Tài Liệu Học Tập
No Result
View All Result
  • Đề Thi
  • Lớp 12
    • Lịch Sử Lớp 12
    • Địa Lí Lớp 12
    • Ngữ Văn Lớp 12
    • GD KTPL Lớp 12
    • Toán Lớp 12
    • Tiếng Anh Lớp 12
    • Hóa Học Lớp 12
    • Sinh Học Lớp 12
    • Vật Lí Lớp 12
  • Lớp 11
    • Toán Lớp 11
    • Ngữ Văn Lớp 11
    • Tiếng Anh Lớp 11
    • Hóa Học Lớp 11
    • Sinh Học Lớp 11
    • Vật Lí Lớp 11
    • Lịch Sử Lớp 11
    • Địa Lí Lớp 11
    • GDCD Lớp 11
  • Lớp 10
    • Toán Lớp 10
    • Ngữ Văn Lớp 10
    • Tiếng Anh Lớp 10
    • Hóa Học Lớp 10
    • Sinh Học Lớp 10
    • Vật Lí Lớp 10
    • Lịch Sử Lớp 10
    • Địa Lí Lớp 10
    • GDKTPL Lớp 10
    • Công nghệ lớp 10
    • Tin Học Lớp 10
  • Lớp 9
    • Toán Lớp 9
    • Ngữ Văn Lớp 9
    • Tiếng Anh Lớp 9
    • Lịch sử và địa lý lớp 9
    • Khoa Học Tự Nhiên Lớp 9
    • GDCD Lớp 9
  • Lớp 8
    • Toán Lớp 8
    • Ngữ Văn Lớp 8
    • Tiếng Anh Lớp 8
    • Lịch sử và địa lý lớp 8
    • Khoa Học Tự Nhiên Lớp 8
    • GDCD 8
  • Lớp 7
    • Toán Lớp 7
    • Văn Lớp 7
    • Tiếng Anh Lớp 7
    • Lịch Sử Và Địa Lí Lớp 7
    • Khoa Học Tự Nhiên Lớp 7
  • Lớp 6
    • Toán Lớp 6
    • Văn Lớp 6
    • Tiếng Anh lớp 6
    • Lịch Sử và Địa Lí Lớp 6
    • Khoa Học Tự Nhiên lớp 6
  • Lớp 5
    • Toán lớp 5
    • Tiếng Việt Lớp 5
    • Tiếng Anh Lớp 5
    • Lịch Sử và Địa Lí Lớp 5
  • Lớp 4
    • Toán lớp 4
    • Tiếng Việt Lớp 4
    • Tiếng Anh Lớp 4
    • Lịch Sử và Địa Lí Lớp 4
  • Lớp 3
    • Toán lớp 3
    • Tiếng Anh Lớp 3
    • Tiếng Việt Lớp 3
  • Mẹo Hay
  • Tin tức
  • Liên Hệ
Tài Liệu Học Tập
No Result
View All Result
Home Toán tổng hợp

Bộ 23 đề thi giữa kì 1 Toán 7 năm 2026 có đáp án

by Tranducdoan
04/04/2026
in Toán tổng hợp
0
Đánh giá bài viết

VnDoc xin gửi tới thầy cô và các em học sinh bộ 23 đề thi giữa kì 1 môn Toán lớp 7 theo chương trình của cả ba bộ sách mới: Chân trời sáng tạo, Kết nối tri thức và Cánh diều. Mỗi đề thi đều được biên soạn kèm ma trận, bản đặc tả kỹ thuật cùng đáp án chi tiết, giúp việc giảng dạy và ôn tập trở nên thuận lợi hơn. Các đề được phân loại rõ ràng theo từng bộ sách, tạo điều kiện cho giáo viên dễ dàng sử dụng và học sinh luyện tập hiệu quả. Đây là tài liệu tham khảo hữu ích, giúp các em làm quen nhiều dạng bài kiểm tra Toán 7 khác nhau, rèn luyện kỹ năng và nâng cao kết quả học tập, mời tham khảo.

Lưu ý: Toàn bộ 23 đề thi và đáp án đều có trong file tải, mời thầy cô và các bạn tải về tham khảo trọn bộ tài liệu.

Link tải chi tiết từng bộ đề:

  • Top 10 Đề thi giữa kì 1 Toán 7 Kết nối tri thức
  • Top 6 đề thi giữa kì 1 Toán 7 Chân trời sáng tạo
  • Top 7 đề thi giữa kì 1 Toán 7 Cánh diều có đáp án

Mục Lục Bài Viết

  1. 1. Đề thi giữa kì 1 Toán 7 Kết nối tri thức
    1. Đề số 1
    2. Đề số 2
    3. Đáp án đề kiểm tra giữa kì 1 lớp 7 sách KNTT
  2. 2. Đề thi giữa kì 1 Toán 7 Chân trời sáng tạo
  3. 3. Đề thi giữa kì 1 Toán 7 Cánh diều
  4. 4. Đề thi giữa học kì 1 lớp 7 Tải nhiều

1. Đề thi giữa kì 1 Toán 7 Kết nối tri thức

Đề số 1

Ma trận đề thi giữa học kì 1 Toán 7 KNTT

TT

Chủ đề

Nội dung/Đơn vị kiến thức

Mức độ đánh giá

Tổng % điểm

Nhận biết

Thông hiểu

Vận dụng

Vận dụng cao

TNKQ

TL

TNKQ

TL

TNKQ

TL

TNKQ

TL

1

1_SỐ HỮU TỈ (12 tết)

1.1. Số hữu tỉ và tập hợp số hữ tỉ . Thứ tự trong tập hợp SHT

1

2

3

0,25đ

2đ

2.25đ

1.2. Các phép tính với số HT

2

1

1

1

5

0,50đ

0,50đ

0.5đ

1đ

2.5đ

2

2_SỐ THỰC (04 tết)

2.1. Căn bậc hai số học

1

1

0,25đ

0,25đ

2.2. Số vô tỉ, số thực

2

1

1

4

0,50đ

0,25đ

1đ

1,75đ

3

CÁC HÌNH HỌC CƠ BẢN(10 tết)

3.1. Góc ở vị trí đặc biệt. Tia phân giác của một góc

2

2

0,50đ

0,50đ

3.2. Hai đường thẳng song song. Tiên đề Euclid.

1

1

1

3

0,25đ

0,25đ

1,50đ

2,00đ

3.3 Khái niệm định lí, chứng minh một định lí

1

1

2

0,25đ

1,00đ

1,25đ

Tổng: Số câu

8

2

4

2

3

1

20

Điểm

2,0đ

2đ

1,00đ

2đ

2,đ

1,đ

10,đ

Tỉ lệ %

40%

30%

20%

10%

100%

Tỉ lệ chung

70%

30%

100%

Bản đặc tả đề thi giữa kì 1 Toán 8 KNTT

TT

Chương/Chủ đề

Mức độ đánh giá

Số câu hỏi theo mức độ nhận thức

Nhận biết

Thông hiểu

Vận dụng

Vận dụng cao

ĐAI SỐ

1

SỐ HỮU TỶ

1.1. Số hữu tỉ và tập hợp số hữ tỉ. Thứ tự trong tập hợp SHT

Nhận biết:

– Nhận biết được số hữu tỉ và lấy được ví dụ về số hữu tỉ.

– Nhận biết được tập hợp các số hữu tỉ.

– Nhận biết được số đối của một số hữu tỉ.- Nhận biết được thứ tự trong tập hợp các số hữu tỉ.

3

Thông hiểu: Biểu diễn được số hữu tỉ trên trục số.

1.2.Các phép tính với số HT

Thông hiểu:

– Mô tả được phép tính luỹ thừa với số mũ tự nhiên của một số hữu tỉ và một số tính chất của phép tính đó (tích và thương của hai luỹ thừa cùng cơ số, luỹ thừa của luỹ thừa).

– Mô tả được thứ tự thực hiện các phép tính, quy tắc dấu ngoặc, quy tắc chuyển vế trong tập hợp số hữu tỉ.

3

Vận dụng:

– Thực hiện được các phép tính: cộng, trừ, nhân, chia trong tập hợp số hữu tỉ.

– Vận dụng được các tính chất giao hoán, kết hợp, phân phối của phép nhân đối với phép cộng, quy tắc dấu ngoặc với số hữu tỉ trong tính toán (tính viết và tính nhẩm, tính nhanh một cách hợp lí).

– Giải quyết được một số vấn đề thực tiễn (đơn giản, quen thuộc) gắn với các phép tính về số hữu tỉ. (ví dụ: các bài toán liên quan đến chuyển động trong Vật lí, trong đo đạc,…).

1

Vận dụng cao: Giải quyết được một số vấn đề thực tiễn (phức hợp, không quen thuộc) gắn với các phép tính về số hữu tỉ.

1

2

2. SỐ THỰC

2.1. Căn bậc hai số học

Nhận biết: Nhận biết được khái niệm căn bậc hai số học của một số không âm.

Thông hiểu: Tính được giá trị (đúng hoặc gần đúng) căn bậc hai số học của một số nguyên dương bằng máy tính cầm tay.

1

2.2. Số vô tỉ, số thực

Nhận biết:

– Nhận biết được số thập phân hữu hạn và số thập phân vô hạn tuần hoàn.

– Nhận biết được số vô tỉ, số thực, tập hợp các số thực.

– Nhận biết được trục số thực và biểu diễn được số thực trên trục số trong trường hợp thuận lợi.

– Nhận biết được số đối của một số thực.

– Nhận biết được thứ tự trong tập hợp các số thực.

– Nhận biết được giá trị tuyệt đối của một số thực.

3

Vận dụng: Thực hiện được ước lượng và làm tròn số căn cứ vào độ chính xác cho trước.

1

HÌNH HỌC

3

CÁC HÌNH HỌC CƠ BẢN

3.1. Góc ở vị trí đặc biệt. Tia phân giác của một góc.

Nhận biết :

– Nhận biết được các góc ở vị trí đặc biệt (hai góc kề bù, hai góc đối đỉnh).

– Nhận biết được tia phân giác của một góc.

– Nhận biết được cách vẽ tia phân giác của một góc bằng dụng cụ học tập

2

3.2. Hai đường thẳng song song. Tiên đề Euclid.

Nhận biết: Nhận biết được tiên đề Euclid về đường thẳng song song.

1

Thông hiểu:

– Mô tả được một số tính chất của hai đường thẳng song song.

– Mô tả được dấu hiệu song song của hai đường thẳng thông qua cặp góc đồng vị, cặp góc so le trong.

2

3.3. Khái niệm về định lý. C/m một định lý

Nhận biết: Nhận biết được thế nào là một định lí.

1

Thông hiểu: Hiểu được phần chứng minh của một định lí;

Vận dụng: Chứng minh được một định lí;

1

Cộng

10

6

3

1

Đề thi Toán giữa kì 1 lớp 7 KNTT

Phần 1. Trắc nghiệm khách quan. (3,0 điểm)

Mỗi câu sau đây đều có 4 lựa chọn, trong đó chỉ có 1 phương án đúng. Hãy khoanh tròn vào phương án đúng trong mỗi câu dưới đây:

Câu 1. [NB] Số nào đây thuộc tập hợp số hửu tỉ ?

A. √3

B. -1.4

C. π

D.1,421356237….

Câu 2. [TH] Kết quả của phép tính ((frac{-2}{3}) ^{2}) bằng

Câu 3. [TH] Kết quả của phép tính (frac{3^{7} }{3^{3} })bằng

A. 310

B. 321

C. 1

D. 34

Câu 4. [NB] Căn bậc hai số học của 9 là

A. 3

B. -3

C. 9

D. -9

Câu 5. [NB] Số nào là số vô tỉ trong các số sau

A. 2/3

B. √2

C. 3,5

D. 0

Câu 6. [TH] Kết quả đúng của phép chuyển vế đẳng thức: x-5 = 6 là:

A. x = – 5+6

B. X = -6+5

C. x= 6+5

D. x = -5-6

Câu 7. [NB] Giá trị tuyệt đối của số – √5

A. – √5

B. √5

C. 5

D. -5

Câu 8. [NB] Cho hình vẽ dưới đây, góc xOy đối đỉnh với góc nào?

A. góc xOy’

B. góc x’Oy’

C. góc x’Oy

D. góc xOy

Câu 9. [NB] Cho hình vẽ bên, tia phân giác của góc xOy là tia nào dưới đây?

A. Ox

B. Oy

C. Oz

D. Ot

Câu 10. [NB] Phát biểu nào sau đây diễn đạt đúng nội dung của tiên đề Euclid?

A. Có duy nhất một đường thẳng song song với một đường thẳng cho trước.

B. Điểm M nằm ngoài đường thẳng a. Đường thẳng đi qua M và song song với a là duy nhất.

C. Qua điểm M nằm ngoài đường thẳng a có ít nhất một đường thẳng song song với a

D. Qua điểm M nằm ngoài đường thẳng a có vô số đường thẳng song song với a.

Câu 11. [TH] Cho hình vẽ, khẳng định nào sau đây đúng?

A. m // n vì có hai góc trong cùng phía bù nhau

B. m // n vì có hai góc so le trong bằng nhau

C. m // n vì có hai góc đồng vị bằng nhau

D. m // n vì có hai góc đồng vị bù nhau

Câu 12. [NB] Khẳng định nào dưới đây là một định lý ?

A. Nếu nếu tổng số đo hai góc bằng 1800 thì hai góc ấy là hai góc kề bù

B. Nếu hai góc đối đỉnh thì hai góc đó bằng nhau

C. Nếu hai góc bằng nhau thì hai góc đó đối đỉnh

D. Nếu một điểm cách đều hai đầu đoạn thẳng thì điểm dó là trung điểm của đoạn thẳng ấy.

Phần 2: Tự luận (7,0 điểm)

Bài 1. a) [NB] (0.5đ) Tìm số đối của (-frac{2}{3})

b) [NB] 1.5đ) So sánh hai số: (1frac{1}{2}) và (frac{2}{3})và cho biết điểm (1frac{1}{2}) nằm trước hay sau điểm (frac{2}{3}) trên trục số

Bài 2. Thực hiện phép tính: (1 điểm)

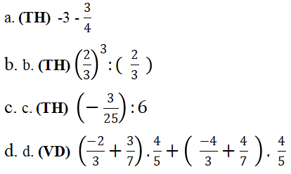
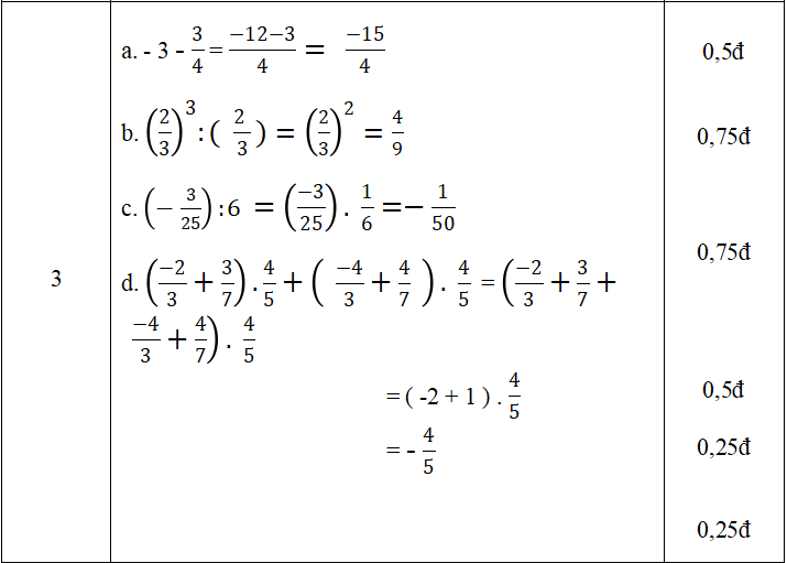
Bài 3. [VD] Thực hiện phép tính: (0.5 điểm)

(0,1.sqrt{4} + 2sqrt{16})

Bài 4. [VDC] Tính giá trị biểu thức: (1 điểm)

Bài 5. [TH] .(1,5 điểm)

Hình vẽ sau và cho biết hai đường thẳng a và b cùng vuông góc với đường thẳng AB và giết góc DCB bằng 600

Tính số đo góc B1

Bài 6. [VD] Vẽ hình, viết giả thiết, kết luận và chứng minh định lý “Hai đường thẳng phân biệt cùng vuông góc với đường thẳng thứ ba thì chúng song song với nhau”. (1 điểm)

– Hết –

Mời các bạn xem đáp án trong file tải về.

Đề số 2

Câu 1. Khẳng định nào sau đây đúng nhất:

Nếu a ∈ℤ thì

A. a ∈ ℝ;

B. a ∈ℚ;

C. Cả A và B đều đúng.

D. Cả A và B đều sai.

Câu 2: Kết quả của phép tính (frac{{22}}{4}:frac{{11}}{8}) bằng:

A. 1 B. 2 C. 3 D. 4

Câu 3: Giá trị x thỏa mãn (frac{3}{4}x = frac{{15}}{{16}}) là:

A. x = frac{{ - 4}}{5}(x = frac{{ – 4}}{5}) B. x = frac{4}{5}(x = frac{4}{5}) C. x = frac{{ - 5}}{4}(x = frac{{ – 5}}{4}) D. x = frac{5}{4}(x = frac{5}{4})

Câu 4: frac{{ - 1}}{6}(frac{{ – 1}}{6}) là kết quả của phép tính:

A. (frac{{22}}{{14}}.frac{7}{{11}}.frac{1}{6}) B. frac{3}{4}.left( {frac{{ - 7}}{{14}}} right).frac{4}{{21}}(frac{3}{4}.left( {frac{{ – 7}}{{14}}} right).frac{4}{{21}}) C. (frac{5}{{16}}.frac{8}{{15}}.2) D. (frac{{ – 4}}{{12}}.left( {frac{{ – 5}}{6}} right).left( {frac{{ – 9}}{{15}}} right))

Câu 5. Trong các số sau đây số nào là số thập phân vô hạn không tuần hoàn:

A. 1,(3);

B. 1,2(21);

C. 1,11111…;

D. 2,64575…

Câu 6. Căn bậc hai số học của số a không âm là:

A. √ a ;

B. − √ a ;

C. √ a và − √ a

D. Không có đáp án.

Câu 7. Cho x = -12. Tính |x + 2|.

A. 10;

B. -10;

C. 12;

D. -12.

Câu 8. Khẳng định nào sau đây là đúng?

A. Chỉ có một giá trị x thỏa mãn x2 = 3 được biểu diễn bởi điểm nằm trước điểm 0, cách 0 một đoạn bằng √ 3 3 trên trục số;

B. Chỉ có một giá trị x thỏa mãn x2 = 3 được biểu diễn bởi điểm nằm sau điểm 0, cách 0 một đoạn bằng √ 3 3 trên trục số;

C. Có hai giá trị x thỏa mãn x2 = 3 được biểu diễn bởi hai điểm, một điểm nằm trước và một điểm nằm sau điểm 0, hai điểm đều cách điểm 0 một khoảng bằng √ 3 3 trên trục số;

D. Không có giá trị nào của x thỏa mãn x2 = 3.

Câu 9. Cho hình vẽ sau:

Số cặp góc kề bù (không kể góc bẹt) có trong hình vẽ trên là

A. 1;

B. 2;

C. 3;

D. 4.

Câu 10. Cho ˆ x O y = 120 ° xOy^=120° , tia Ot là tia phân giác của góc xOy. Số đo góc xOt là:

A.120°;

B. 80°;

C. 60°;

D.150°.

Câu 11. Qua điểm A nằm ngoài đường thẳng x, ta vẽ hai đường thẳng qua A và song song với x thì:

A. Hai đường thẳng đó trùng nhau;

B. Hai đường thẳng cắt nhau tại A;

C. Hai đường thẳng song song;

D. Hai đường thẳng vuông góc.

Câu 12. Định lí sau được phát biểu thành lời là:

Giả thiết

a // b, c ⊥ a

Kết luận

c ⊥ b

A. Nếu một đường thẳng vuông góc một trong hai đường thẳng song song thì nó vuông góc với đường thẳng kia.

B. Nếu một đường thẳng vuông góc với một trong hai đường thẳng song song thì nó song song với đường thẳng kia.

C. Nếu một đường thẳng vuông góc với một trong hai đường thẳng song song thì nó tạo với đường thẳng kia một góc 600.

D. Nếu một đường thẳng vuông góc với một trong hai đường thẳng song song thì nó tạo với đường thẳng kia một góc 1800.

PHẦN II. TỰ LUẬN (7,0 điểm)

Bài 1. (1,5 điểm)

a) Biết biểu thức 68 . 125 viết được dưới dạng 2a . 3b. Tính a – b.

b) Cho a = (√ 99) = 9,94987471… và b = 5,(123).

i) Hai số b là số thập phân hữu hạn, số thập phân vô hạn tuần hoàn hay số vô tỉ? Tìm chữ số thập phân thứ năm của số b.

ii) Ước lượng tích của a và b.

Bài 2. (1,5 điểm) Thực hiện phép tính (bằng cách hợp lí nếu có thể)

(a. 1frac{3}{5}.frac{4}{7}+5frac{2}{3}.frac{4}{7}) (b. frac{3}{8}+left( frac{3}{4}-1frac{1}{5} right):frac{16}{5}) (c. {{left( frac{-4}{3} right)}^{3}}:frac{{{left( frac{-1}{3} right)}^{2}}}{6})

Bài 3. (1,5 điểm) Tìm x biết:

(a. left( x-2 right)left( 3-2x right)=0)(b. frac{1}{3}+frac{2}{3}:x=5)

c) 7,2 : [41 – (2x – 5)] = 23.5;

Bài 4. (2,0 điểm)

Cho đường thẳng xy đi qua điểm O. Vẽ tia Oz sao cho (widehat {xOz} = 135^circ). Vẽ tia Ot sao cho (widehat {yOt} = 90^circ)và (widehat {zOt} = 135^circ). Gọi Ov là tia phân giác của (widehat {xOt}). Các góc (widehat {xOv}) và (widehat {yOz}) có phải là hai góc đối đỉnh không? Vì sao?

Bài 5. (0,5 điểm)

(frac{1}{2} – frac{2}{3} + frac{3}{4} – frac{4}{5} + frac{5}{6} – frac{6}{7} + frac{7}{8} + frac{6}{7} – frac{5}{6} + frac{4}{5} – frac{3}{4} + frac{2}{3} – frac{1}{2} + 1)

Đáp án đề kiểm tra giữa kì 1 lớp 7 sách KNTT

PHẦN I. TRẮC NGHIỆM KHÁCH QUAN (3,0 điểm)

Câu

1

2

3

4

5

6

7

8

9

10

11

12

Đáp án

C

D

D

D

D

A

A

C

B

C

A

A

PHẦN II. TỰ LUẬN (7,0 điểm)

Bài 1. (1,5 điểm)

a) Ta có:

68 . 125 = (2 . 3)8 . (3. 22)5 = 28 . 38 . 35 . (22)5

= 28 . 22 . 5 . 38 + 5 = 28 + 10 . 313 = 218 . 313.

Khi đó a = 18 và b = 13.

Do đó a – b = 18 – 13 = 5.

Vậy a – b = 5.

b.

i) Số b = 5,(123) = 5,12312312… là số thập phân vô hạn tuần hoàn có chu kì là 123.

Chữ số thập phân thứ năm của số b là chữ số 2.

ii) Làm tròn a = √ 99 99 = 9,94987471… đến hàng đơn vị ta được a ≈ 10.

Làm tròn b = 5,12312312… đến hàng đơn vị ta được b ≈ 5.

Khi đó ước lượng tích của a và b là a . b ≈ 10 . 5 = 50.

Bài 2. (1,5 điểm)

(a. 1frac{3}{5}.frac{4}{7}+5frac{2}{3}.frac{4}{7}=frac{8}{5}.frac{4}{7}+frac{17}{3}.frac{4}{7}=frac{4}{7}left( frac{8}{5}+frac{17}{3} right)=frac{4}{7}.left( frac{24}{15}+frac{85}{15} right)=frac{4}{7}.frac{109}{15}=frac{436}{105})

(b. frac{3}{8}+left( frac{3}{4}-1frac{1}{5} right):frac{16}{5})

(=frac{3}{8}+left( frac{3}{4}-frac{6}{5} right).frac{5}{16}=frac{3}{8}+frac{-9}{20}.frac{5}{16}=frac{3}{8}-frac{9}{64}=frac{15}{64})

(c. {{left( frac{-4}{3} right)}^{3}}:frac{{{left( frac{-1}{3} right)}^{2}}}{6}=frac{{{left( -4 right)}^{3}}}{{{3}^{3}}}.frac{6}{frac{1}{{{3}^{2}}}}=-64.6=-384)

Bài 3. (1,5 điểm)

(a. left( x-2 right)left( 3-2x right)=0 Rightarrow left[ begin{matrix} x-2=0 3-2x=0 end{matrix} right.Rightarrow left[ begin{matrix} x=2 x=-dfrac{3}{2} end{matrix} right.)

Vậy (x=2) hoặc (x=-frac{3}{2})

(b. frac{1}{3}+frac{2}{3}:x=5)

(begin{align} & frac{1}{3}+frac{2}{3}:x=5 & Rightarrow frac{2}{3}:x=5-frac{1}{3}=frac{14}{3} & Rightarrow frac{2}{3.x}=frac{14}{3} & Rightarrow x=frac{1}{7} end{align})

Vậy (x=frac{1}{7})

c) 7,2 : [41 – (2x – 5)] = 23 . 5.

7,2 : [41 – (2x – 5)] = 8 . 5

7,2 : [41 – (2x – 5)] = 40

41 – (2x – 5) = 7,2 : 40

41 – (2x – 5) = 0,18

2x – 5 = 41 – 0,18

2x – 5 = 40,82

2x = 40,82 + 5

2x = 45,82

x = 45,82 : 2

x = 22,91

Vậy x = 22,91.

Bài 4. (2,0 điểm)

Vì (widehat {yOt} = 90^circ Rightarrow Oy bot Ot Rightarrow Ox bot Ot) nên (widehat {xOt} = 90^circ)

Vì Ov là tia phân giác của (widehat {xOt}) nên(widehat {xOv} = widehat {vOt} = frac{1}{2}.widehat {xOt} = frac{1}{2}.90^circ = 45^circ)

Vì (widehat {vOx} + widehat {xOz} = 45^circ + 135^circ = 180^circ)nên Ov và Oz là hai tia đối nhau

Như vậy, các góc (widehat {xOv}) và (widehat {yOz}) là hai góc đối đỉnh vì Ox là tia đối của tia Oy, tia Ov là tia đối của tia Oz

Bài 5. (0,5 điểm)

(frac{1}{2} – frac{2}{3} + frac{3}{4} – frac{4}{5} + frac{5}{6} – frac{6}{7} + frac{7}{8} + frac{6}{7} – frac{5}{6} + frac{4}{5} – frac{3}{4} + frac{2}{3} – frac{1}{2} + 1)

(= left( {frac{1}{2} – frac{1}{2}} right) + left( { – frac{2}{3} + frac{2}{3}} right) + left( {frac{3}{4} – frac{3}{4}} right) + left( { – frac{4}{5} + frac{4}{5}} right))

(+ left( {frac{5}{6} – frac{5}{6}} right) + left( { – frac{6}{7} + frac{6}{7}} right) + frac{7}{8} + 1)

(= 0 + frac{7}{8} + 1 = frac{7}{8} + frac{8}{8} = frac{{15}}{8})

2. Đề thi giữa kì 1 Toán 7 Chân trời sáng tạo

I. Trắc nghiệm khách quan: (3 điểm)

Câu 1. (NB) Trong các phân số sau, phân số nào biểu diễn số hữu tỉ (frac{-3}{4})

Câu 2. (NB) Số đối của (frac{-2}{3}) là

Câu 3. (NB) Chọn đáp án đúng trong các đáp án sau

A. 0,6 ∈ N

B. 0,6 ∈ Q

C. 0,6 ∈ I

D. 0,6 ∈ Z

Câu 4. (NB) Cách sắp xếp nào sau đây là đúng

Câu 5. (TH) Số (-frac{2}{3}) được biểu diễn trên trục số bởi hình vẽ nào dưới đây?

Câu 6. (TH) Kết quả của là

Câu 7. (NB) Hình hộp chữ nhật có mấy đỉnh?

A. 4 đỉnh.

B. 6 đỉnh.

C. 8 đỉnh .

D. 12 đỉnh.

Câu 8. (NB) Hình hộp chữ nhật có mấy cạnh ?

A. 12 cạnh.

B. 8 cạnh.

C.6 cạnh.

D. 4 cạnh.

Câu 9. (TH) Thể tích của hình lập phương có cạnh là 3 cm là

A. 9.

B. 12 .

C. 27.

D. 27 .

Câu 10. (NB)Hình lăng trụ đứng tam giác có số mặt bên là

A. 2 mặt.

B. 3 mặt.

C. 4 mặt.

D. 5 mặt.

Câu 11. (NB) Hình lăng trụ đứng tứ giác có số mặt đáy là.

A. 8.

B. 6.

C. 4.

D. 2.

Câu 12. (TH) Diện tích xung quanh của hình lăng trụ đứng tam giác đều có cạnh đáy là 4 cm, chiều cao 5 cm là

A. 20 cm2.

B. 40 cm2.

C. 60 cm2.

D. 80 cm2.

II. Tự luận: (7 điểm)

Câu 1. (NB) (1,0 điểm)Nêu khái niệm số hữu tỉ? Cho 2 ví dụ về số hữu tỉ?

Câu 2. (VD) (1,0 điểm)So sánh các cặp số hữu tỉ sau:

a. (frac{2}{3}) và (frac{4}{5})

b – 0,6 và (frac{-3}{5})

Câu 3. (3,0 điểm) Thực hiện phép tính

Câu 4. (TH) (1,0 điểm) Diện tích toàn phần của hình lập phương là 216 cm2. Thể tích của nó là bao nhiêu ?

Câu 5. (VD) (1,0 điểm) Thùng đựng của một máy cắt cỏ có dạng lăng trụ đứng tam giác. Hãy tính dung tích của thùng .

Đáp án đề kiểm tra giữa kì 1 Toán 7 CTST

I. TRẮC NGHIỆM KHÁCH QUAN (3 điểm) Mỗi câu đúng 0,25 điểm

Câu

1

2

3

4

5

6

7

8

9

10

11

12

Đáp án

D

C

B

A

A

B

C

A

D

B

D

C

II. Tự luận

Ma trận đề thi giữa kì 1 Toán 7

TT

(1)

Chương/Chủ đề

(2)

Nội dung/đơn vị kiến thức

(3)

Mức độ đánh giá

(4-11)

Tổng % điểm

(12)

Nhận biết

Thông hiểu

Vận dụng

Vận dụng cao

TNKQ

TL

TNKQ

TL

TNKQ

TL

TNKQ

TL

1

Số hữu tỉ

Số hữu tỉ và tập hợp các số hữu tỉ. Thứ tự trong tập hợp các số hữu tỉ

4

1đ

1

1đ

1

0,25đ

2

1đ

8

32,5

Các phép tính với số hữu tỉ

1

0,25đ

3

2đ

1

1đ

5

32,5

2

Các hình khối trong thực tiễn

Hình hộp chữ nhật và hình lập phương

2

0,5đ

1

0,25đ

1

1đ

4

17,5

Lăng trụ đứng tam giác, lăng trụ đứng tứ giác

2

0,5đ

1

0,25đ

1

1đ

4

17,5

Tổng

8

2đ

1

1đ

4

1đ

4

3đ

4

3đ

21

10đ

Tỉ lệ %

30%

40%

30%

0%

100

Tỉ lệ chung

70%

30%

100

Bản đặc tả đề thi giữa kì 1 Toán 7

TT

Chương/

Chủ đề

Nội dung/Đơn vị kiến thức

Mức độ đánh giá

Số câu hỏi theo mức độ nhận thức

Nhận biết

Thông hiểu

Vận dụng

Vận dụng cao

1

Số hữu tỉ

Số hữu tỉ và tập hợp các số hữu tỉ. Thứ tự trong tập hợp các số hữu tỉ

Nhận biết

– Nhận biết được số hữu tỉ và lấy được ví dụ về số hữu tỉ.

– Nhận biết được tập hợp các số hữu tỉ.

– Nhận biết được số đối của một số hữu tỉ.

– Nhận biết được thứ tự trong tập hợp các số hữu tỉ.

4 (TN1, 2, 3, 4)

1(TL1)

Thông hiểu

– Biểu diễn được số hữu tỉ trên trục số.

1(TN 5)

Vận dụng

– So sánh được hai số hữu tỉ.

2

(TL2a, b)

Các phép tính với số hữu tỉ

Thông hiểu

– Mô tả được phép tính luỹ thừa với số mũ tự nhiên của một số hữu tỉ và một số tính chất của phép tính đó (tích và thương của hai luỹ thừa cùng cơ số, luỹ thừa của luỹ thừa).

– Mô tả được thứ tự thực hiện các phép tính, quy tắc dấu ngoặc, quy tắc chuyển vế trong tập hợp số hữu tỉ.

1(TN 6)

3(TL3a, b, c)

Vận dụng

– Thực hiện được các phép tính: cộng, trừ, nhân, chia trong tập hợp số hữu tỉ.

– Vận dụng được các tính chất giao hoán, kết hợp, phân phối của phép nhân đối với phép cộng, quy tắc dấu ngoặc với số hữu tỉ trong tính toán (tính viết và tính nhẩm, tính nhanh một cách hợp lí).

– Giải quyết được một số vấn đề thực tiễn (đơn giản, quen thuộc) gắn với các phép tính về số hữu tỉ. (ví dụ: các bài toán liên quan đến chuyển động trong Vật lí, trong đo đạc,…).

1(TL3d)

Vận dụng cao:

– Giải quyết được một số vấn đề thực tiễn (phức hợp, không quen thuộc) gắn với các phép tính về số hữu tỉ.

2

Các hình khối trong thực tiễn

Hình hộp chữ nhật và hình lập phương

Nhận biết

– Mô tả được một số yếu tố cơ bản (đỉnh, cạnh, góc, đường chéo) của hình hộp chữ nhật và hình lập phương.

2

(TN 7, 8)

Thông hiểu

– Giải quyết được một số vấn đề thực tiễn gắn với việc tính thể tích, diện tích xung quanh của hình hộp chữ nhật, hình lập phương (ví dụ: tính thể tích hoặc diện tích xung quanh của một số đồ vật quen thuộc có dạng hình hộp chữ nhật, hình lập phương,…).

1(TN 9)

1(TL4)

Lăng trụ đứng tam giác, lăng trụ đứng tứ giác

Nhận biết

-Mô tả được hình lăng trụ đứng tam giác, hình lăng trụ đứng tứ giác (ví dụ: hai mặt đáy là song song; các mặt bên đều là hình chữ nhật, …)

2(TN10, 11)

Thông hiểu

– Tạo lập được hình lăng trụ đứng tam giác, hình lăng trụ đứng tứ giác.

– Tính được diện tích xung quanh, thể tích của hình lăng trụ đứng tam giác, hình lăng trụ đứng tứ giác.

– Giải quyết được một số vấn đề thực tiễn gắn với việc tính thể tích, diện tích xung quanh của một lăng trụ đứng tam giác, hình lăng trụ đứng tứ giác (ví dụ: tính thể tích hoặc diện tích xung quanh của một số đồ vật quen thuộc có dạng lăng trụ đứng tam giác, lăng trụ đứng tứ giác,…).

1(TN12)

Vận dụng

– Giải quyết được một số vấn đề thực tiễn gắn với việc tính thể tích, diện tích xung quanh của một lăng trụ đứng tam giác, hình lăng trụ đứng tứ giác.

1(TL5)

Tổng

8(TN)

1(TL)

4(TN)

4(TL)

4(TL)

Tỉ lệ %

30%

40%

30%

Tỉ lệ chung

70%

30%

3. Đề thi giữa kì 1 Toán 7 Cánh diều

Đề thi giữa kì 1 Toán 7 Cánh diều Đề 1

PHẦN I. TRẮC NGHIỆM (3,0 điểm).

Chọn đáp án đúng trong các câu sau:

Câu 1. NB. Số đối của (frac{-2}{3})là

Câu 2. TH. Cách biểu diễn số trên trục số nào dưới đây đúng.

Câu 3. NB. Số đối của (4frac{1}{3}); (sqrt{5}); (-sqrt{44}) lần lượt là

Câu 4. TH. Giá trị của biểu thức 25 . (frac{1}{_{2}2 }) là

A. 1.

B. 8.

C. 92

D. 94

Câu 5. NB. Trong các cách viết sau, cách viết nào biểu diển số hữu tỉ?

Câu 6. NB. Các mặt bên của hình lăng trụ đứng ABCD.A’B’C’D’ có mặt BB’C’C là

A. Các hình bình hành.

C. Các hình chữ nhật.

B. Các hình thang cân.

D. Các hình vuông.

Câu 7. NB. Hình lăng trụ đứng tam giác có số cạnh là

A. 8 .

B. 12

C. 9

D. 10

Câu 8. NB. Hình hộp chữ nhật có mặt là hình gì?

A. Hình vuông.

B. Hình chữ nhật.

C. Hình bình hành.

D. Hình thoi.

Câu 9. NB. Công thức tính diện tích xung quanh của hình hộp chữ nhật với chiều dài là, chiều rộng là, chiều cao là (cùng đơn vị đo) là:

Còn tiếp………….

Xem toàn bộ đề và đáp án trong file tải về hoặc xem tại đây: Đề kiểm tra giữa kì 1 Toán 7 Cánh diều có đáp án

Đề kiểm tra giữa kì 1 Toán 7 Cánh diều – Đề 2

I. TRẮC NGHIỆM ( 3 điểm)

Chọn chữ cái A, B, C hoặc D đứng trước câu trả lời đúng.

Câu 1: Phân số biểu diễn số hữu tỉ -0,6 là:

A. (dfrac{6}{{10}})

B. (dfrac{{ – 6}}{1})

C. (dfrac{{ – 12}}{{10}})

D. (dfrac{{18}}{{ – 30}})

Câu 2: Kết quả của phép tính: (left( {dfrac{2}{3} – dfrac{5}{4}} right):dfrac{{21}}{{12}}) là:

A. 3

B. -3

C. -2

D. -4

Câu 3: Giá trị của x trong biểu thức (- {x^3} = 27) là:

A. (pm 3)

B. (pm 9)

C. 3

D. -3

Câu 4: Hình hộp chữ nhật có bao nhiêu cạnh?

A. 4

B. 6

C. 8

D. 12

Câu 5: Thể tích của hình lăng trụ đứng tứ giác có đáy là hình thoi có 2 đường chéo 8 cm, 12 cm; chiều cao 20 cm là:

A. 96cm2

B. 96ccm2

C. 192cm2

D. 192cm2

Câu 6: Để dán kín các mặt của hình lập phương cạnh 8m cần diện tích giấy là bao nhiêu ?

A. 48m2

B. 64m2

C. 512m2

D. 384m2

II. TỰ LUẬN ( 7 ĐIỂM)

Câu 7: ( 1 điểm) Thực hiện phép tính (tính nhanh nếu có thể).

a) (dfrac{{13}}{{25}} – dfrac{{31}}{{41}} + dfrac{{12}}{{25}} – dfrac{{10}}{{41}} – 0,5)

b) ({( – 2)^3} – {left( { – dfrac{1}{2}} right)^2}:dfrac{{ – 1}}{{16}} – {2023^0})

Câu 8: (1 điểm) Tìm x, biết:

a) (dfrac{1}{3}x – dfrac{2}{5} = dfrac{{ – 7}}{{15}}) b) ({2^{x – 3}} – {3.2^x} + 92 = 0)

Câu 9: (1 điểm)

Vào dịp Tết Nguyên đán, bà Ngọc dự định gói 20 cái bánh chưng cho gia đình. Nguyên liệu làm bánh gồm gạo nếp, đậu xanh, thịt lợn và lá dong. Mỗi cái bánh chưng sau khi gói nặng 0,75 kg gồm 0,45 kg gạo; 0,125 kg đậu xanh, 0,04 kg lá dong, còn lại là thịt. Hỏi khối lượng thịt bà cần chuẩn bị để gói bánh là khoảng bao nhiêu?

Câu 10: (3,5 điểm)

Một bể nước có dạng hình hộp chữ nhật với chiều dài 3 m. Lúc đầu bể không có nước. Sau khi đổ vào bể 120 thùng nước, mỗi thùng chứa 20 lít nước thì mực nước của bể dâng cao 0,8 m.

a) Tính chiều rộng của bể nước

b) Người ta đổ thêm 60 thùng nước thì đầy bể. Hỏi bể nước cao bao nhiêu mét?

2. Tính diện tích xung quanh và thể tích hình lăng trụ đứng trong hình 10.33.

Câu 11: (0,5 điểm)

Tìm số hữu tỉ x sao cho:

(dfrac{{x + 1}}{{2023}} + dfrac{{x + 2}}{{2022}} = dfrac{{x + 3}}{{2021}} + dfrac{{x + 4}}{{2020}})

Đáp án đề thi giữa kì 1 Toán 7 Cánh diều

I. TRẮC NGHIỆM ( 3 điểm)

Câu 1: D

Câu 2: C

Câu 3: D

Câu 4: D

Câu 5: B

Câu 6: D

II. TỰ LUẬN ( 7 ĐIỂM)

Câu 7: ( 1 điểm) Thực hiện phép tính (tính nhanh nếu có thể).

a)

(begin{array}{l}dfrac{{13}}{{25}} – dfrac{{31}}{{41}} + dfrac{{12}}{{25}} – dfrac{{10}}{{41}} – 0,5 = left( {dfrac{{13}}{{25}} + dfrac{{12}}{{25}}} right) + left( { – dfrac{{31}}{{41}} – dfrac{{10}}{{41}}} right) – 0,5 = dfrac{{25}}{{25}} + dfrac{{ – 41}}{{41}} – 0,5 = 1 + left( { – 1} right) – 0,5 = – 0,5end{array})

b)

(begin{array}{l}{( – 2)^3} – {left( { – dfrac{1}{2}} right)^2}:dfrac{{ – 1}}{{16}} – {2023^0} = left( { – 8} right) – dfrac{1}{4}.left( { – 16} right) – 1 = left( { – 8} right) – left( { – 4} right) – 1 = left( { – 8} right) + 4 – 1 = – 5end{array})

Câu 8: (1 điểm) Tìm x, biết:

a)

(begin{array}{l}dfrac{1}{3}x – dfrac{2}{5} = dfrac{{ – 7}}{{15}}dfrac{1}{3}x = dfrac{{ – 7}}{{15}} + dfrac{2}{5}dfrac{1}{3}x = dfrac{{ – 7}}{{15}} + dfrac{6}{{15}}dfrac{1}{3}x = dfrac{{ – 1}}{{15}}x = dfrac{{ – 1}}{{15}}:dfrac{1}{3}x = dfrac{{ – 1}}{{15}}.3x = dfrac{{ – 1}}{5}end{array})

Vậy (x = dfrac{{ – 1}}{5})

b)

(begin{array}{l}{2^{x – 3}} – {3.2^x} + 92 = 0{2^{x – 3}} – {3.2^3}{.2^{x – 3}} = – 92{2^{x – 3}} – {24.2^{x – 3}} = – 92{2^{x – 3}}.left( {1 – 24} right) = – 92{2^{x – 3}}.left( { – 23} right) = – 92{2^{x – 3}} = left( { – 92} right):left( { – 23} right){2^{x – 3}} = 4{2^{x – 3}} = {2^2}x – 3 = 2x = 5end{array})

Vậy x = 5

Câu 9: (1 điểm)

Khối lượng thịt trong 1 cái bánh chưng khoảng:

0,75 – (0,45 + 0,125 + 0,04) = 0,135 (kg)

Khối lượng thịt trong 20 cái bánh chưng khoảng:

0,135 . 20 = 2,7 (kg)

Vậy bà Ngọc cần chuẩn bị khoảng 2,7 kg thịt.

Câu 10: (3,5 điểm)

a) Thể tích 120 thùng nước là: 120 . 20=2400 (l) = 2,4 m3

Chiều rộng của bể nước là: 2,4 : (3.0,8) = 1 (m)

b) Thể tích 60 thùng nước là: 60 . 20 = 1200 (l) = 1,2 m3

Do người ta đổ thêm 60 thùng nước nữa thì đầy bể, nên thể tích của bể là: V = 2,4 + 1,2 = 3,6 (m3)

Chiều cao của bể là: 3,6 : (3.1) = 1,2 (m)

2.

Diện tích xung quanh hình lăng trụ đứng là :

Sxq = Cđấy . h = (6 + 10 + 8) .15 = 360 (m2 )

Diện tích một đáy của hình lăng trụ là :

S đấy = (frac{6 . 8}{2})= 24 (m2 )

Thể tích của hình lăng trụ đứng là

V = Sđáy . h = 24.15 = 360 ( m3)

Câu 11: (0,5 điểm)

(begin{array}{l}dfrac{{x + 1}}{{2023}} + dfrac{{x + 2}}{{2022}} = dfrac{{x + 3}}{{2021}} + dfrac{{x + 4}}{{2020}} Leftrightarrow left( {dfrac{{x + 1}}{{2023}} + 1} right) + left( {dfrac{{x + 2}}{{2022}} + 1} right) = left( {dfrac{{x + 3}}{{2021}} + 1} right) + left( {dfrac{{x + 4}}{{2020}} + 1} right) Leftrightarrow dfrac{{x + 2024}}{{2023}} + dfrac{{x + 2024}}{{2022}} = dfrac{{x + 2024}}{{2021}} + dfrac{{x + 2024}}{{2020}} Leftrightarrow dfrac{{x + 2024}}{{2023}} + dfrac{{x + 2024}}{{2022}} – dfrac{{x + 2024}}{{2021}} – dfrac{{x + 2024}}{{2020}} = 0 Leftrightarrow left( {x + 2024} right).left( {dfrac{1}{{2023}} + dfrac{1}{{2022}} – dfrac{1}{{2021}} – dfrac{1}{{2020}}} right) = 0 Leftrightarrow left( {x + 2024} right) = 0 Leftrightarrow x = – 2024end{array})

Vậy x = -2024

4. Đề thi giữa học kì 1 lớp 7 Tải nhiều

  • Bộ đề thi giữa kì 1 lớp 7 đầy đủ các môn
  • Bộ đề thi giữa kì 1 Toán 7 có đáp án
  • Bộ đề thi giữa kì 1 Toán 7 Chân trời sáng tạo có đáp án
  • Bộ đề thi giữa kì 1 Toán 7 Cánh diều có đáp án
  • Bộ đề thi giữa học kì 1 lớp 7 môn Văn
  • Bộ 7 đề thi tiếng Anh lớp 7 giữa học kì 1 có đáp án
  • Bộ đề thi giữa kì 1 lớp 7 Chân trời sáng tạo – Tất cả các môn
  • Đề thi giữa kì 1 lớp 7 Cánh Diều – Tất cả các môn
  • Đề thi giữa kì 1 lớp 7 Kết nối tri thức – Tất cả các môn
  • Bộ đề thi giữa học kì 1 lớp 7 môn Lịch sử và Địa lí
  • Top 3 đề thi giữa kì 1 lớp 7 môn Lịch sử và Địa lí
  • Đề thi giữa học kì 1 lớp 7 môn Tin học
Previous Post

Địa lý hay địa lí là đúng chính tả?

Next Post

Phân biệt Melodic Rap và nhạc R&B

Tranducdoan

Tranducdoan

Trần Đức Đoàn sinh năm 1999, anh chàng đẹp trai đến từ Thái Bình. Hiện đang theo học và làm việc tại trường cao đẳng FPT Polytechnic

Next Post

Phân biệt Melodic Rap và nhạc R&B

thời tiết miền bắc đọc sách online cm88 Socolive trực tiếp https://p789bet.biz/ cm88 com sumclub socolive Bom88 tic88 f168 https://mb66.black/ https://ok9.watch/ xoilactv tructiepbongda Xoilac Xoilac365 cakhia tv Trực tiếp bóng đá 90phut Mu88 https://gurkit.io/ phim mới go99 kubet hello88 789win febet Luckywin
Tài Liệu Học Tập

Copyright © 2022 Tài Liệu Học Tập.

Chuyên Mục

  • Đề Thi
  • Lớp 12
  • Lớp 11
  • Lớp 10
  • Lớp 9
  • Lớp 8
  • Lớp 7
  • Lớp 6
  • Lớp 5
  • Lớp 4
  • Lớp 3
  • Mẹo Hay
  • Tin tức
  • Liên Hệ

Tham Gia Group Tài Liệu Học Tập

No Result
View All Result
  • Đề Thi
  • Lớp 12
    • Lịch Sử Lớp 12
    • Địa Lí Lớp 12
    • Ngữ Văn Lớp 12
    • GD KTPL Lớp 12
    • Toán Lớp 12
    • Tiếng Anh Lớp 12
    • Hóa Học Lớp 12
    • Sinh Học Lớp 12
    • Vật Lí Lớp 12
  • Lớp 11
    • Toán Lớp 11
    • Ngữ Văn Lớp 11
    • Tiếng Anh Lớp 11
    • Hóa Học Lớp 11
    • Sinh Học Lớp 11
    • Vật Lí Lớp 11
    • Lịch Sử Lớp 11
    • Địa Lí Lớp 11
    • GDCD Lớp 11
  • Lớp 10
    • Toán Lớp 10
    • Ngữ Văn Lớp 10
    • Tiếng Anh Lớp 10
    • Hóa Học Lớp 10
    • Sinh Học Lớp 10
    • Vật Lí Lớp 10
    • Lịch Sử Lớp 10
    • Địa Lí Lớp 10
    • GDKTPL Lớp 10
    • Công nghệ lớp 10
    • Tin Học Lớp 10
  • Lớp 9
    • Toán Lớp 9
    • Ngữ Văn Lớp 9
    • Tiếng Anh Lớp 9
    • Lịch sử và địa lý lớp 9
    • Khoa Học Tự Nhiên Lớp 9
    • GDCD Lớp 9
  • Lớp 8
    • Toán Lớp 8
    • Ngữ Văn Lớp 8
    • Tiếng Anh Lớp 8
    • Lịch sử và địa lý lớp 8
    • Khoa Học Tự Nhiên Lớp 8
    • GDCD 8
  • Lớp 7
    • Toán Lớp 7
    • Văn Lớp 7
    • Tiếng Anh Lớp 7
    • Lịch Sử Và Địa Lí Lớp 7
    • Khoa Học Tự Nhiên Lớp 7
  • Lớp 6
    • Toán Lớp 6
    • Văn Lớp 6
    • Tiếng Anh lớp 6
    • Lịch Sử và Địa Lí Lớp 6
    • Khoa Học Tự Nhiên lớp 6
  • Lớp 5
    • Toán lớp 5
    • Tiếng Việt Lớp 5
    • Tiếng Anh Lớp 5
    • Lịch Sử và Địa Lí Lớp 5
  • Lớp 4
    • Toán lớp 4
    • Tiếng Việt Lớp 4
    • Tiếng Anh Lớp 4
    • Lịch Sử và Địa Lí Lớp 4
  • Lớp 3
    • Toán lớp 3
    • Tiếng Anh Lớp 3
    • Tiếng Việt Lớp 3
  • Mẹo Hay
  • Tin tức
  • Liên Hệ

Copyright © 2022 Tài Liệu Học Tập.