Tài Liệu Học Tập
No Result
View All Result
  • Đề Thi
  • Lớp 12
    • Lịch Sử Lớp 12
    • Địa Lí Lớp 12
    • Ngữ Văn Lớp 12
    • GD KTPL Lớp 12
    • Toán Lớp 12
    • Tiếng Anh Lớp 12
    • Hóa Học Lớp 12
    • Sinh Học Lớp 12
    • Vật Lí Lớp 12
  • Lớp 11
    • Toán Lớp 11
    • Ngữ Văn Lớp 11
    • Tiếng Anh Lớp 11
    • Hóa Học Lớp 11
    • Sinh Học Lớp 11
    • Vật Lí Lớp 11
    • Lịch Sử Lớp 11
    • Địa Lí Lớp 11
    • GDCD Lớp 11
  • Lớp 10
    • Toán Lớp 10
    • Ngữ Văn Lớp 10
    • Tiếng Anh Lớp 10
    • Hóa Học Lớp 10
    • Sinh Học Lớp 10
    • Vật Lí Lớp 10
    • Lịch Sử Lớp 10
    • Địa Lí Lớp 10
    • GDKTPL Lớp 10
    • Công nghệ lớp 10
    • Tin Học Lớp 10
  • Lớp 9
    • Toán Lớp 9
    • Ngữ Văn Lớp 9
    • Tiếng Anh Lớp 9
    • Lịch sử và địa lý lớp 9
    • Khoa Học Tự Nhiên Lớp 9
    • GDCD Lớp 9
  • Lớp 8
    • Toán Lớp 8
    • Ngữ Văn Lớp 8
    • Tiếng Anh Lớp 8
    • Lịch sử và địa lý lớp 8
    • Khoa Học Tự Nhiên Lớp 8
    • GDCD 8
  • Lớp 7
    • Toán Lớp 7
    • Văn Lớp 7
    • Tiếng Anh Lớp 7
    • Lịch Sử Và Địa Lí Lớp 7
    • Khoa Học Tự Nhiên Lớp 7
  • Lớp 6
    • Toán Lớp 6
    • Văn Lớp 6
    • Tiếng Anh lớp 6
    • Lịch Sử và Địa Lí Lớp 6
    • Khoa Học Tự Nhiên lớp 6
  • Lớp 5
    • Toán lớp 5
    • Tiếng Việt Lớp 5
    • Tiếng Anh Lớp 5
    • Lịch Sử và Địa Lí Lớp 5
  • Lớp 4
    • Toán lớp 4
    • Tiếng Việt Lớp 4
    • Tiếng Anh Lớp 4
    • Lịch Sử và Địa Lí Lớp 4
  • Lớp 3
    • Toán lớp 3
    • Tiếng Anh Lớp 3
    • Tiếng Việt Lớp 3
  • Mẹo Hay
  • Tin tức
  • Liên Hệ
Tài Liệu Học Tập
No Result
View All Result
Home Toán tổng hợp

by Tranducdoan
27/02/2026
in Toán tổng hợp
0
Đánh giá bài viết

dap an de tham khao toan 2023

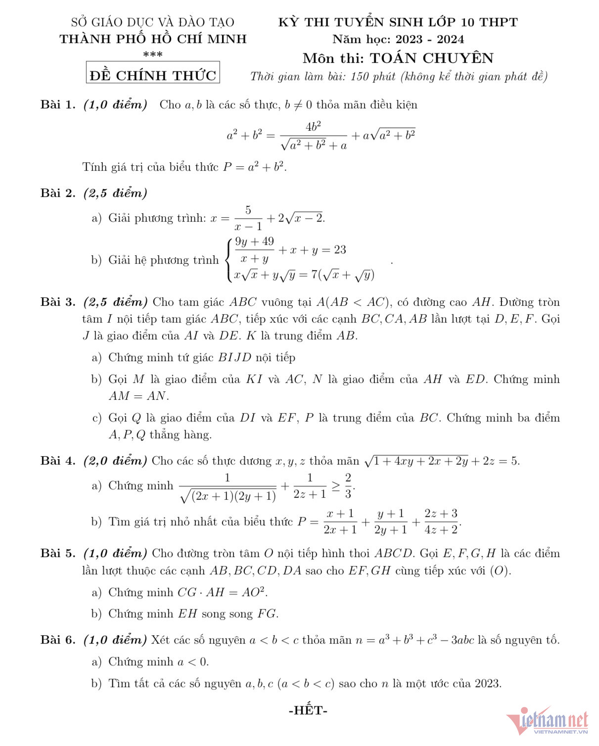
Đề thi chuyên môn Toán vào lớp 10 tại TP.HCM:

dap an de tham khao toan 2023 1

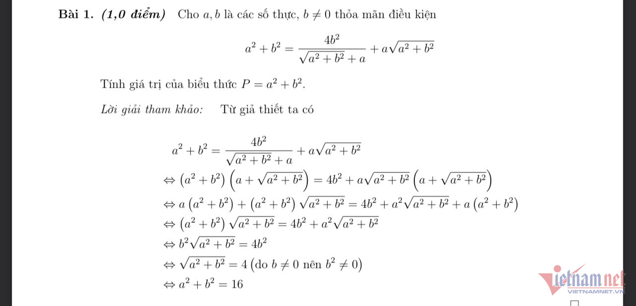
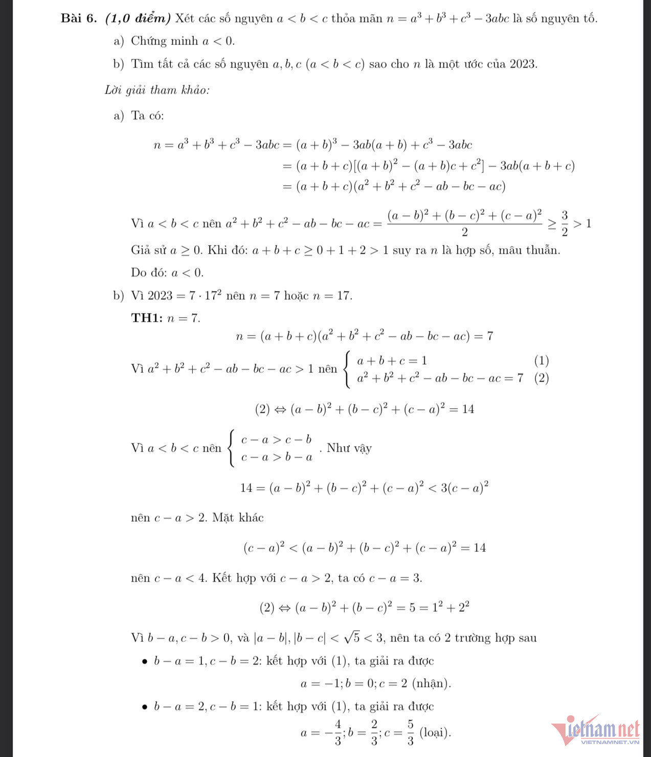
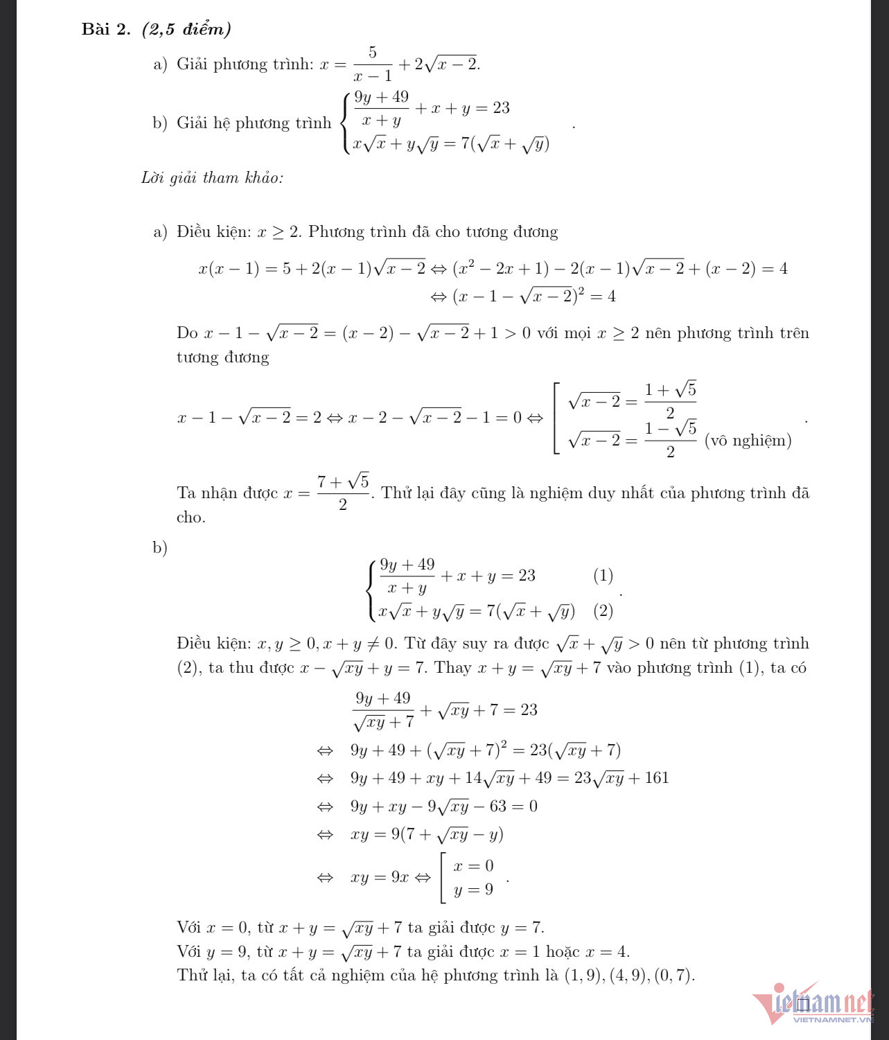
Thí sinh có thể tham khảo đáp án thực hiện bởi các giáo viên Trung tâm Star Education:

dap an de tham khao toan 2023 2
dap an de tham khao toan 2023 3
dap an de tham khao toan 2023 4
dap an de tham khao toan 2023 5
dap an de tham khao toan 2023 6
dap an de tham khao toan 2023 7
dap an de tham khao toan 2023 8

Thầy Nguyễn Tăng Vũ – giáo viên Trường Phổ thông Năng khiếu- ĐH Quốc gia TP.HCM, đánh giá đề chuyên toán TP.HCM gồm các phần đại số (1, 2, 4) hình học (3, 5) và số học (6), không có phần tổ hợp, học sinh làm bài trong 150 phút.

Với học sinh lớp chuyên đề tương đối vừa sức, hình thức vừa phải, không quá khó, các dạng Toán đã được học trong các chuyên đề dành cho học sinh giỏi.

Để được tuyển vào các lớp chuyên các em phải làm được từ trung bình trở lên. Những học sinh xuất sắc có thể làm được điểm 8, 9, còn điểm 10 phải thực sự xuất sắc và làm bài thật nhanh, cẩn thận.

“Tuy vậy, năm nay đề lại không có phần tổ hợp, thực sự là một thiếu sót vì đây cũng là một trong các phần để kiểm tra tư duy và đánh giá rất tốt năng lực học toán của các em. Theo tôi dù là phần khó nhưng ta vẫn có thể ra một số ý dễ để các em có thể làm bài được, từ đó có động lực để học phần toán này”, thầy Vũ cho biết.

Kỳ thi vào lớp 10 TP.HCM diễn ra ngày 6-7/6. Năm nay, số lượng học sinh lớp 9 dự xét tốt nghiệp THCS là 113.802.

Trong đó, tổng số thí sinh tham dự thi vào lớp 10 là 96.325, chia thành các nhóm: thí sinh chỉ đăng ký xét 3 nguyện vọng thường là 88.237; thí sinh đăng ký xét nguyện vọng tích hợp là 1.147; thí sinh đăng ký xét nguyện vọng chuyên là 6.941 trong đó có 236 thí sinh tỉnh khác.

Kỳ thi diễn ra tại 158 điểm thi. Thành phố huy động 12.306 cán bộ, giáo viên làm cán bộ coi thi và 2.370 nhân viên, bảo vệ, công an… làm nhiệm vụ tại các điểm thi.

Học sinh dự thi 3 môn gồm: Toán, Ngữ văn, Ngoại ngữ. Điểm xét tuyển vào lớp 10 thường = điểm Toán + điểm Ngữ văn + điểm Ngoại ngữ + điểm khuyến khích (nếu có).

Thí sinh sẽ được đăng ký ba nguyện vọng ưu tiên 1, 2, 3 để xét tuyển vào lớp 10 các trường THPT công lập (trừ Trường THPT Chuyên Lê Hồng Phong, Trường THPT chuyên Trần Đại Nghĩa và Trường Phổ thông năng khiếu, Đại học Quốc gia TP.HCM).

Đối với lớp 10 Chuyên và Tích hợp, thí sinh làm bài thi môn chuyên và tích hợp vào buổi chiều ngày 7/6, thời gian thi môn Chuyên, tích hợp là 150 phút. Điểm xét tuyển lớp 10 Chuyên = điểm Toán + điểm Ngữ văn + điểm Ngoại ngữ + điểm Môn chuyên x 2 + điểm khuyến khích (nếu có).

Trường THPT Chuyên Lê Hồng Phong nhận học sinh THCS các tỉnh khác dự thi nếu đủ điều kiện theo quy định. Học sinh đăng ký 4 nguyện vọng trong đó nguyện vọng 1,2 vào lớp chuyên; Nguyện vọng 3,4 vào lớp không chuyên tại Trường THPT Chuyên Lê Hồng Phong và Trường THPT Chuyên Trần Đại Nghĩa.

Nếu học sinh không trúng tuyển vào trường chuyên, lớp chuyên vẫn được dự tuyển vào lớp 10 THPT.

Tiếp tục cập nhật…

Tra cứu điểm thi vào lớp 10 nhanh trên VietNamNet

Previous Post

Một số hình khối trong thực tiễn thường gặp| Toán 9 chương trình mới

Next Post

Chi tiết bài tư vấn

Tranducdoan

Tranducdoan

Trần Đức Đoàn sinh năm 1999, anh chàng đẹp trai đến từ Thái Bình. Hiện đang theo học và làm việc tại trường cao đẳng FPT Polytechnic

Next Post

Chi tiết bài tư vấn

thời tiết miền bắc đọc sách online cm88 Ca Khia TV trực tiếp XoilacTV Socolive trực tiếp https://p789bet.biz/ fly88 cm88 com 789bet ww88 sumclub https://theaquaverse.io/17
Tài Liệu Học Tập

Copyright © 2022 Tài Liệu Học Tập.

Chuyên Mục

  • Đề Thi
  • Lớp 12
  • Lớp 11
  • Lớp 10
  • Lớp 9
  • Lớp 8
  • Lớp 7
  • Lớp 6
  • Lớp 5
  • Lớp 4
  • Lớp 3
  • Mẹo Hay
  • Tin tức
  • Liên Hệ

Tham Gia Group Tài Liệu Học Tập

No Result
View All Result
  • Đề Thi
  • Lớp 12
    • Lịch Sử Lớp 12
    • Địa Lí Lớp 12
    • Ngữ Văn Lớp 12
    • GD KTPL Lớp 12
    • Toán Lớp 12
    • Tiếng Anh Lớp 12
    • Hóa Học Lớp 12
    • Sinh Học Lớp 12
    • Vật Lí Lớp 12
  • Lớp 11
    • Toán Lớp 11
    • Ngữ Văn Lớp 11
    • Tiếng Anh Lớp 11
    • Hóa Học Lớp 11
    • Sinh Học Lớp 11
    • Vật Lí Lớp 11
    • Lịch Sử Lớp 11
    • Địa Lí Lớp 11
    • GDCD Lớp 11
  • Lớp 10
    • Toán Lớp 10
    • Ngữ Văn Lớp 10
    • Tiếng Anh Lớp 10
    • Hóa Học Lớp 10
    • Sinh Học Lớp 10
    • Vật Lí Lớp 10
    • Lịch Sử Lớp 10
    • Địa Lí Lớp 10
    • GDKTPL Lớp 10
    • Công nghệ lớp 10
    • Tin Học Lớp 10
  • Lớp 9
    • Toán Lớp 9
    • Ngữ Văn Lớp 9
    • Tiếng Anh Lớp 9
    • Lịch sử và địa lý lớp 9
    • Khoa Học Tự Nhiên Lớp 9
    • GDCD Lớp 9
  • Lớp 8
    • Toán Lớp 8
    • Ngữ Văn Lớp 8
    • Tiếng Anh Lớp 8
    • Lịch sử và địa lý lớp 8
    • Khoa Học Tự Nhiên Lớp 8
    • GDCD 8
  • Lớp 7
    • Toán Lớp 7
    • Văn Lớp 7
    • Tiếng Anh Lớp 7
    • Lịch Sử Và Địa Lí Lớp 7
    • Khoa Học Tự Nhiên Lớp 7
  • Lớp 6
    • Toán Lớp 6
    • Văn Lớp 6
    • Tiếng Anh lớp 6
    • Lịch Sử và Địa Lí Lớp 6
    • Khoa Học Tự Nhiên lớp 6
  • Lớp 5
    • Toán lớp 5
    • Tiếng Việt Lớp 5
    • Tiếng Anh Lớp 5
    • Lịch Sử và Địa Lí Lớp 5
  • Lớp 4
    • Toán lớp 4
    • Tiếng Việt Lớp 4
    • Tiếng Anh Lớp 4
    • Lịch Sử và Địa Lí Lớp 4
  • Lớp 3
    • Toán lớp 3
    • Tiếng Anh Lớp 3
    • Tiếng Việt Lớp 3
  • Mẹo Hay
  • Tin tức
  • Liên Hệ

Copyright © 2022 Tài Liệu Học Tập.