Tài Liệu Học Tập
No Result
View All Result
  • Đề Thi
  • Lớp 12
    • Lịch Sử Lớp 12
    • Địa Lí Lớp 12
    • Ngữ Văn Lớp 12
    • GD KTPL Lớp 12
    • Toán Lớp 12
    • Tiếng Anh Lớp 12
    • Hóa Học Lớp 12
    • Sinh Học Lớp 12
    • Vật Lí Lớp 12
  • Lớp 11
    • Toán Lớp 11
    • Ngữ Văn Lớp 11
    • Tiếng Anh Lớp 11
    • Hóa Học Lớp 11
    • Sinh Học Lớp 11
    • Vật Lí Lớp 11
    • Lịch Sử Lớp 11
    • Địa Lí Lớp 11
    • GDCD Lớp 11
  • Lớp 10
    • Toán Lớp 10
    • Ngữ Văn Lớp 10
    • Tiếng Anh Lớp 10
    • Hóa Học Lớp 10
    • Sinh Học Lớp 10
    • Vật Lí Lớp 10
    • Lịch Sử Lớp 10
    • Địa Lí Lớp 10
    • GDKTPL Lớp 10
    • Công nghệ lớp 10
    • Tin Học Lớp 10
  • Lớp 9
    • Toán Lớp 9
    • Ngữ Văn Lớp 9
    • Tiếng Anh Lớp 9
    • Lịch sử và địa lý lớp 9
    • Khoa Học Tự Nhiên Lớp 9
    • GDCD Lớp 9
  • Lớp 8
    • Toán Lớp 8
    • Ngữ Văn Lớp 8
    • Tiếng Anh Lớp 8
    • Lịch sử và địa lý lớp 8
    • Khoa Học Tự Nhiên Lớp 8
    • GDCD 8
  • Lớp 7
    • Toán Lớp 7
    • Văn Lớp 7
    • Tiếng Anh Lớp 7
    • Lịch Sử Và Địa Lí Lớp 7
    • Khoa Học Tự Nhiên Lớp 7
  • Lớp 6
    • Toán Lớp 6
    • Văn Lớp 6
    • Tiếng Anh lớp 6
    • Lịch Sử và Địa Lí Lớp 6
    • Khoa Học Tự Nhiên lớp 6
  • Lớp 5
    • Toán lớp 5
    • Tiếng Việt Lớp 5
    • Tiếng Anh Lớp 5
    • Lịch Sử và Địa Lí Lớp 5
  • Lớp 4
    • Toán lớp 4
    • Tiếng Việt Lớp 4
    • Tiếng Anh Lớp 4
    • Lịch Sử và Địa Lí Lớp 4
  • Lớp 3
    • Toán lớp 3
    • Tiếng Anh Lớp 3
    • Tiếng Việt Lớp 3
  • Mẹo Hay
  • Tin tức
  • Liên Hệ
Tài Liệu Học Tập
No Result
View All Result
Home Toán tổng hợp

Tổng hợp đề thi giữa kì 2 môn Toán 10 Kết nối tri thức, chân trời sáng tạo, cánh diều

by Tranducdoan
12/01/2026
in Toán tổng hợp
0
Đánh giá bài viết

Mục Lục Bài Viết

  1. 1. Ma trận đề thi giữa kì 2 môn toán 10
  2. 2. Đề thi giữa kì 2 môn Toán 10 Kết nối tri thức
    1. 2.1 Đề thi
    2. 2.2 Đáp án
  3. 3. Đề thi giữa kì 2 môn Toán 10 Chân trời sáng tạo
    1. 3.1 Đề thi
    2. 3.2 Đáp án
  4. 4. Đề thi giữa kì 2 môn Toán 10 Cánh diều
    1. 4.1 Đề thi
    2. 4.2 Đáp án

1. Ma trận đề thi giữa kì 2 môn toán 10

Dưới đây là ma trận đề thi giữa kì 2 môn Toán 10 tham khảo:

STT Nội dung kiến thức Đơn vị kiến thức Nhận biết Thông hiểu Vận dụng Vận dụng cao 1 Hàm số, đồ thị và ứng dụng Hàm số 2 1 0 0 Hàm số bậc hai 2 1 1 0 Dấu của tam thức bậc hai 2 1 0 1 Phương trình quy về phương trình bậc hai 1 1 1 0 2 Phương pháp tọa độ trong mặt phẳng Phương trình đường thẳng 1 2 1 0 Vị trí tương đối giữa hai đường thẳng, góc và khoảng cách 2 2 0 0 Đường tròn 2 1 0 1

Cấu trúc đề thi giữa kì 2 môn Toán 10 gồm 26 câu trong đó có 21 câu hỏi trắc nghiệm và 5 câu hỏi tự luận. Các câu hỏi trắc nghiệm thuộc mức độ nhận thức nhận biết và thông hiểu còn 5 câu tự luận thuộc câu hỏi vận dụng và vận dụng cao. Mỗi câu hỏi trắc nghiệm sẽ có số điểm là 0.2 điểm một câu. Còn câu hỏi tự luận sẽ có số điểm cụ thể tùy từng dạng bài và sẽ được ghi chú rõ trong đề thi.

2. Đề thi giữa kì 2 môn Toán 10 Kết nối tri thức

2.1 Đề thi

6b52 C4 90 E1 BB 81 thi gi E1 BB AFa h E1 BB 8Dc ki 2 mon toan 10 sach k E1 BA BFt n E1 BB 91i tri th E1 BB A9c co l E1 BB 9Di gi E1 BA A3i C4 90 E1 BB 81 08 000012d62 C4 90 E1 BB 81 thi gi E1 BB AFa h E1 BB 8Dc ki 2 mon toan 10 sach k E1 BA BFt n E1 BB 91i tri th E1 BB A9c co l E1 BB 9Di gi E1 BA A3i C4 90 E1 BB 81 08 000021171 C4 90 E1 BB 81 thi gi E1 BB AFa h E1 BB 8Dc ki 2 mon toan 10 sach k E1 BA BFt n E1 BB 91i tri th E1 BB A9c co l E1 BB 9Di gi E1 BA A3i C4 90 E1 BB 81 08 00003e36b C4 90 E1 BB 81 thi gi E1 BB AFa h E1 BB 8Dc ki 2 mon toan 10 sach k E1 BA BFt n E1 BB 91i tri th E1 BB A9c co l E1 BB 9Di gi E1 BA A3i C4 90 E1 BB 81 08 000042909 C4 90 E1 BB 81 thi gi E1 BB AFa h E1 BB 8Dc ki 2 mon toan 10 sach k E1 BA BFt n E1 BB 91i tri th E1 BB A9c co l E1 BB 9Di gi E1 BA A3i C4 90 E1 BB 81 08 00005e07c C4 90 E1 BB 81 thi gi E1 BB AFa h E1 BB 8Dc ki 2 mon toan 10 sach k E1 BA BFt n E1 BB 91i tri th E1 BB A9c co l E1 BB 9Di gi E1 BA A3i C4 90 E1 BB 81 08 00006

2.2 Đáp án

a. Trắc nghiệm

1. A 2. C 3. B 4. D 5. D 6. B 7. D 8. C 9. D 10. C 11. C 12. D 13. C 14. A 15. D 16. B 17. D 18. A 19. C 20. A 21. A 22. C 23. C 24. C 25. A 26. D 27. D 28. C 29. A 30. C 31. C 32. B 33. A 34. A 35. D

b. Tự luận

Câu 36:

Tập xác định của hàm số là tập hợp các giá trị của thỏa mãn điều kiện: large left{begin{matrix} -2x+3m+2geq 0 &  2x+4m-8neq 0 & end{matrix}right.Leftrightarrow left{begin{matrix} xleq frac{3m+2}{2} &  xneq 4-2m& end{matrix}right.

Để hàm số xác định trên khoảng cần có:

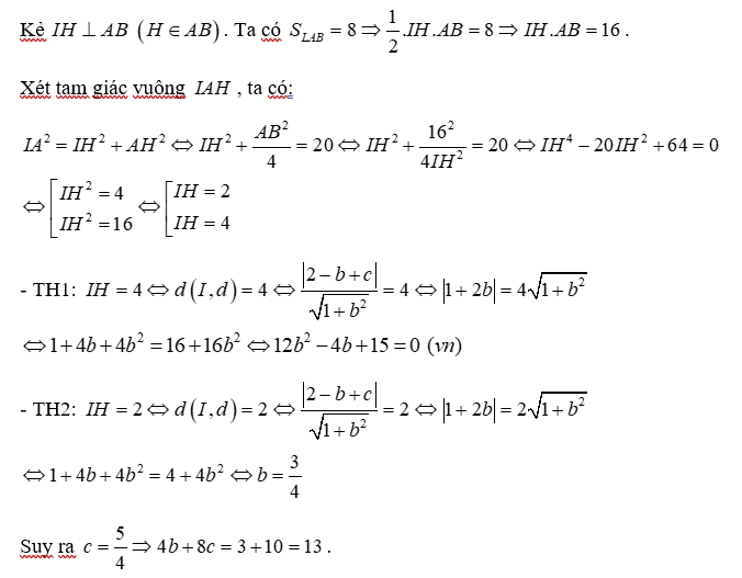
Câu 37:

de thi giua ki 2 toan 10 trac nghiem 1

de thi giua ki 2 toan 10 trac nghiem 2

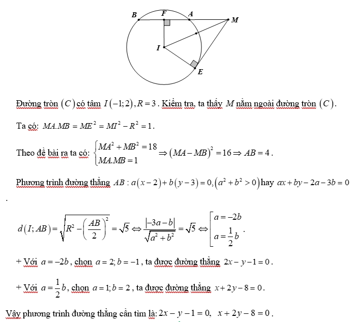
Câu 38:

c15b C4 90 E1 BB 81 thi gi E1 BB AFa h E1 BB 8Dc ki 2 mon toan 10 sach chan tr E1 BB 9Di sang t E1 BA A1o co l E1 BB 9Di gi E1 BA A3i C4 90 E1 BB 81 10 00001

– AM = x ; AB = 4 => MB = 4 – x, nên bán kính đường tròn đường kính AM là x/2, bán kính đường tròn đường kính MB là (4-x)/2.

– Diện tích hình tròn đường kính AM là: large S_{1}=pi frac{x^{2}}{4}

– Diện tích hình tròn đường kính MB là: large S_{2}=pi frac{(4-x)^{2}}{4}

– Diện tích hình tròn đường kính AB là: S = large pi16

– Diện tích:

– Theo đề bài ta có S(x) 1/2(S1 + S2)

large Leftrightarrow -2x^{2}+8x+48leq frac{1}{2}(x^{2}+(4-x)^{2})

large Leftrightarrow -2x^{2}+8x+48leq x^{2}-x+8

large Leftrightarrow-2,45leq xleq 5,45

Mà x > 0 nên ta có: 0 < x 5,45

Câu 39:

93da C4 90 E1 BB 81 thi gi E1 BB AFa h E1 BB 8Dc ki 2 mon toan 10 sach canh di E1 BB 81u co l E1 BB 9Di gi E1 BA A3i C4 90 E1 BB 81 10 00003

Đăng ký ngay để được các thầy cô tổng hợp trọn bộ kiến thức toán 10 và có sự chuẩn bị sớm cho kỳ thi THPT Quốc gia

87a1 C4 90 E1 BB 81 thi gi E1 BB AFa h E1 BB 8Dc ki 2 mon toan 10 sach canh di E1 BB 81u co l E1 BB 9Di gi E1 BA A3i C4 90 E1 BB 81 10 00004

3. Đề thi giữa kì 2 môn Toán 10 Chân trời sáng tạo

3.1 Đề thi

3.2 Đáp án

a. Trắc nghiệm

1. C 2. C 3. D 4. D 5. C 6. D 7. C 8. C 9. B 10. B 11. A 12. B 13. D 14. D 15. B 16. D 17. C 18. D 19. C 20. B 21. C 22. B 23. C 24. A 25. B 26. B 27. A 28. B 29. D 30. C 31. B 32. D 33. C 34. D 35. C

b. Tự luận

Câu 36:

– Ta có số tam giác ( vuông, nhọn, tù ) được được tạo thành từ 3 trong 100 đỉnh của đa giác là: – Ta tìm số tam giác vuông: Mỗi đường chéo qua tâm và một đỉnh còn lại sẽ tạo thành một tam giác vuông = > Số tam giác vuông là : 50. 98 – Ta tìm số tam giác tù: với mỗi đỉnh của tam giác ta chọn thêm 2 đỉnh nằm về cùng phía đối với nửa đường tròn (trừ đỉnh đối xứng qua tâm) thì ta được một tam giác tù. = > Số tam giác tù là : 100 Kết luận : Số tam giác nhọn được tạo thành là: – 50.98 – 100 = 3920

Câu 37:

Câu 38:

Điều kiện:

Phương trình đã cho ta có:

hoặc x = 4 hoặc

Để phương trình có đúng 2 nghiệm phân biệt thì:

Vì m nguyên dưng nên 1 m 14.

Câu 39:

Gọi phương trình đường thẳng d: y = ax + b

Vì đường thẳng d đi qua điểm K(1;4) nên a+ b = 4

Đường thẳng d: y = ax + b cắt hai tia Ox và Oy lần lượt là:

Theo giả thiết ta có:

Do đó:

Do

Vậy phương trình đường thẳng d: y = – 4x + 8

Đăng ký ngay để nhận bí kíp nắm trọn kiến thức và phương pháp giải mọi dạng bài tập đạt mục tiêu 9+ thi Toán THPT Quốc Gia

4. Đề thi giữa kì 2 môn Toán 10 Cánh diều

4.1 Đề thi

4.2 Đáp án

a. Trắc nghiệm:

1. B 2. C 3. D 4. A 5. A 6. A 7. C 8. C 9. A 10. C 11. C 12. D 13. D 14. A 15. C 16. B 17. D 18. C 19. D 20. C 21. C 22. B 23. B 24. D 25. C 26. D 27. C 28. B 29. A 30. B 31. D 32. C 33. B 34. D 35. C

b. Tự luận

Câu 36:

– Ta có số tam giác ( vuông, nhọn, tù ) được được tạo thành từ 3 trong 100 đỉnh của đa giác là: – Ta tìm số tam giác vuông: Mỗi đường chéo qua tâm và một đỉnh còn lại sẽ tạo thành một tam giác vuông = > Số tam giác vuông là : 50. 98 – Ta tìm số tam giác tù: với mỗi đỉnh của tam giác ta chọn thêm 2 đỉnh nằm về cùng phía đối với nửa đường tròn (trừ đỉnh đối xứng qua tâm) thì ta được một tam giác tù. = > Số tam giác tù là : 100 Kết luận : Số tam giác nhọn được tạo thành là: – 50.98 – 100 = 3920

Câu 37:

ABC có: A(-1;1) ; B(1;3) và trọng tâm G (-2;2/3)

Ta có:

Có M thuộc tia Oy => M(0;m), với M > 0 ta có:

Lại có ABC vuông tại M BM CM

m = 4 (nhận vì m > 0) hoặc m = -3 (loại vì m < 0)

Vậy điểm M(0,4)

Câu 38:

Số tam giác được tạo thành là: Gọi A = “Chọn được ba đỉnh tạo thành tam giác không có cạnh nào là cạnh của đa giác đã cho” => = “Chọn được ba đỉnh tạo thành tam giác có ít nhất một cạnh là cạnh của đa giác đã cho” => = “Chọn được ba đỉnh tạo thành tam giác có một cạnh hoặc hai cạnh là cạnh của đa giác đã cho” * TH1: Chọn ra tam giác có 2 cạnh là 2 cạnh của đa giác đã cho Chọn ra 3 đỉnh liên tiếp của đa giác 12 cạnh => Có 12 cách. * TH2: Chọn ra tam giác có đúng 1 cạnh là cạnh của đa giác đã cho Chọn ra 1 cạnh và 1 đỉnh không liền với 2 đỉnh của cạnh đó => Có 12 cách chọn 1 cạnh và cách chọn đỉnh.

=> Có 12.8 cách. => Số cách chọn của là: 12 + 12.8 Số cách chọn của A là: – 12 – 12.8 = 112.

Câu 39:

Gọi phương trình đường thẳng d: y = ax + b

Vì đường thẳng d đi qua điểm K(1;4) nên a+ b = 4

Đường thẳng d: y = ax + b cắt hai tia Ox và Oy lần lượt là:

Theo giả thiết ta có:

Do đó:

Do

Vậy phương trình đường thẳng d: y = – 4x + 8

Trên đây là một số đề thi giữa kì 2 môn Toán 10 cùng lời giải chi tiết theo chương trình ba bộ sách kết nối tri thức, cánh diều và chân trời sáng tạo mà VUIHOC đã tổng hợp lại giúp các em ôn tập tốt và hiệu quả hơn. VUIHOC còn rất nhiều bộ đề hay và sát với cấu trúc đề thi khác được biên soạn bởi các thầy cô dạy giỏi trong khóa học PAS THPT. Các em hãy nhanh tay đăng ký khóa học để được các thầy cô hướng dẫn lên lộ trình học tập khoa học nhé! Truy cập ngay vuihoc.vn để cập nhật thêm thật nhiều kiến thức toán học 10 và các môn học khác nhé!

>> Mời bạn tham khảo thêm:

  • Ôn thi giữa kì 2 môn Toán 10
  • Đề thi giữa kì 2 môn Lý 10
  • Đề thi giữa kì 2 môn Hóa 10
  • Đề thi giữa kì 2 môn Tiếng Anh 10
  • Đề thi giữa kì 2 môn Ngữ Văn 10
Previous Post

Rải rác hay dải dác là đúng chính tả?

Next Post

Những ca dao tục ngữ, thành ngữ về tôn sư trọng đạo hay và ý nghĩa

Tranducdoan

Tranducdoan

Trần Đức Đoàn sinh năm 1999, anh chàng đẹp trai đến từ Thái Bình. Hiện đang theo học và làm việc tại trường cao đẳng FPT Polytechnic

Next Post

Những ca dao tục ngữ, thành ngữ về tôn sư trọng đạo hay và ý nghĩa

thời tiết miền bắc đọc sách online cm88 Socolive trực tiếp https://p789bet.biz/ cm88 com 789bet ww88 sumclub https://theaquaverse.io/17 socolive6 Bom88 tic88
Tài Liệu Học Tập

Copyright © 2022 Tài Liệu Học Tập.

Chuyên Mục

  • Đề Thi
  • Lớp 12
  • Lớp 11
  • Lớp 10
  • Lớp 9
  • Lớp 8
  • Lớp 7
  • Lớp 6
  • Lớp 5
  • Lớp 4
  • Lớp 3
  • Mẹo Hay
  • Tin tức
  • Liên Hệ

Tham Gia Group Tài Liệu Học Tập

No Result
View All Result
  • Đề Thi
  • Lớp 12
    • Lịch Sử Lớp 12
    • Địa Lí Lớp 12
    • Ngữ Văn Lớp 12
    • GD KTPL Lớp 12
    • Toán Lớp 12
    • Tiếng Anh Lớp 12
    • Hóa Học Lớp 12
    • Sinh Học Lớp 12
    • Vật Lí Lớp 12
  • Lớp 11
    • Toán Lớp 11
    • Ngữ Văn Lớp 11
    • Tiếng Anh Lớp 11
    • Hóa Học Lớp 11
    • Sinh Học Lớp 11
    • Vật Lí Lớp 11
    • Lịch Sử Lớp 11
    • Địa Lí Lớp 11
    • GDCD Lớp 11
  • Lớp 10
    • Toán Lớp 10
    • Ngữ Văn Lớp 10
    • Tiếng Anh Lớp 10
    • Hóa Học Lớp 10
    • Sinh Học Lớp 10
    • Vật Lí Lớp 10
    • Lịch Sử Lớp 10
    • Địa Lí Lớp 10
    • GDKTPL Lớp 10
    • Công nghệ lớp 10
    • Tin Học Lớp 10
  • Lớp 9
    • Toán Lớp 9
    • Ngữ Văn Lớp 9
    • Tiếng Anh Lớp 9
    • Lịch sử và địa lý lớp 9
    • Khoa Học Tự Nhiên Lớp 9
    • GDCD Lớp 9
  • Lớp 8
    • Toán Lớp 8
    • Ngữ Văn Lớp 8
    • Tiếng Anh Lớp 8
    • Lịch sử và địa lý lớp 8
    • Khoa Học Tự Nhiên Lớp 8
    • GDCD 8
  • Lớp 7
    • Toán Lớp 7
    • Văn Lớp 7
    • Tiếng Anh Lớp 7
    • Lịch Sử Và Địa Lí Lớp 7
    • Khoa Học Tự Nhiên Lớp 7
  • Lớp 6
    • Toán Lớp 6
    • Văn Lớp 6
    • Tiếng Anh lớp 6
    • Lịch Sử và Địa Lí Lớp 6
    • Khoa Học Tự Nhiên lớp 6
  • Lớp 5
    • Toán lớp 5
    • Tiếng Việt Lớp 5
    • Tiếng Anh Lớp 5
    • Lịch Sử và Địa Lí Lớp 5
  • Lớp 4
    • Toán lớp 4
    • Tiếng Việt Lớp 4
    • Tiếng Anh Lớp 4
    • Lịch Sử và Địa Lí Lớp 4
  • Lớp 3
    • Toán lớp 3
    • Tiếng Anh Lớp 3
    • Tiếng Việt Lớp 3
  • Mẹo Hay
  • Tin tức
  • Liên Hệ

Copyright © 2022 Tài Liệu Học Tập.