Tài Liệu Học Tập
No Result
View All Result
  • Đề Thi
  • Lớp 12
    • Lịch Sử Lớp 12
    • Địa Lí Lớp 12
    • Ngữ Văn Lớp 12
    • GD KTPL Lớp 12
    • Toán Lớp 12
    • Tiếng Anh Lớp 12
    • Hóa Học Lớp 12
    • Sinh Học Lớp 12
    • Vật Lí Lớp 12
  • Lớp 11
    • Toán Lớp 11
    • Ngữ Văn Lớp 11
    • Tiếng Anh Lớp 11
    • Hóa Học Lớp 11
    • Sinh Học Lớp 11
    • Vật Lí Lớp 11
    • Lịch Sử Lớp 11
    • Địa Lí Lớp 11
    • GDCD Lớp 11
  • Lớp 10
    • Toán Lớp 10
    • Ngữ Văn Lớp 10
    • Tiếng Anh Lớp 10
    • Hóa Học Lớp 10
    • Sinh Học Lớp 10
    • Vật Lí Lớp 10
    • Lịch Sử Lớp 10
    • Địa Lí Lớp 10
    • GDKTPL Lớp 10
    • Công nghệ lớp 10
    • Tin Học Lớp 10
  • Lớp 9
    • Toán Lớp 9
    • Ngữ Văn Lớp 9
    • Tiếng Anh Lớp 9
    • Lịch sử và địa lý lớp 9
    • Khoa Học Tự Nhiên Lớp 9
    • GDCD Lớp 9
  • Lớp 8
    • Toán Lớp 8
    • Ngữ Văn Lớp 8
    • Tiếng Anh Lớp 8
    • Lịch sử và địa lý lớp 8
    • Khoa Học Tự Nhiên Lớp 8
    • GDCD 8
  • Lớp 7
    • Toán Lớp 7
    • Văn Lớp 7
    • Tiếng Anh Lớp 7
    • Lịch Sử Và Địa Lí Lớp 7
    • Khoa Học Tự Nhiên Lớp 7
  • Lớp 6
    • Toán Lớp 6
    • Văn Lớp 6
    • Tiếng Anh lớp 6
    • Lịch Sử và Địa Lí Lớp 6
    • Khoa Học Tự Nhiên lớp 6
  • Lớp 5
    • Toán lớp 5
    • Tiếng Việt Lớp 5
    • Tiếng Anh Lớp 5
    • Lịch Sử và Địa Lí Lớp 5
  • Lớp 4
    • Toán lớp 4
    • Tiếng Việt Lớp 4
    • Tiếng Anh Lớp 4
    • Lịch Sử và Địa Lí Lớp 4
  • Lớp 3
    • Toán lớp 3
    • Tiếng Anh Lớp 3
    • Tiếng Việt Lớp 3
  • Mẹo Hay
  • Tin tức
  • Liên Hệ
Tài Liệu Học Tập
No Result
View All Result
Home Toán tổng hợp

by Tranducdoan
28/12/2025
in Toán tổng hợp
0
Đánh giá bài viết

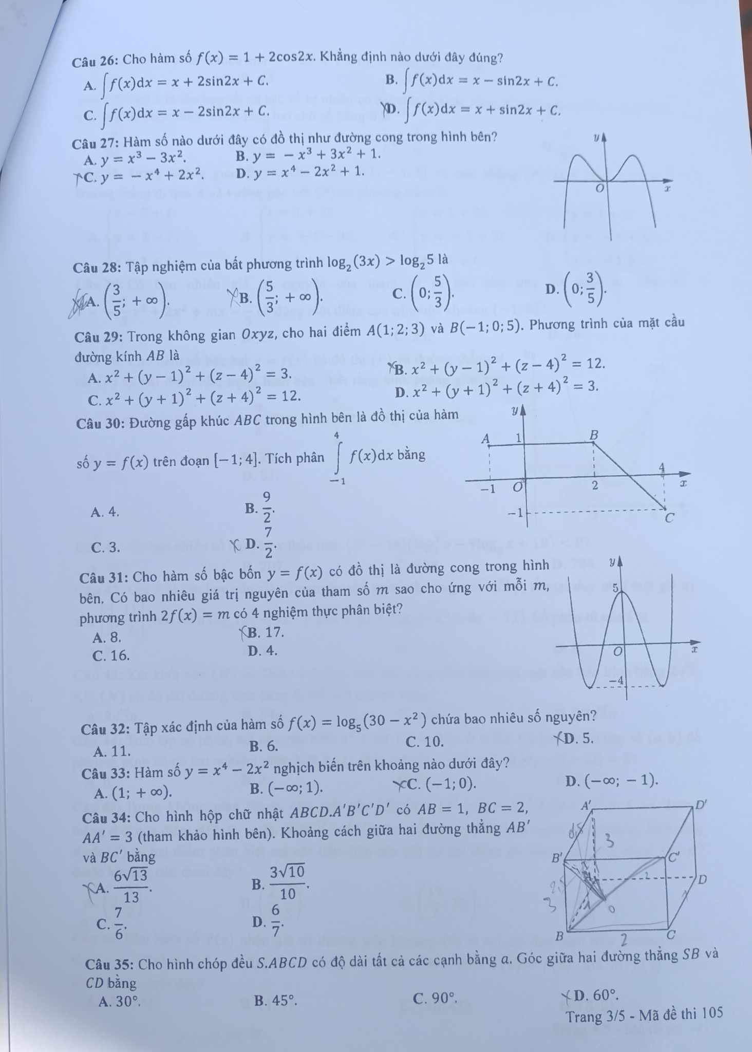
Đề thi môn Toán thi tốt nghiệp THPT 2023:

de thi mon toan thpt quoc gia 2023
de thi mon toan thpt quoc gia 2023 1
de thi mon toan thpt quoc gia 2023 2
de thi mon toan thpt quoc gia 2023 3
de thi mon toan thpt quoc gia 2023 4

Em Đặng Văn Nguyên, học sinh Trường THPT Khương Đình (Hà Nội) đánh giá, 40 câu đầu của đề tương đối cơ bản, tập trung chủ yếu vào kiến thức lớp 12. Nam sinh có thể hoàn thành phần câu hỏi này trong vòng 25 phút.

Tuy nhiên, 10 câu sau mang tính chất phân loại nên mức độ khó cao hơn, liên quan đến các mảng nội dung như min max, mặt cầu, số phức… Theo Nguyên, nếu làm cẩn thận và tập trung, học sinh có thể dễ dàng đạt trên điểm 8.

Nguyễn Huy Anh Toàn, học sinh Trường THPT Trần Hưng Đạo (quận Thanh Xuân, Hà Nội) đánh giá, 40 câu đầu của đề tương đối dễ, là những câu ở mức độ nhận biết, chủ yếu là đại số. Một vài câu hình học liên quan đến hình trụ có mức độ cơ bản.

Tuy nhiên, kể từ câu 41 của đề, mức độ khó cao hơn do là những câu phân loại, đòi hỏi mức độ vận dụng cao.

“Khó nhất là 2 câu số phức, câu mặt cầu yêu cầu tìm toạ độ. Mức độ khó của 10 câu phân loại này cao hơn so với đề thi minh hoạ”, Toàn nói. Với đề thi này, nam sinh dự tính có thể đạt 8,4 điểm.

Năm 2023, toàn quốc có hơn 1 triệu thí sinh đăng ký dự thi tốt nghiệp THPT.

Trong đó, số thí sinh đăng ký dự thi trực tuyến chiếm 94,51%; số thí sinh đăng ký dự thi trực tiếp chiếm 5,49%; thí sinh tự do: 48.309 (chiếm 4,71%).

Số thí sinh dự thi chỉ để xét tốt nghiệp THPT là 73.232 (chiếm 7,14%); số thí sinh chỉ dự thi để xét tuyển sinh là 34.203 (chiếm 3,34%). Số thí sinh dự thi để xét tốt nghiệp và tuyển sinh là 917.731 (chiếm 89,52%).

Theo kế hoạch, kết quả thi tốt nghiệp THPT năm 2023 sẽ được công bố vào 8h ngày 18/7. Việc xét công nhận tốt nghiệp THPT sẽ hoàn thành chậm nhất ngày 20/7. Muộn nhất ngày 22/7, các Sở GD-ĐT sẽ công bố kết quả tốt nghiệp THPT.

Việc in và gửi giấy chứng nhận kết quả thi cho thí sinh hoàn thành muộn nhất ngày 24/7.

Trước đó, kết quả phân tích phổ điểm thi tốt nghiệp THPT môn Toán của cả nước năm 2022 cho thấy: Có 982,728 thí sinh tham gia thi bài thi Toán, trong đó điểm trung bình là 6.47 điểm, điểm trung vị là 6.8 điểm; điểm số có nhiều thí sinh đạt nhất là 7.8 điểm. Số thí sinh có điểm <= 1 là 165 (chiếm tỷ lệ 0.02%); số thí sinh đạt điểm dưới trung bình là 186,222 (chiếm tỷ lệ 18.95%).

Năm 2021, cả nước có 980,876 thí sinh tham gia thi bài thi Toán, trong đó điểm trung bình là 6.61 điểm, điểm trung vị là 7.0 điểm; điểm số có nhiều thí sinh đạt nhất là 7.8 điểm. Số thí sinh có điểm <= 1 là 119 (chiếm tỷ lệ 0.01%); số thí sinh đạt điểm dưới trung bình là 170,802 (chiếm tỷ lệ 17.41%). Cả nước có 52 em đạt điểm 10 môn Toán.

Lịch thi tốt nghiệp THPT năm 2023 như sau:

de thi mon toan thpt quoc gia 2023 5

Tra cứu điểm thi tốt nghiệp THPT 2024 nhanh trên VietNamNet

Previous Post

Soạn bài Thực hành tiếng Việt trang 107 Kết nối tri thức Ngữ văn lớp 8 trang 107 sách Kết nối tri thức tập 1

Next Post

Phương pháp Rút gọn biểu thức chứa căn thức bậc hai cực hay

Tranducdoan

Tranducdoan

Trần Đức Đoàn sinh năm 1999, anh chàng đẹp trai đến từ Thái Bình. Hiện đang theo học và làm việc tại trường cao đẳng FPT Polytechnic

Next Post

Phương pháp Rút gọn biểu thức chứa căn thức bậc hai cực hay

thời tiết miền bắc đọc sách online cm88 Socolive trực tiếp https://p789bet.biz/ fly88 cm88 com 789bet ww88 sumclub https://theaquaverse.io/17
Tài Liệu Học Tập

Copyright © 2022 Tài Liệu Học Tập.

Chuyên Mục

  • Đề Thi
  • Lớp 12
  • Lớp 11
  • Lớp 10
  • Lớp 9
  • Lớp 8
  • Lớp 7
  • Lớp 6
  • Lớp 5
  • Lớp 4
  • Lớp 3
  • Mẹo Hay
  • Tin tức
  • Liên Hệ

Tham Gia Group Tài Liệu Học Tập

No Result
View All Result
  • Đề Thi
  • Lớp 12
    • Lịch Sử Lớp 12
    • Địa Lí Lớp 12
    • Ngữ Văn Lớp 12
    • GD KTPL Lớp 12
    • Toán Lớp 12
    • Tiếng Anh Lớp 12
    • Hóa Học Lớp 12
    • Sinh Học Lớp 12
    • Vật Lí Lớp 12
  • Lớp 11
    • Toán Lớp 11
    • Ngữ Văn Lớp 11
    • Tiếng Anh Lớp 11
    • Hóa Học Lớp 11
    • Sinh Học Lớp 11
    • Vật Lí Lớp 11
    • Lịch Sử Lớp 11
    • Địa Lí Lớp 11
    • GDCD Lớp 11
  • Lớp 10
    • Toán Lớp 10
    • Ngữ Văn Lớp 10
    • Tiếng Anh Lớp 10
    • Hóa Học Lớp 10
    • Sinh Học Lớp 10
    • Vật Lí Lớp 10
    • Lịch Sử Lớp 10
    • Địa Lí Lớp 10
    • GDKTPL Lớp 10
    • Công nghệ lớp 10
    • Tin Học Lớp 10
  • Lớp 9
    • Toán Lớp 9
    • Ngữ Văn Lớp 9
    • Tiếng Anh Lớp 9
    • Lịch sử và địa lý lớp 9
    • Khoa Học Tự Nhiên Lớp 9
    • GDCD Lớp 9
  • Lớp 8
    • Toán Lớp 8
    • Ngữ Văn Lớp 8
    • Tiếng Anh Lớp 8
    • Lịch sử và địa lý lớp 8
    • Khoa Học Tự Nhiên Lớp 8
    • GDCD 8
  • Lớp 7
    • Toán Lớp 7
    • Văn Lớp 7
    • Tiếng Anh Lớp 7
    • Lịch Sử Và Địa Lí Lớp 7
    • Khoa Học Tự Nhiên Lớp 7
  • Lớp 6
    • Toán Lớp 6
    • Văn Lớp 6
    • Tiếng Anh lớp 6
    • Lịch Sử và Địa Lí Lớp 6
    • Khoa Học Tự Nhiên lớp 6
  • Lớp 5
    • Toán lớp 5
    • Tiếng Việt Lớp 5
    • Tiếng Anh Lớp 5
    • Lịch Sử và Địa Lí Lớp 5
  • Lớp 4
    • Toán lớp 4
    • Tiếng Việt Lớp 4
    • Tiếng Anh Lớp 4
    • Lịch Sử và Địa Lí Lớp 4
  • Lớp 3
    • Toán lớp 3
    • Tiếng Anh Lớp 3
    • Tiếng Việt Lớp 3
  • Mẹo Hay
  • Tin tức
  • Liên Hệ

Copyright © 2022 Tài Liệu Học Tập.