1. Ma trận đề thi học kì 2 lớp 11 môn toán
Dưới đây là ma trận đề thi học kì 2 lớp 11 môn toán tham khảo:
TT Chương Nội dung kiến thức Mức độ đánh giá Nhận biết Thông hiểu Vận dụng Vận dụng cao 1 Hàm số mũ và hàm số lôgarit Phép tính lũy thừa, Phép tính logarit 1 0 0 0 Hàm số mũ, Hàm số logarit 1 1 0 0 Phương trình, BPT mũ, logarit 1 3 1 0 2 Đạo hàm Định nghĩa và Ý nghĩa hình học của đạo hàm 1 1 1 0 Quy tắc tính đạo hàm 3 3 0 0 Đạo hàm cấp hai 2 3 0 0 3 Quan hệ vuông góc trong không gian. Hai đường thẳng vuông góc 1 0 0 0 Đường thẳng vuông góc với mặt phẳng 1 1 0 0 Góc giữa đường thẳng và mặt phẳng, Góc nhị diện 2 1 0 0 Hai mặt phẳng vuông góc 1 3 0 0 Khoảng cách 1 3 0 0 Hình lăng trụ đứng, Hình chóp đều, thể tích của một số hình khối 0 1 0 1 Tổng 15 20 2 1
Tham khảo cấu trúc đề thi học kì 2 lớp 11 môn toán gồm 38 câu trong đó có 35 câu hỏi trắc nghiệm và 3 câu hỏi tự luận. Các câu hỏi trắc nghiệm thuộc mức độ nhận thức nhận biết và thông hiểu còn 3 câu tự luận thuộc câu hỏi vận dụng và vận dụng cao. Mỗi câu hỏi trắc nghiệm sẽ có số điểm là 0.2 điểm một câu. Còn câu hỏi tự luận sẽ có số điểm cụ thể tùy từng dạng bài và sẽ được ghi chú rõ trong đề thi.
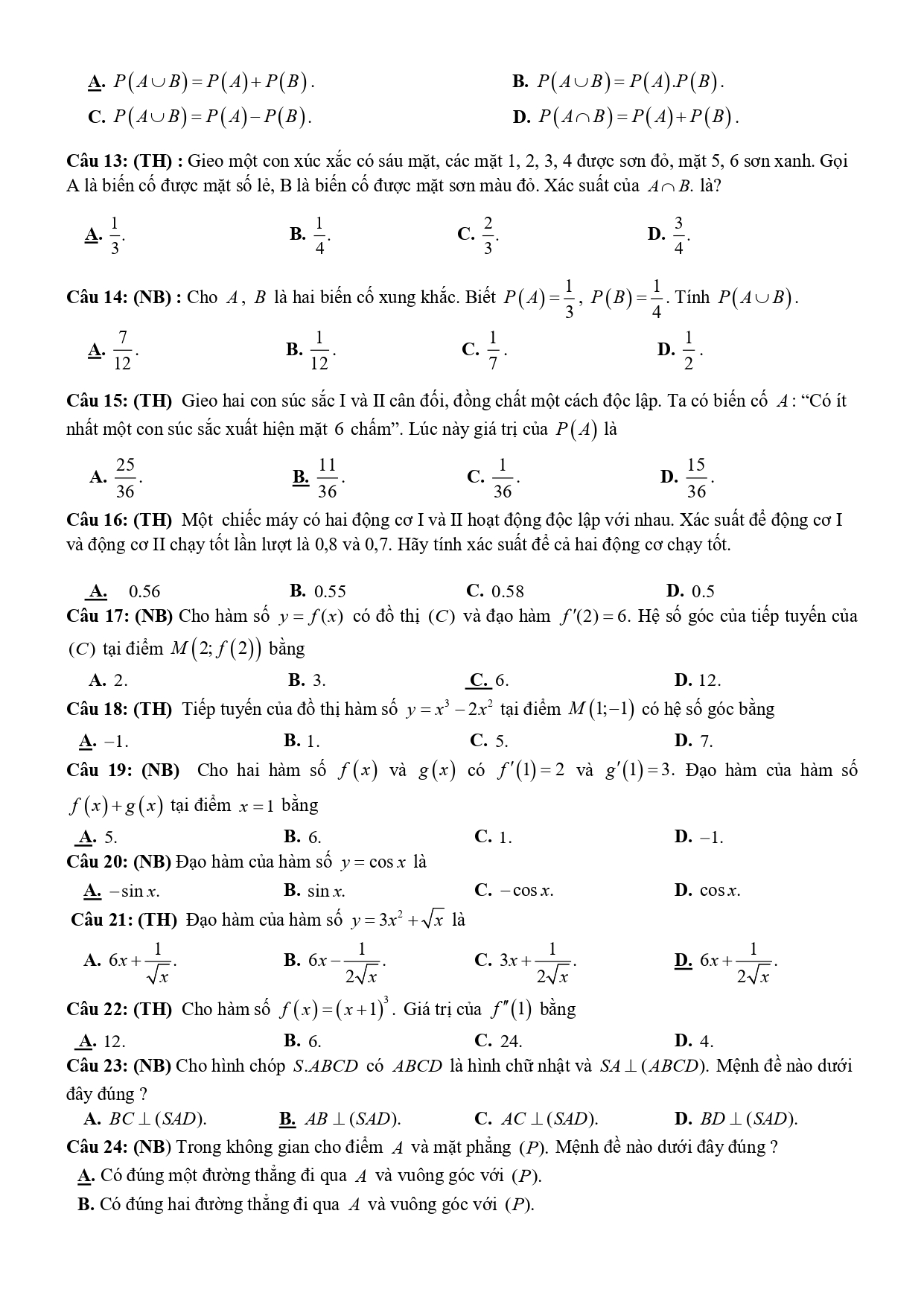
2. Đề thi học kì 2 lớp 11 môn toán Kết nối tri thức
2.1 Đề thi




2.2 Đáp án
1.A 2.C 3.C 4.A 5.B 6.D 7.C 8.A 9.A 10.B 11.A 12.A 13.A 14.B 15.A 16.A 17.C 18.A 19.A 20.A 21.D 22.A 23.B 24.A 25.A 26.A 27.A 28.A 29.B 30.C 31.A 32.C 33.A 34.B 35.B
Phần tự luận:
Câu 36:
Ta có:
Gọi M(xo; yo) là tiếp điểm. Khi đó phương trình tiếp tuyến tại M có dạng:

Do tiếp tuyến đi qua A(-7;5) nên ta có:


Các tiếp tuyến là: 
Câu 37:

Gọi M là trung điểm của BC thì AM BC (1)
Dựng AH vuông góc với SM (H thuộc SM) (a)
Vì SA (ABC) nên SA BC(2)
Từ (1) và (2) => BC (SAM) => AH BC (b)
Từ (a) và (b) => AH (SBC)
Xét SAM ta có:
Đăng ký ngay để được các thầy cô tổng hợp trọn bộ kiến thức toán 11 và có sự chuẩn bị sớm cho kỳ thi THPT Quốc gia
3. Đề thi học kì 2 lớp 11 môn toán Chân trời sáng tạo
3.1 Đề thi
3.2 Đáp án
1.D 2.D 3.D 4.B 5.A 6.A 7.C 8.B 9.A 10.A 11.A 12.A 13.D 14.D 15.A 16.D 17.C 18.D 19.A 20.A 21.A 22.C 23.A 24.D 25.C 26.D 27.B 28.B 29.B 30.C 31.D 32.B 33.C 34.C 35.A
Phần tự luận
Câu 1:
a. y’ = 5×4 + sinx
b. y’ = 33(3x – 5)10
Câu 2:
Ta có: (SB,(ABC)) = (SB,BA) = SBA =
Vậy góc giữa đường thẳng SB và mặt phẳng đáy bằng 60o
Câu 3:
Ta có: Gọi các biến cố: D: “lấy được 2 bi viên đỏ” ta có: X: “lấy được 2 bi viên xanh” ta có: V: “lấy được 2 bi viên vàng” ta có: T: “ lấy được 2 bi màu trắng” ta có: Ta có D, X, V, T là các biến cố đôi một xung khắc và A = D X V T
Câu 4:
Ta mô hình kim tự tháp như hình vẽ, là hình chóp tứ giác đều SABCD.
Gọi O = BD AC => SO (ABCD), K là trung điểm AB.
Ta có: OK // AD, AD AB => OK AB
Kẻ OH SK
Ta có:
Đăng ký ngay để nhận bí kíp nắm trọn kiến thức và phương pháp giải mọi dạng bài tập đạt mục tiêu 9+ thi Toán THPT Quốc Gia
4. Đề thi học kì 2 lớp 11 môn toán Cánh diều
4.1 Đề thi
4.2 Đáp án
1.C 2.C 3.C 4.B 5.C 6.A 7.A 8.D 9.A 10.B 11.D 12.B 13.D 14.D 15.A 16.B 17.A 18.D 19.A 20.C
Phần tự luận:
Câu 1:
a. log2(3x – 1) = 3
<=> 3x – 1 = 32
<=> 3x – 1 = 8
<=> x = 3
b.
c.
Câu 2:
a. y = x3 – 3×2 + x + 1
y’ = 3×2 – 6x + 1
b. y = (x + 1)sinx
y’ = (x + 1)’ sinx + (x + 1).(sinx)’
y’ = sinx + (x + 1)cosx.
Phương trình tiếp tuyến của hàm số y = x2 – x – 1 biết hệ số góc tiếp tuyến là 3:
y’ = 3 <=> 2x – 1 = 3 <=> x = 2
=> PTTT: y =3(x – 2) + 1 <=> y = 3x – 5.
Câu 3:
a. Ta có:
b. Kẻ
Vì nên
Bài 4:
Điều kiện: x
Ta có:
Mà:
Do đó từ phương trình ta phải có đẳng thức xảy ra, tức là x = 1. Vậy tập nghiệm của phương trình đã cho là S = {1}
Trên đây là một số Đề thi học kì 2 lớp 11 môn toán cùng lời giải chi tiết theo chương trình ba bộ sách kết nối tri thức, cánh diều và chân trời sáng tạo mà VUIHOC đã tổng hợp lại giúp các em ôn tập tốt và hiệu quả hơn. VUIHOC còn rất nhiều bộ đề hay và sát với cấu trúc đề thi khác được biên soạn bởi các thầy cô dạy giỏi trong khóa học PAS THPT. Các em hãy nhanh tay đăng ký khóa học để được các thầy cô hướng dẫn lên lộ trình học tập khoa học nhé! Truy cập ngay vuihoc.vn để cập nhật thêm thật nhiều kiến thức toán học 11 và các môn học khác nhé!
>> Mời bạn tham khảo thêm:
- Ôn thi học kì 2 lớp 11 môn toán
- Đề thi học kì 2 lớp 11 môn lý
- Đề thi học kì 2 lớp 11 môn hóa
- Đề thi học kì 2 lớp 11 môn anh
- Đề thi học kì 2 lớp 11 môn văn