Đáp án đề thi vào lớp 10 môn toán Thanh Hóa năm học 2022 – 2023
Các bậc phụ huynh cũng như các thầy cô giáo vô cùng lo lắng cho kì thi năm nay. Bởi những năm gần đây các trường công lập lấy điểm sàn khá cao cộng với lượng học sinh năm nay cao hơn năm trước rất nhiều. Năm nay các em học sinh cũng ý thức được nhiều khó khăn trước mắt nên học sinh đa phần là chăm ngoan học lực khá giỏi. Để chuẩn bị cho kì thi quan trọng này các em đã không ngừng ôn luyện để mong đến ngày hái quả ngọt.
Hôm nay tại các địa điểm thi phụ huynh vây kín cổng trường hồi hộp chờ đón con em mình hoàn thành môn thi đầu tiên.
Thầy cô giáo, học sinh và phụ huynh nói gì về đề thi toán năm nay?
Một năm học phải gọi là khó khăn và đầy thách thức cho các con vì số lượng học sinh quá đông và còn ảnh hưởng của dịch bệnh. Ý thức được nhiều khó khăn trước mắt nên học sinh năm nay có phần chăm chỉ và học lực tốt hơn hẳn các năm trước. Kết thúc buổi thi toán ra trước cổng trường có nhiều em bật khóc vì bài làm không được như mong muốn. Một số em học lực trung bình và trung bình khá không thể làm được câu III trong đề thi vì phải biến đổi rất phức tạp. Các em chỉ đạt ở mức 6,25 đến 6,5 điểm và xác định không đậu. Học sinh cho rằng đề thi rất khó so với mức học của mình. Giáo viên dạy toán nhiều năm ôn thi 9 lên 10 cho rằng đề năm nay có tính phân loại cao. Học sinh học lực trung bình và trung bình khá khó mà vượt qua 6,5 điểm, học sinh khá có thể làm được 7 điểm và chỉ có học sinh giỏi mới có thể đạt từ 8 điểm trở lên. Đề thi đòi hỏi học sinh phải có tư duy sáng tạo, tính cẩn thận và kiên trì.
Vậy để đạt mục đích cuối cùng là thi đậu thì không dễ chút nào. Ngoài chọn trường đúng với học lực của mình các em cần học tốt ở cả ba môn thi là toán, văn, anh.
Kì thi kết thúc nhiều học sinh có học lực khá giỏi ở trường không thể tự tin mình sẽ đậu. Học sinh trượt lớp 10 rất nhiều và các bố mẹ đã lo chạy tìm trường tư nộp hồ sơ cho con học ngay sau kì thi.
Mời các em học sinh phụ huynh cùng quý thầy cô tham khảo đề thi + đáp án chi tiết môn toán lớp 9 lên 10 Thanh Hóa năm học 2022 2023.

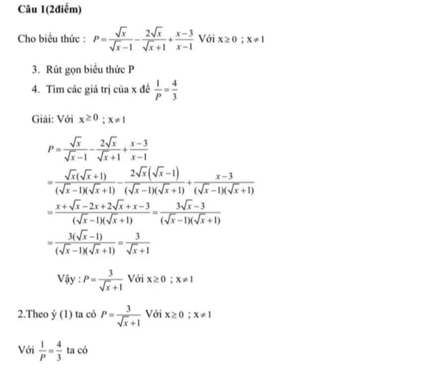
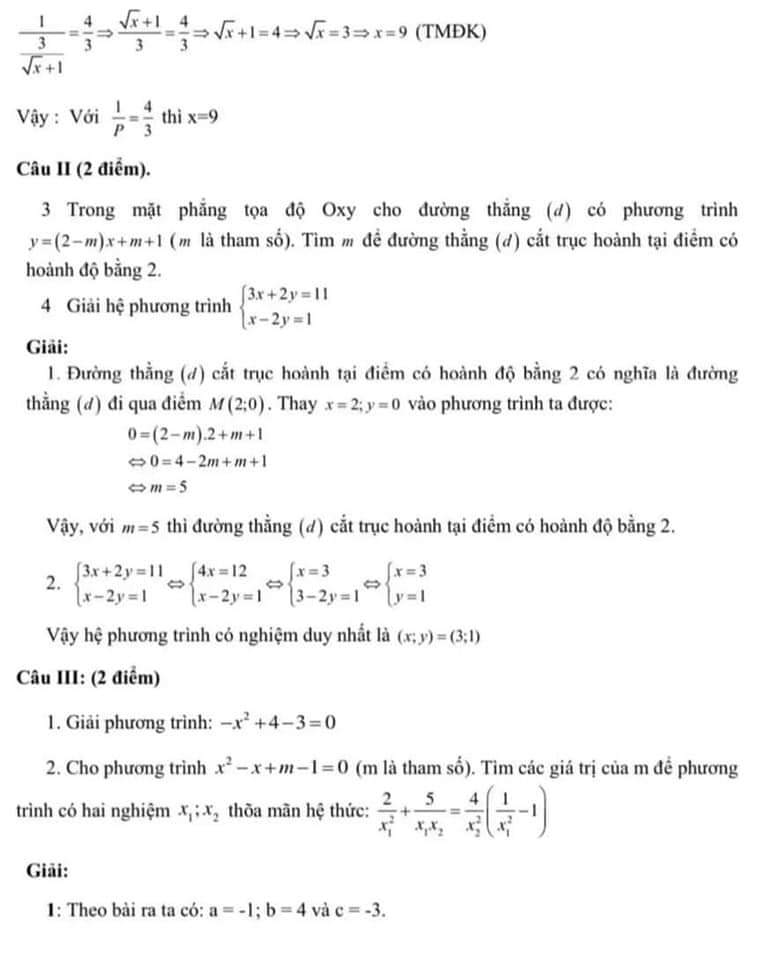
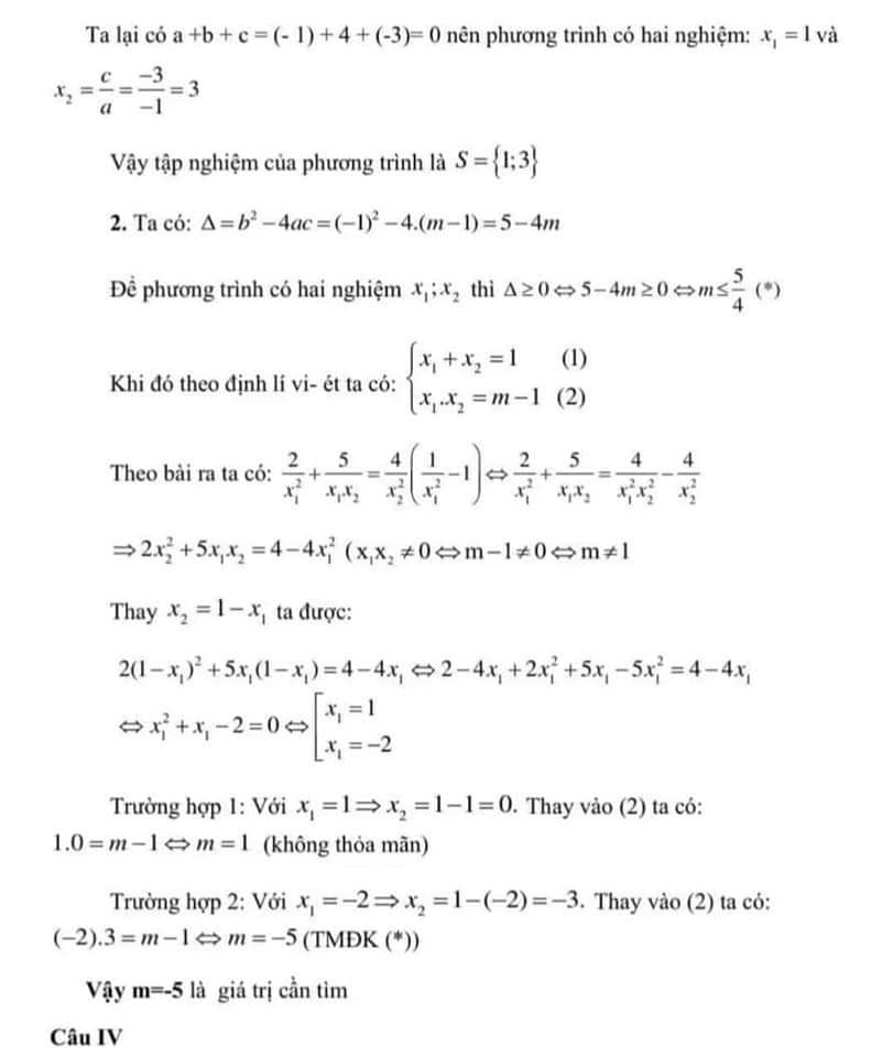
ĐAP ÁN ĐỀ THI VÀO LỚP 10 MÔN TOÁN THANH HÓA NĂM HỌC 2022 – 2023





Điểm chuẩn thi vào lớp 10 các trường công lập TP Thanh Hóa những năm gần đây.
Tổng hợp đề thi thử vào 10, đề thi khảo sát 9 lên 10 của Thanh Hóa tặng các em tham khảo và tự học.
Bộ đề thi ôn luyện vào 10 tặng quý thầy cô và các em học sinh.
Tổng hợp đề thi vào 10 Thanh Hóa những năm gần đây có đáp án chi tiết.
HOTLINE: 0978 – 925 – 119
- Tìm hiểu về TRUNG TÂM GIA SƯ THỦ KHOA: https://giasuthukhoathanhhoa.com/
- Phụ huynh kết bạn nhắn tin facebook: Gia Sư Thủ Khoa
- Sinh viên giáo viên Like và kết bạn facebook: Dương Liễu
- Like trang fanpage: Gia sư Thủ khoa Thanh Hóa
- Tham ra nhóm facebook: GIA SƯ THANH HÓA 1
- Tham gia nhóm facebook: GIA SƯ THANH HÓA 2
- Tham ra nhóm facebook: GIA SƯ THANH HÓA 3
[/su_box]