1. Ma trận đề thi học kì 1 lớp 12 môn toán chi tiết
TT Nội dung kiến thức Đơn vị kiến thức Mức độ nhận thức Nhận biết Thông hiểu Vận dụng Vận dụng cao 1 Ứng dụng đạo hàm để khảo sát và vẽ đồ thị hàm số Sự đồng biến, nghịch biến của hàm số 2 1 3 0 Cực trị của hàm số 1 2 1 1 Giá trị lớn nhất nhỏ nhất của hàm số 1 1 0 0 Bảng biến thiên và đồ thị hàm số 2 2 0 1 Đường tiệm cận 1 1 0 0 2 Hàm số lũy thừa, hàm số mũ và hàm số logarit Lũy thừa. Hàm số lũy thừa 1 1 0 0 Lôgarit. Hàm số mũ. Hàm số lôgarit 3 2 1 0 Phương trình mũ và phương trình lôgarit 2 1 1 0 Bất phương trình mũ và bất phương trình lôgarit 1 0 1 1 3 Khối đa diện Khái niệm khối đa diện, khối đa diện lồi, khối đa diện đều 1 1 0 0 Thể tích khối đa diện 1 1 1 1 4 Mặt nón, Mặt trụ, Mặt cầu Mặt nón, Mặt trụ, mặt cầu 4 2 2 1 Tổng số câu hỏi 20 15 10 5
Đề thi học kì 1 lớp 12 môn toán gồm 50 câu hỏi trắc nghiệm. 40% câu hỏi ở mức độ nhận biết, 30% ở mức thông hiểu, 20% ở mức vận dụng và 10% ở mức vận dụng cao. Số điểm cho mỗi câu hỏi trắc nghiệm là 0,2 điểm.
2. Đề thi học kì 1 lớp 12 môn toán cùng đáp án
2.1 Đề thi học kì 1 lớp 12 môn toán trường THPT Lương Văn Can
a. Đề thi




Nắm trọn kiến thức, các công thức và phương pháp giải mọi dạng bài tập Toán thi THPT Quốc gia ngay!

b. Đáp án trắc nghiệm:
1. A 2. D 3. C 4. A 5. C 6. C 7. C 8. A 9. C 10. D 11. A 12. A 13. D 14. C 15. C 16. A 17. D 18. C 19. A 20. C 21. C 22. C 23. D 24. A 25. D 26. A 27. B 28. B 29. A 30. D
c. Đáp án tự luận
Câu 1: Tìm tọa độ giao điểm của đồ thị hàm số y = x3 – 2×2 + x và trục Ox.
Phương trình hoành độ giao điểm: x3 – 2×2 + x = 0 => x = 0 ; y = 0 hoặc x = 1 ; y = 0
Vậy có 2 giao điểm: O(0;0) và M(1;0)
Câu 2: Giải phương trình 

x = 0 hoặc x = 4
Vậy phương trình có 2 nghiệm x = 0 hoặc x = 4.
Câu 3: Giải bất phương trình:


Vậy S = [-1;4]
Câu 4: Tính thể tích của khối nón biết chiều cao bằng 12cm, đường sinh bằng 13cm. Ta có: h = 12 ; l = 13
Áp dụng công thức: l2 = h2 + R2 => R = 5.
Công thức tính thể tích khối nón:

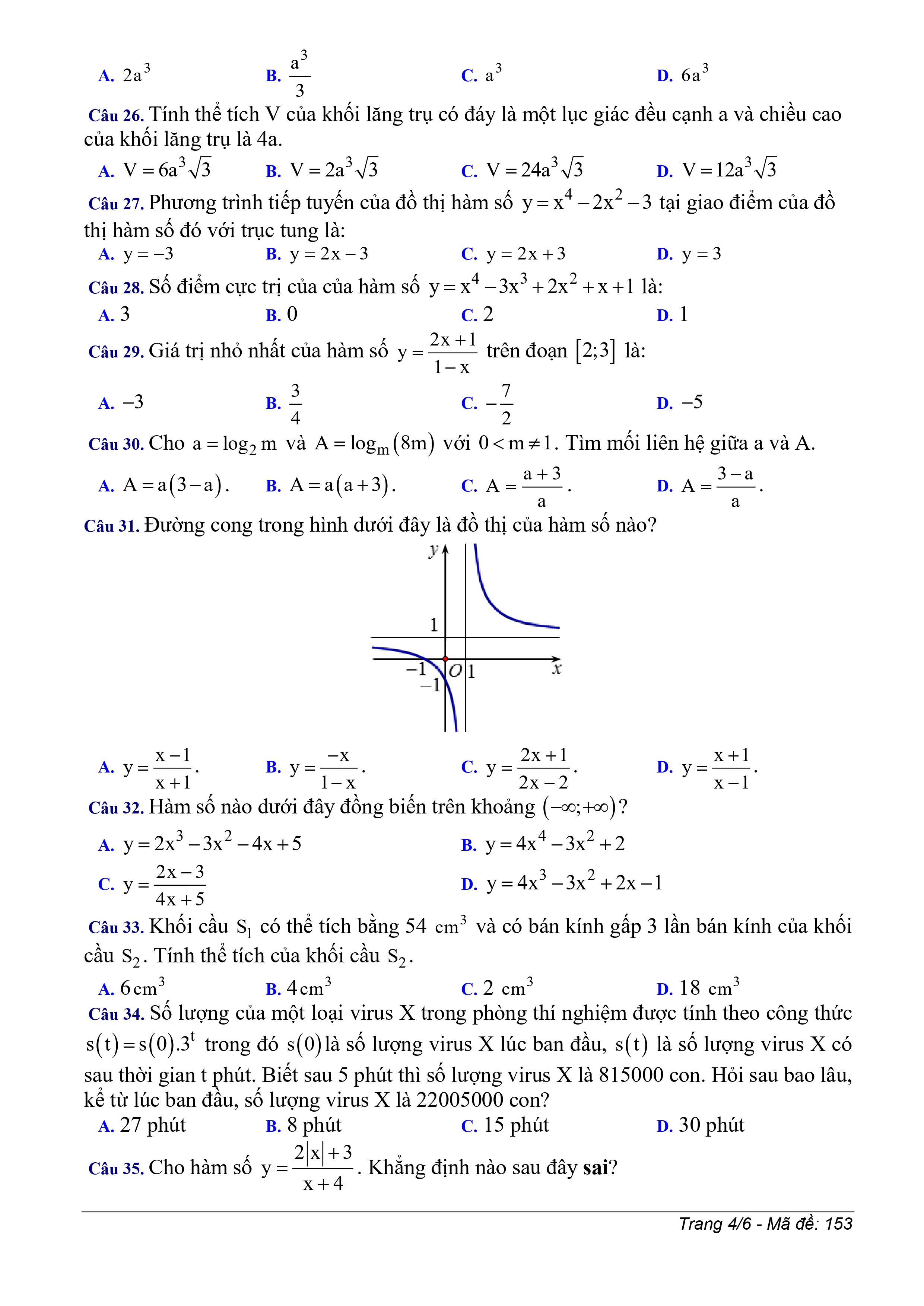
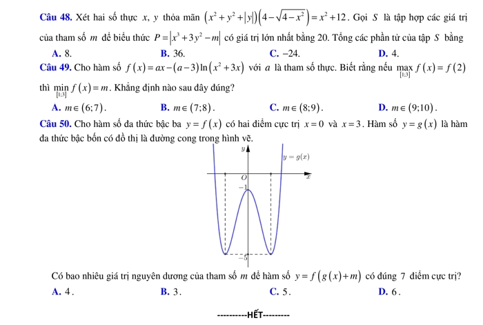
2.2 Đề thi HK 1 toán 12 Sở GD Bình Dương
a. Đề thi






Đăng ký ngay để được các thầy cô tổng hợp kiến thức và xây dựng lộ trình đạt 9+ thi THPT Quốc Gia

b. Đáp án
1. C 2. B 3. B 4. B 5. B 6. A 7. A 8. A 9. A 10. B 11. B 12. B 13. C 14. D 15. C 16. C 17. B 18. C 19. A 20. D 21. D 22. D 23. D 24. A 25. A 26. A 27. A 28. A 29. D 30. C 31. D 32. D 33. C 34. B 35. B 36. B 37. C 38. C 39. D 40. C 41. B 42. D 43. B 44. B 45. C 46. C 47. C 48. C 49. B 50. D
2.3 Đề thi HK 1 toán 12 có đáp án chi tiết Sở GD Nam Định
a. Đề thi
b. Đáp án
1. C 2. A 3. B 4. D 5. B 6. D 7. C 8. C 9. A 10. B 11. A 12. B 13. B 14. D 15. D 16. B 17. D 18. C 19. B 20. A 21. C 22. A 23. C 24. B 25. C 26. A 27. D 28. C 29. C 30. D 31. B 32. D 33. D 34. B 35. C 36. C 37. C 38. A 39. D 40. A 41. B 42. D 43. A 44. A 45. B 46. B 47. A 48. D 49. A 50. A
Trên đây là một số đề thi học kì 1 lớp 12 môn toán cùng đáp án mà VUIHOC đã tổng hợp lại giúp các em ôn tập tốt và hiệu quả hơn. VUIHOC còn rất nhiều bộ đề hay và sát với cấu trúc đề thi khác được biên soạn bởi các thầy cô dạy giỏi trong khóa học PAS THPT. Các em hãy nhanh tay đăng ký khóa học để được các thầy cô hướng dẫn lên lộ trình học tập khoa học nhé! Truy cập ngay vuihoc.vn để cập nhật thêm thật nhiều kiến thức toán học 12 và các môn học khác nhé!
>> Mời bạn tham khảo thêm:
- Đề thi học kì 1 lớp 12 môn lý
- Đề thi học kì 1 lớp 12 môn hóa
- Đề thi học kì 1 lớp 12 môn anh
- Đề thi học kì 1 lớp 12 môn văn
- Ôn thi học kì 1 lớp 12 môn toán