và tập trung nghiên cứu, bạn sẽ sớm chinh phục được mảng kiến thức này.
Trên đây là một số chia sẻ của vieclam123.vn về cách giải phương trình bậc 3. Hy vọng có thể mang lại những thông tin hữu ích cho những bạn đang có nhu cầu nghiên cứu về mảng kiến thức này.
>> Xem thêm:
- Định lý pitago và cách áp dụng định lý vào làm bài tập
- Chu vi, diện tích hình bình hành và các kiến thức liên quan