Đề thi môn Toán thi tốt nghiệp THPT năm 2021 trong vòng 90 phút.
Bước ra khỏi phòng thi, Tống Sỹ Tuấn Thành (học sinh Trường THPT Chuyên Ngoại ngữ) đánh giá, đề Toán năm nay với các nội dung phân bổ đều vào các mảng kiến thức trong chương trình, có phần dễ hơn đề minh hoạ. Nam sinh chỉ mất 30 phút để hoàn thành bài thi.
Thí sinh Ngọc Anh, tại Hội đồng thi Trường THCS Lê Quý Đôn nhìn nhận, câu 1-30 tương đối dễ. Các câu hỏi tăng độ khó dần từ 35 trở đi và đạt đỉnh ở 5 câu hỏi cuối. Các câu hỏi về hàm số, đồ thị đã được ôn luyện khá nhiều.
Thí sinh Nguyễn Tuấn Cường – thuộc diện cách ly, thi tại trường THPT Võ Chí Công – thành phố Đà Nẵng cho biết: “Đề thi vừa sức, không làm khó thí sinh. Em làm được tầm 8-9 điểm. Em và các bạn mặc bộ đồ bảo hộ hôm học quy chế thi ban đầu cũng hơi nóng nhưng dần cũng quen, em sẽ cố gắng hết sức để hoàn thành tốt các bài thi còn lại”.
Lê Hoàng Anh Chi (học sinh Trường THPT Quang Trung) đánh giá, đề thi năm nay có cấu trúc khác hơn so với đề thi của những năm trước do các câu khó – dễ được sắp xếp đan xen. Nữ sinh tự tin mình có thể đạt khoảng 8,25 điểm.
XEM ĐÁP ÁN ĐỀ THI MÔN TOÁN THI TỐT NGHIỆP THPT 2021
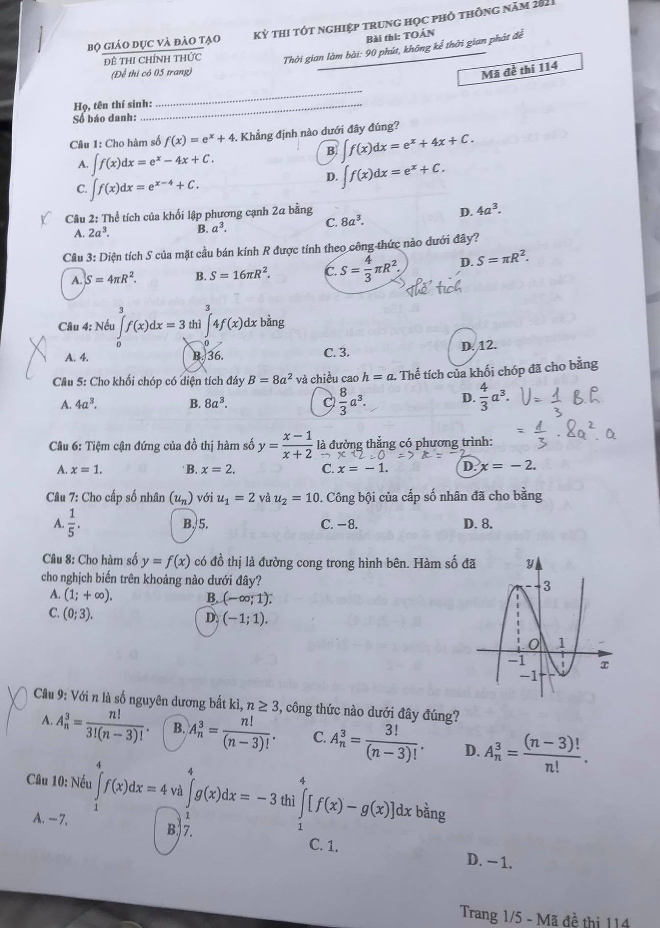
Đề thi môn Toán thi tốt nghiệp THPT 2021 mã đề 114
Đề thi môn Toán thi tốt nghiệp THPT 2021 mã đề 115
Đề thi Toán thi tốt nghiệp THPT năm 2021 mã đề 119
Đề thi môn Toán thi tốt nghiệp THPT 2021
Năm ngoái, cả nước có 845.473 thí sinh dự thi môn Toán thi tốt nghiệp THPT. Điểm trung bình của môn Toán là 6,68. Điểm số có nhiều thí sinh đạt nhất là 7,8. Cả nước có 273 thí sinh được điểm 10 môn Toán.
Theo quy chế của Bộ GD-ĐT đưa ra, điểm xét tốt nghiệp THPT gồm điểm các bài thi thí sinh dự thi để xét công nhận tốt nghiệp THPT, điểm ưu tiên, khuyến khích (nếu có) và điểm trung bình cả năm lớp 12.
Điểm của từng bài thi được quy về thang điểm 10 để tính điểm xét tốt nghiệp. Điểm xét tốt nghiệp sẽ bao gồm: 70% điểm thi THPT và 30% điểm trung bình lớp 12.
Cách tính điểm xét tốt nghiệp THPT năm 2021
Điểm xét tốt nghiệp sẽ được lấy đến 2 chữ số thập phân, do phần mềm máy tính tự động thực hiện.
Những thí sinh đủ điều kiện dự thi, không bị kỷ luật hủy kết quả thi, tất cả bài thi và các môn thi thành phần của bài thi tổ hợp đăng ký dự thi để xét công nhận tốt nghiệp đều đạt trên 1 điểm theo thang điểm 10 và có điểm xét tốt nghiệp từ 5 điểm trở lên được công nhận tốt nghiệp THPT.
Theo Quy chế tuyển sinh đại học năm 2021 (sửa đổi) do Bộ GD-ĐT ban hành, sau khi biết điểm thi tốt nghiệp THPT, mỗi thí sinh được thay đổi nguyện vọng xét tuyển đại học tối đa 3 lần.
>>> Mời quý phụ huynh và học sinh xem lịch thi tốt nghiệp THPT năm 2023
Thanh Hùng