Bộ 6 đề thi giữa kì 1 Toán 7 được tuyển chọn bám sát chương trình sách Chân trời sáng tạo, giúp học sinh rèn luyện kỹ năng giải toán, củng cố kiến thức trọng tâm và làm quen với cấu trúc đề thi thực tế. Các đề được thiết kế đa dạng từ trắc nghiệm đến tự luận, bao quát nhiều dạng bài tập thường gặp, phù hợp để tự ôn luyện hoặc làm tài liệu tham khảo trên lớp. Đây cũng là nguồn hỗ trợ hữu ích cho giáo viên trong quá trình xây dựng đề kiểm tra, góp phần nâng cao chất lượng dạy và học môn Toán.
Lưu ý: Toàn bộ 6 đề thi và đáp án đều có trong file tải, mời các bạn tải về tham khảo trọn bộ
1. Đề thi giữa kì 1 Toán 7 Chân trời sáng tạo – Đề 1
Khung ma trận đề thi giữa kì 1 Toán 7 CTST
TT
(1)
Chương/Chủ đề
(2)
Nội dung/đơn vị kiến thức
(3)
Mức độ đánh giá
(4-11)
Tổng % điểm
(12)
Nhận biết
Thông hiểu
Vận dụng
Vận dụng cao
TNKQ
TL
TNKQ
TL
TNKQ
TL
TNKQ
TL
1
Số hữu tỉ
Số hữu tỉ và tập hợp các số hữu tỉ. Thứ tự trong tập hợp các số hữu tỉ
4
1đ
1
1đ
1
0,25đ
2
1đ
8
32,5
Các phép tính với số hữu tỉ
1
0,25đ
3
2đ
1
1đ
5
32,5
2
Các hình khối trong thực tiễn
Hình hộp chữ nhật và hình lập phương
2
0,5đ
1
0,25đ
1
1đ
4
17,5
Lăng trụ đứng tam giác, lăng trụ đứng tứ giác
2
0,5đ
1
0,25đ
1
1đ
4
17,5
Tổng
8
2đ
1
1đ
4
1đ
4
3đ
4
3đ
21
10đ
Tỉ lệ %
30%
40%
30%
0%
100
Tỉ lệ chung
70%
30%
100
Đề thi giữa kì 1 Toán 7 số 1
I. Trắc nghiệm khách quan: (3 điểm)
Câu 1. (NB) Trong các phân số sau, phân số nào biểu diễn số hữu tỉ (frac{-3}{4})
Câu 2. (NB) Số đối của (frac{-2}{3}) là
Câu 3. (NB) Chọn đáp án đúng trong các đáp án sau
A. 0,6 ∈ N
B. 0,6 ∈ Q
C. 0,6 ∈ I
D. 0,6 ∈ Z
Câu 4. (NB) Cách sắp xếp nào sau đây là đúng
Câu 5. (TH) Số (-frac{2}{3}) được biểu diễn trên trục số bởi hình vẽ nào dưới đây?
Câu 6. (TH) Kết quả của là

Câu 7. (NB) Hình hộp chữ nhật có mấy đỉnh?
A. 4 đỉnh.
B. 6 đỉnh.
C. 8 đỉnh .
D. 12 đỉnh.
Câu 8. (NB) Hình hộp chữ nhật có mấy cạnh ?
A. 12 cạnh.
B. 8 cạnh.
C.6 cạnh.
D. 4 cạnh.
Câu 9. (TH) Thể tích của hình lập phương có cạnh là 3 cm là
A. 9.
B. 12 .
C. 20.
D. 27.
Câu 10. (NB)Hình lăng trụ đứng tam giác có số mặt bên là
A. 2 mặt.
B. 3 mặt.
C. 4 mặt.
D. 5 mặt.
Câu 11. (NB) Hình lăng trụ đứng tứ giác có số mặt đáy là.
A. 8.
B. 6.
C. 4.
D. 2.
Câu 12. (TH) Diện tích xung quanh của hình lăng trụ đứng tam giác đều có cạnh đáy là 4 cm, chiều cao 5 cm là
A. 20 cm2.
B. 40 cm2.
C. 60 cm2.
D. 80 cm2.
II. Tự luận: (7 điểm)
Câu 1. (NB) (1,0 điểm)Nêu khái niệm số hữu tỉ? Cho 2 ví dụ về số hữu tỉ?
Câu 2. (VD) (1,0 điểm)So sánh các cặp số hữu tỉ sau:
a.
(frac{2}{3}) và (frac{4}{5})
b – 0,6 và (frac{-3}{5})
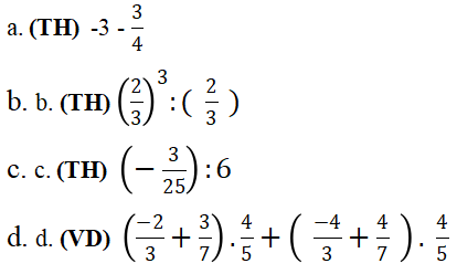
Câu 3. (3,0 điểm) Thực hiện phép tính
Câu 4. (TH) (1,0 điểm) Diện tích toàn phần của hình lập phương là 216 cm2. Thể tích của nó là bao nhiêu ?
Câu 5. (VD) (1,0 điểm) Thùng đựng của một máy cắt cỏ có dạng lăng trụ đứng tam giác . Hãy tính dung tích của thùng .