Tài Liệu Học Tập
No Result
View All Result
  • Đề Thi
  • Lớp 12
    • Lịch Sử Lớp 12
    • Địa Lí Lớp 12
    • Ngữ Văn Lớp 12
    • GD KTPL Lớp 12
    • Toán Lớp 12
    • Tiếng Anh Lớp 12
    • Hóa Học Lớp 12
    • Sinh Học Lớp 12
    • Vật Lí Lớp 12
  • Lớp 11
    • Toán Lớp 11
    • Ngữ Văn Lớp 11
    • Tiếng Anh Lớp 11
    • Hóa Học Lớp 11
    • Sinh Học Lớp 11
    • Vật Lí Lớp 11
    • Lịch Sử Lớp 11
    • Địa Lí Lớp 11
    • GDCD Lớp 11
  • Lớp 10
    • Toán Lớp 10
    • Ngữ Văn Lớp 10
    • Tiếng Anh Lớp 10
    • Hóa Học Lớp 10
    • Sinh Học Lớp 10
    • Vật Lí Lớp 10
    • Lịch Sử Lớp 10
    • Địa Lí Lớp 10
    • GDKTPL Lớp 10
    • Công nghệ lớp 10
    • Tin Học Lớp 10
  • Lớp 9
    • Toán Lớp 9
    • Ngữ Văn Lớp 9
    • Tiếng Anh Lớp 9
    • Lịch sử và địa lý lớp 9
    • Khoa Học Tự Nhiên Lớp 9
    • GDCD Lớp 9
  • Lớp 8
    • Toán Lớp 8
    • Ngữ Văn Lớp 8
    • Tiếng Anh Lớp 8
    • Lịch sử và địa lý lớp 8
    • Khoa Học Tự Nhiên Lớp 8
    • GDCD 8
  • Lớp 7
    • Toán Lớp 7
    • Văn Lớp 7
    • Tiếng Anh Lớp 7
    • Lịch Sử Và Địa Lí Lớp 7
    • Khoa Học Tự Nhiên Lớp 7
  • Lớp 6
    • Toán Lớp 6
    • Văn Lớp 6
    • Tiếng Anh lớp 6
    • Lịch Sử và Địa Lí Lớp 6
    • Khoa Học Tự Nhiên lớp 6
  • Lớp 5
    • Toán lớp 5
    • Tiếng Việt Lớp 5
    • Tiếng Anh Lớp 5
    • Lịch Sử và Địa Lí Lớp 5
  • Lớp 4
    • Toán lớp 4
    • Tiếng Việt Lớp 4
    • Tiếng Anh Lớp 4
    • Lịch Sử và Địa Lí Lớp 4
  • Lớp 3
    • Toán lớp 3
    • Tiếng Anh Lớp 3
    • Tiếng Việt Lớp 3
  • Mẹo Hay
  • Tin tức
  • Liên Hệ
Tài Liệu Học Tập
No Result
View All Result
Home Toán tổng hợp

30 đề thi học sinh giỏi Toán lớp 7 CÓ ĐÁP ÁN

by Tranducdoan
23/01/2026
in Toán tổng hợp
0
Đánh giá bài viết

Tài liệu 30 đề thi học sinh giỏi Toán lớp 7 có đáp án giúp các em rèn luyện kỹ năng giải toán, chuẩn bị tốt cho kỳ thi học sinh giỏi. Các đề đa dạng, từ cơ bản đến nâng cao, kèm đáp án chi tiết, sẽ là người bạn đồng hành, giúp các em chinh phục môn Toán! Đối với các thầy cô, tài liệu này sẽ hỗ trợ xây dựng bài giảng, ôn tập và bồi dưỡng học sinh, với đáp án chi tiết giúp tiết kiệm thời gian soạn bài.

Để tải trọn vẹn 30 đề thi học sinh giỏi Toán lớp 7 CÓ ĐÁP ÁN, mời các bạn kích vào nút Tải về phía cuối bài.

Mời các bạn tham khảo thêm: 225 đề thi học sinh giỏi môn Toán lớp 7 CÓ ĐÁP ÁN

Mục Lục Bài Viết

  1. Đề thi học sinh giỏi lớp 7 môn Toán – Đề số 1
  2. Đáp án Đề thi học sinh giỏi lớp 7 môn Toán số 1
  3. Đề thi học sinh giỏi lớp 7 môn Toán – Đề số 2
  4. Đáp án Đề thi học sinh giỏi lớp 7 môn Toán – Đề số 2

Đề thi học sinh giỏi lớp 7 môn Toán – Đề số 1

Bài 1: (3 điểm): Tính

(left[ {18frac{1}{6} – left( {0,06:7frac{1}{2} + 3frac{2}{5}.0,38} right)} right]:left( {19 – 2frac{2}{3}.4frac{3}{4}} right))

Bài 2: (4 điểm) Cho (frac{a}{c} = frac{c}{b}) chứng minh rằng:

a. (frac{{{a^2} + {c^2}}}{{{b^2} + {c^2}}} = frac{a}{b}) b. frac{{{b^2} - {a^2}}}{{{a^2} + {c^2}}} = frac{{b - a}}{a}(frac{{{b^2} – {a^2}}}{{{a^2} + {c^2}}} = frac{{b – a}}{a})

Bài 3: (4 điểm): Tìm x biết:

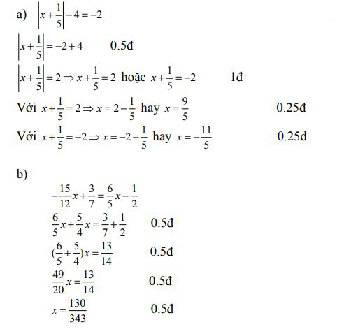
a. left| {x + frac{1}{5}} right| - 4 = - 2(left| {x + frac{1}{5}} right| – 4 = – 2) b. (- frac{{15}}{{12}}x + frac{3}{7} = frac{6}{5}x – frac{1}{2})

Bài 4: (3 điểm) Một vật chuyển động trên các cạnh hình vuông. Trên hai cạnh đầu vật chuyển động với vận tốc 5m/s, trên cạnh thứ ba với vận tốc 4m/s, trên cạnh thứ tư với vận tốc 3m/s. Hỏi độ dài cạnh hình vuông biết rằng tổng thời gian vật chuyển động trên bốn cạnh là 59 giây.

Bài 5: (4 điểm) Cho tam giác ABC cân tại A có A = 200, vẽ tam giác đều DBC (D nằm trong tam giác ABC). Tia phân giá của góc ABD cắt AC tại M. Chứng minh:

a) Tia AD là phân giác của góc BAC

b) AM = BC

Bài 6: (2 điểm): Tìm x , y ∈ N biết: 25 – y 2 = 8( x – 2009)2

Đáp án Đề thi học sinh giỏi lớp 7 môn Toán số 1

Bài 1.

Bài 2

Bài 3

Bài 4

Cùng một đoạn đường, vận tốc và thời gian là hai đại lượng tỉ lệ nghịch.

Gọi x, y, z là thời gian chuyển động lần lượt với các vận tốc 5m/s; 4m/s; 3m/s.

Ta có: 5x = 4y = 3z và x + y + z = 59

Hay (dfrac{x}{{dfrac{1}{5}}} = dfrac{y}{{dfrac{1}{4}}} = frac{z}{{dfrac{1}{3}}} = dfrac{{x + y + z}}{{dfrac{1}{5} + dfrac{1}{4} + dfrac{1}{3}}} = dfrac{{59}}{{dfrac{{59}}{{60}}}} = 60)

Do đó: x = 60. (frac{1}{5}) = 12

y = 60.(frac{1}{4}) = 15

z = 60.(frac{1}{3}) = 20

Vậy cạnh hình vuông là 5.12 = 60m

Bài 5

Vẽ hình, ghi GT, KL đúng 0,5đ

a. Chứng minh ΔADB = ΔADC (c – c – c) 1đ

Suy ra (widehat {DAB} = widehat {DAC})

Do đó: (widehat {DAB}) = 200 : 2 = 100

b. Ta có: ΔABC cân tại A, mà (widehat A) = 200 (gt) nên (widehat {ABC}) = (1800 – 200) : 2 = 800

ΔABC đều nên (widehat {DBC}) = 600

Tia BD nằm giữa hai tia BA và BC suy ra (widehat {ABD}) = 800 – 600 = 200

Tia BM là tia phân giác của góc ABD nên (widehat {ABM}) = 100

Xét ΔABM và ΔBAD ta có:

AB là cạnh chung

(begin{gathered} widehat {BAM} = widehat {ABD} = {20^0} hfill widehat {ABM} = widehat {DAB} = {10^0} hfill end{gathered})

Vậy ΔABM = ΔBAD (g – c – g)

Suy ra AM = BD, mà BD = BC (gt) nên AM = BC

Bài 6

25 – y2 = 8(x – 2009)2

Ta có: 8(x – 2009)2 = 25 – y2

8(x – 2009)2 + y2 = 25 (*)

Vì y2 ≥ 0 nên (x – 2009)2 ≤ (dfrac{25}{8})⇒ (x- 2009)2 = 0 hoặc (x – 2009)2 = 1

Với (x – 2009)2 = 0 thay vào (*) ta được y2 = 17 (loại)

Với (x – 2009)2 = 1 thay vào (*) ta có y2 = 25 suy ra y = 5 (do y ∈ (mathbb{N}))

Từ đó tìm được x = 2009; y = 5

Đề thi học sinh giỏi lớp 7 môn Toán – Đề số 2

Câu 1: Với mọi số tự nhiên n ≥ 2 hãy so sánh:

a. (A = frac{1}{{{2^2}}} + frac{1}{{{3^2}}} + frac{1}{{{4^2}}} + … + frac{1}{{{n^2}}}) với 1

b. (B = frac{1}{{{2^2}}} + frac{1}{{{4^2}}} + frac{1}{{{6^2}}} + … + frac{1}{{{{left( {2n} right)}^2}}}) với 0,5

Câu 2: Tìm phần nguyên của α, với α = (sqrt 2 + sqrt[3]{{frac{3}{2}}} + sqrt[3]{{frac{4}{3}}} + … + sqrt[{n + 1}]{{frac{{n + 1}}{n}}})

Câu 3: Tìm tỉ lệ 3 cạnh của một tam giác, biết rằng cộng lần lượt độ dài hai đường cao của tam giác đó thì tỉ lệ các kết quả là 5: 7: 8.

Câu 4: Cho góc xOy, trên hai cạnh Ox và Oy lần lượt lấy các điểm A và B để cho AB có độ dài nhỏ nhất.

Câu 5: Chứng minh rằng nếu a, b, c và (sqrt a + sqrt b + sqrt c) là các số hữu tỉ.

Đáp án Đề thi học sinh giỏi lớp 7 môn Toán – Đề số 2

Câu 1: (2 điểm)

Do (frac{1}{{{n^2}}} < frac{1}{{{n^2} – 1}}) với mọi n ≥ 2 nên

A < C = (frac{1}{{{2^2} – 1}} + frac{1}{{{3^2} – 1}} + … + frac{1}{{{n^2} – 1}})

Mặt khác:

(begin{matrix} C = dfrac{1}{{1.3}} + dfrac{1}{{2.4}} + dfrac{1}{{3.5}} + … + dfrac{1}{{left( {n – 1} right)left( {n + 1} right)}} hfill C = dfrac{1}{2}left( {dfrac{1}{1} – dfrac{1}{3} + dfrac{1}{2} – dfrac{1}{4} + dfrac{1}{3} – dfrac{1}{5} + … + dfrac{1}{{n – 1}} – dfrac{1}{{n + 1}}} right) hfill C = – left( {1 + dfrac{1}{2} – dfrac{1}{n} – dfrac{1}{{n + 1}}} right) < dfrac{1}{2}.dfrac{3}{2} = dfrac{3}{4} < 1 hfill end{matrix})

Vậy A < 1

b. (1 điểm)

(begin{matrix} B = dfrac{1}{{{2^2}}} + dfrac{1}{{{4^2}}} + … + dfrac{1}{{{{left( {2n} right)}^2}}} hfill B = dfrac{1}{{{2^2}}}left( {1 + dfrac{1}{{{2^2}}} + dfrac{1}{{{3^2}}} + …. + dfrac{1}{{{n^2}}}} right) hfill B = dfrac{1}{{{2^2}}}left( {1 + A} right) hfill end{matrix})

Suy ra P < 0,5

Câu 2 (2 điểm):

Ta có: (sqrt[{k + 1}]{{frac{{k + 1}}{k}}} > 1,left( {k = overline {1,n} } right))

Áp dụng bất đẳng thức Cauchy cho k + 1 số ta có:

(begin{matrix} sqrt[{k + 1}]{{dfrac{{k + 1}}{k}}} = sqrt[{k + 1}]{{dfrac{{1 + 1 + …. + 1}}{k}dfrac{{k + 1}}{k}}} < dfrac{{1 + 1 + … + 1 + dfrac{{k + 1}}{k}}}{{k + 1}} = dfrac{k}{{k + 1}} + dfrac{1}{k} = 1 + dfrac{1}{{kleft( {k + 1} right)}} hfill Rightarrow 1 < sqrt[{k + 1}]{{dfrac{{k + 1}}{k}}} < 1 + left( {dfrac{1}{k} – dfrac{1}{{k + 1}}} right) hfill end{matrix})

Lần lượt cho k = 1, 2, 3, … rồi cộng lại ta được

(n < sqrt 2 + sqrt[3]{{frac{3}{2}}} + … + sqrt[{n + 1}]{{frac{{n + 1}}{n}}} < n + 1 – frac{1}{n} < n + 1 Rightarrow left| alpha right| = n)

Đừng quên chia sẻ với bạn bè bộ đề thi học sinh giỏi môn Toán lớp 7 kèm đáp án chi tiết trên để cùng nhau tiến bộ nhé! Chúc các em học tốt và đạt thành tích cao!

Để ôn luyện chuẩn bị cho kì thi học sinh giỏi lớp 7 sắp tới, mời các bạn vào chuyên mục Thi học sinh giỏi lớp 7 trên VnDoc nhé. Chuyên mục tổng hợp các đề thi học sinh giỏi của tất cả các môn, là tài liệu hay cho các em ôn tập và luyện đề.

Đặt câu hỏi về học tập, giáo dục, giải bài tập của bạn tại chuyên mục Hỏi đáp của VnDoc Hỏi – Đáp Truy cập ngay: Hỏi – Đáp học tập

Previous Post

Top 15 Tóm tắt Trỏ gió (hay, ngắn nhất) – Kết nối tri thức

Next Post

Thân tặng hay Kính tặng? Chọn từ phù hợp khi tặng quà chuẩn mực

Tranducdoan

Tranducdoan

Trần Đức Đoàn sinh năm 1999, anh chàng đẹp trai đến từ Thái Bình. Hiện đang theo học và làm việc tại trường cao đẳng FPT Polytechnic

Next Post

Thân tặng hay Kính tặng? Chọn từ phù hợp khi tặng quà chuẩn mực

thời tiết miền bắc đọc sách online cm88 Socolive trực tiếp https://p789bet.biz/ cm88 com sumclub https://theaquaverse.io/17 socolive Bom88 tic88 f168 https://mb66.black/ https://ok9.watch/ xoilactv tructiepbongda Xoilac Xoilac365 cakhia tv Trực tiếp bóng đá 90phut
Tài Liệu Học Tập

Copyright © 2022 Tài Liệu Học Tập.

Chuyên Mục

  • Đề Thi
  • Lớp 12
  • Lớp 11
  • Lớp 10
  • Lớp 9
  • Lớp 8
  • Lớp 7
  • Lớp 6
  • Lớp 5
  • Lớp 4
  • Lớp 3
  • Mẹo Hay
  • Tin tức
  • Liên Hệ

Tham Gia Group Tài Liệu Học Tập

No Result
View All Result
  • Đề Thi
  • Lớp 12
    • Lịch Sử Lớp 12
    • Địa Lí Lớp 12
    • Ngữ Văn Lớp 12
    • GD KTPL Lớp 12
    • Toán Lớp 12
    • Tiếng Anh Lớp 12
    • Hóa Học Lớp 12
    • Sinh Học Lớp 12
    • Vật Lí Lớp 12
  • Lớp 11
    • Toán Lớp 11
    • Ngữ Văn Lớp 11
    • Tiếng Anh Lớp 11
    • Hóa Học Lớp 11
    • Sinh Học Lớp 11
    • Vật Lí Lớp 11
    • Lịch Sử Lớp 11
    • Địa Lí Lớp 11
    • GDCD Lớp 11
  • Lớp 10
    • Toán Lớp 10
    • Ngữ Văn Lớp 10
    • Tiếng Anh Lớp 10
    • Hóa Học Lớp 10
    • Sinh Học Lớp 10
    • Vật Lí Lớp 10
    • Lịch Sử Lớp 10
    • Địa Lí Lớp 10
    • GDKTPL Lớp 10
    • Công nghệ lớp 10
    • Tin Học Lớp 10
  • Lớp 9
    • Toán Lớp 9
    • Ngữ Văn Lớp 9
    • Tiếng Anh Lớp 9
    • Lịch sử và địa lý lớp 9
    • Khoa Học Tự Nhiên Lớp 9
    • GDCD Lớp 9
  • Lớp 8
    • Toán Lớp 8
    • Ngữ Văn Lớp 8
    • Tiếng Anh Lớp 8
    • Lịch sử và địa lý lớp 8
    • Khoa Học Tự Nhiên Lớp 8
    • GDCD 8
  • Lớp 7
    • Toán Lớp 7
    • Văn Lớp 7
    • Tiếng Anh Lớp 7
    • Lịch Sử Và Địa Lí Lớp 7
    • Khoa Học Tự Nhiên Lớp 7
  • Lớp 6
    • Toán Lớp 6
    • Văn Lớp 6
    • Tiếng Anh lớp 6
    • Lịch Sử và Địa Lí Lớp 6
    • Khoa Học Tự Nhiên lớp 6
  • Lớp 5
    • Toán lớp 5
    • Tiếng Việt Lớp 5
    • Tiếng Anh Lớp 5
    • Lịch Sử và Địa Lí Lớp 5
  • Lớp 4
    • Toán lớp 4
    • Tiếng Việt Lớp 4
    • Tiếng Anh Lớp 4
    • Lịch Sử và Địa Lí Lớp 4
  • Lớp 3
    • Toán lớp 3
    • Tiếng Anh Lớp 3
    • Tiếng Việt Lớp 3
  • Mẹo Hay
  • Tin tức
  • Liên Hệ

Copyright © 2022 Tài Liệu Học Tập.