Bộ đề thi giữa học kì 2 môn Toán lớp 6 bộ 3 sách mới Kết nối tri thức, Chân trời sáng tạo, Cánh Diều được VnDoc tổng hợp và đăng tải gồm nhiều dạng đề thi khác nhau, giúp các em ôn luyện, chuẩn bị cho kì thi giữa kì 2 lớp 6 sắp tới. Chúc các bạn thi tốt!
Lưu ý: Toàn bộ 24 đề thi và đáp án đều có trong file tải về, các bạn vui lòng tải về xem trọn bộ
Link tải trọn bộ đề thi 3 sách mới lớp 6
- Đề thi giữa kì 2 Toán 6 Kết nối tri thức
- Đề thi giữa kì 2 Toán 6 Chân trời sáng tạo
- Đề thi giữa kì 2 Toán 6 sách Cánh Diều
1. Đề thi Toán giữa kì 2 lớp 6 Kết nối tri thức
Đề thi Toán KNTT giữa kì 2 lớp 6 số 1
A: Trắc nghiệm
Câu 1: Trong các cách viết dưới đây, cách viết nào cho ta phân số?
A. (frac{3}{0})
B. (frac{{0,25}}{3})
C. (frac{4}{7})
D. (frac{{1,25}}{{2,7}})
Câu 2: Hai phân số (frac{a}{b}) và
(frac{c}{d}) (với a, b, c, d là các số nguyên khác 0) gọi là bằng nhau nếu:
A. a.c = b.d
B. a.d = b.c
C. a.b = c.d
D. a:d = b:c
Câu 3: Phân số nào sau đây bằng phân số (frac{{ – 3}}{5})?
A.
(frac{{ – 9}}{{15}})
B. (frac{5}{{15}})
C.
(- frac{3}{{10}})
D. (- frac{{10}}{5})
Câu 4: Cho hai điểm A và B thuộc tia Ot và OA = 4cm, OB = 8cm thì:
A. A là trung điểm của đoạn thẳng OB
B. O là trung điểm của đoạn thẳng AB
C. B là trung điểm của đoạn thẳng OA
D. Không có đoạn thẳng nào có trung điểm
Câu 5: Kết quả của phép tính (-4,44 + 60 – 5,56) : (1,2 – 0,8) là:
A. -125
B. -152
C. 125
D. 152
Câu 6: Số nguyên m nào sau đây thỏa mãn
(frac{m}{8} > frac{{ – 7}}{8})?
A. m = -8
B. m = -10
C. m = 0
D. m = -5
Câu 7: Tính diện tích hình vuông có độ dài cạnh là 12,3m (Làm tròn đến chữ số hàng chục)
A. 150m2
B. 151,29m2
C. 151m2
D. 151,3m2
Câu 8: Lớp 6A có 40 học sinh trong đó có 12,5% học sinh giởi. Số học sinh giỏi của lớp 6A là:
A. 8
B. 6
C. 10
D. 5
Câu 9: Cho tia Mx lấy điểm O thuộc tia Mx. Vẽ tia MN là tia đối của tia Mx. Khẳng định nào sau đây là đúng?
A. Tia MN cũng đi qua điểm O
B. Hai điểm M và N nằm cùng phía so với điểm O
C. Điểm O nằm giữa hai điểm M và N
D. Điểm N không thuộc đường thẳng MO
Câu 10: Trong hộp có một số bút xanh, một số bút vàng và một số bút đỏ. lấy ngẫu nhiên 1 bút từ hộp, xem màu gì rồi trả lại. Lặp lại hoạt động trên 40 lần ta được kết quả như sau:
Màu bút
Bút xanh
Bút vàng
Bút đỏ
Số lần
14
10
16
Tính xác suất thực nghiệm của sự kiện lấy được màu đỏ
A. 0,4
B. 0,6
C. 0,16
D. 0,15
B. Phần tự luận
Câu 1: Thực hiện các phép tính:
a) (left( {frac{7}{{16}} + frac{{ – 1}}{8} + frac{9}{{32}}} right):frac{5}{4})
b) (10frac{2}{9} + 2frac{3}{5} – 6frac{2}{9})
c)
(30% – 2frac{2}{5} + 0,2.frac{1}{2})
d)
(frac{{ – 25}}{{30}}.frac{{37}}{{44}} + frac{{ – 25}}{{30}}.frac{{13}}{{44}} + frac{{ – 25}}{{30}}.frac{{ – 6}}{{44}})
2) Tìm x biết:
a) (2,5x + frac{4}{7} = – 1,5)
b, x + 3,25 = 6,15
Bài 3: Một nhà thầu xây dựng nhận xây cất một ngôi nhà với chi phí là 360 000 000 đồng nhưng chủ nhà xin hạ bớt 2,5% và nhà thầu đã đồng ý. Tính số tiền nhà thầu nhận xây nhà?
Bài 4: Trên tia Ox lấy hai điểm A và B sao cho OA = 3 cm; OB = 6 cm.
a) Điểm A có nằm giữa hai điểm O và B không? Vì sao?
b) So sánh OA và AB.
c) Chứng minh điểm A là trung điểm của OB.
d) Lấy điểm C trên tia Ox sao cho C là trung điểm của đoạn thẳng AB. Tính độ dài đoạn thẳng OC.
Bài 5: Tính tổng:
Đáp án đề thi cuối kì 2 lớp 6 môn Toán sách KNTT số 1
I. Đáp án Phần trắc nghiệm
1. C
2. B
3. A
4. A
5. C
6. C
7. A
8. D
9. B
10. A
II. Đáp án Phần tự luận
Câu 1:
a) (left( {frac{7}{{16}} + frac{{ – 1}}{8} + frac{9}{{32}}} right):frac{5}{4} = frac{{19}}{{32}}:frac{5}{4} = frac{{19}}{{32}}.frac{4}{5} = frac{{19}}{{40}})
b) (10frac{2}{9} + 2frac{3}{5} – 6frac{2}{9} = left( {10frac{2}{9} – 6frac{2}{9}} right) + 2frac{3}{5} = 4 + frac{{13}}{5} = frac{{33}}{5})
c) (30% – 2frac{2}{5} + 0,2.frac{1}{2} = frac{3}{{10}} – frac{{12}}{5} + frac{2}{{10}}.frac{1}{2} = frac{1}{5} – frac{{12}}{5} = – frac{{11}}{5})
d)
(frac{{ – 25}}{{30}}.frac{{37}}{{44}} + frac{{ – 25}}{{30}}.frac{{13}}{{44}} + frac{{ – 25}}{{30}}.frac{{ – 6}}{{44}})
(begin{matrix} = dfrac{{ – 25}}{{30}}.left( {dfrac{{37}}{{44}} + dfrac{{13}}{{44}} + dfrac{{ – 6}}{{44}}} right) hfill = dfrac{{ – 25}}{{30}}.dfrac{{44}}{{44}} = dfrac{{ – 25}}{{30}} hfill end{matrix})
2) Tìm x biết:
a) (2,5x + frac{4}{7} = – 1,5)
(begin{matrix} 2,5x = – 1,5 – dfrac{4}{7} hfill 2,5x = – dfrac{{29}}{{14}} hfill x = – dfrac{{29}}{{14}}:2,5 hfill x = – dfrac{{29}}{{35}} hfill end{matrix})
Vậy x = -29/35
b) x + 3,25 = 6,15
x = 6,15 – 3,25
x = 2,9.
Vậy x = 2,9.
Bài 3 (1,5 điểm):
Cách 1:
Nếu xem số tiền nhà thầu nhận xây nhà ban đầu là 100% thì số tiền xây nhà sau khi bớt so với số tiền ban đầu là:
100% − 2,5% = 97,5%
Số tiền nhà thầu nhận xây nhà là:
360 000 000 × 97,5 : 100 = 351 000 000 (đồng)
Vậy số tiền nhà thầu nhận xây nhà là 351 000 000 đồng.
Cách 2:
Số tiền chủ nhà xin hạ bớt là:
360 000 000 × 2,5 : 100 = 9 000 000 (đồng)
Số tiền nhà thầu nhận xây nhà là:
360 000 000 – 9 000 000 = 351 000 000 (đồng)
Vậy số tiền nhà thầu nhận xây nhà là 351 000 000 đồng.
Bài 4 (2,5 điểm):
a) Trên tia Ox, ta có OA < OB (vì 2 cm < 4 cm)
Do đó, điểm A nằm giữa hai điểm O và B.
b) Vì điểm A nằm giữa hai điểm O và B nên:
OA + AB = OB
3 + AB = 6
Suy ra: AB = 6 – 3 = 3 (cm).
Mà OA = 3 cm.
Vậy OA = AB.
c) Điểm A là trung điểm của đoạn thẳng OB vì:
+ Điểm A nằm giữa hai điểm O và B (chứng minh câu a)
+ OA = AB (chứng minh câu b)
Vậy điểm A là trung điểm của đoạn thẳng OB.
d) Vì điểm C là trung điểm của đoạn thẳng AB nên:
Điểm C nằm giữa hai điểm O và B vì:
+ Ba điểm O, B, C cùng nằm trên một đường thẳng (cùng thuộc tia Ox)
+ BC < OB (1,5 cm < 6 cm)
Vì điểm C nằm giữa hai điểm O và B nên:
OC + BC = OBOC + 1,5 = 6
Suy ra: OC = 6 – 1,5 = 4,5 (cm).
Vậy OC = 4,5 cm.
Bài 5 (0,5 điểm):
2. Đề thi giữa kì 2 Toán 6 KNTT số 2
I. PHẦN TRẮC NGHIỆM: (2 điểm) Khoanh tròn vào chữ cái đứng trước câu trả lời đúng
Câu 1: Trong hai phân số có cùng mẫu dương, phân số có tử lớn hơn thì
A. lớn hơn
B. nhỏ hơn
C. không so sánh được
D. bằng nhau
Câu 2: Biết (frac{5}{2} x=4). Giá trị của x bằng
A. 10
B. (frac{8}{5})
C. (frac{5}{8})
D. 15
Câu 3: Giá trị của y để (frac{3}{7}=frac{-24}{y}) là
A. y = 49
B. y = −56
C. y = 56
D. y = −49
Câu 4: Quan sát hình và cho biết đâu là khẳng định đúng
A. Điểm A thuộc đường thẳng d
B. Điểm C thuộc đường thẳng d
C. Đường thẳng AB đi qua điểm C
D. Ba điểm ABC thẳng hàng
Câu 5: Giá trị (frac{m}{n}) của a là
A. (frac{m}{n}: a)
B. (a: frac{m}{n})
C. (frac{m}{n} cdot a)
D. (frac{n}{m} cdot a)
Câu 6: Được cô giáo giao nhiệm vụ thống kê điểm kiểm tra giữa kì môn Toán của các thành viên trong tổ, bạn Minh lập được bảng sau:
Số điểm 10 9 8 7 6 5 3 Số người 3 3 3 4 1 1 1
Theo thống kê trên, số bạn đạt điểm 8 là
A. 8 bạn
B. 4 bạn
C. 1 bạn
D. 3 bạn
Câu 7: Biểu đồ dưới đây cho biết số lượng khách (đơn vị: người) đến du lịch ở một số địa phương năm 2018.
Theo biểu đồ trên, địa phương nào có khách đến du lịch nhiều nhất và số lượng khách đến đó là bao nhiêu?
A. Nha Trang với 45000 người
B. Đà Nẵng với 60000 người
C. Đà Nẵng với 50000 người
D. Huế với 36000 người
Câu 8: Cho đoạn AB = 6cm. M là điểm thuộc đoạn AB sao cho MB = 5cm . Khi đó độ dài đoạn MA là
A. 1 cm
B. 3 cm
C. 11 cm
D. 2 cm
II. PHẦN TỰ LUẬN: (8 điểm)
Câu 1 (2 điểm).Thực hiện các phép tính (tính hợp lí nếu có thể):
a) (frac{3}{5}+frac{-4}{9})
b) (frac{3}{5}+frac{2}{5} cdot frac{15}{8})
c) (frac{7}{2} cdot frac{8}{13}+frac{8}{13} cdot frac{-5}{2}+frac{8}{13})
d) (frac{-5}{17} cdot frac{-9}{23}+frac{9}{23} cdot frac{-22}{17}+11 frac{9}{23})
Câu 2 (2 điểm). Tìm x, biết:
a) (frac{7}{8}+x=frac{3}{5})
b) (frac{1}{3}:(2 x-1)=frac{-4}{24})
c) (frac{17}{2}-left|x-frac{3}{4}right|=frac{-7}{4})
d) ((3 x+2)left(frac{-2}{5} x-7right)=0)
Câu 3 (1 điểm) Ông Ba muốn lát gạch và trồng cỏ cho sân vườn. Biết diện tích phần trồng cỏ bằng (frac{1}{5}) diện tích sân vườn và diện tích phần lát gạch là 36m2
a) Tính diện tích sân vườn.
b) Giá 1m2 cỏ là 50000 đồng, nhưng khi mua ông được giảm giá 5% . Vậy số tiền cần mua cỏ là bao nhiêu?
Câu 4 (2 điểm)
Trên tia Ox, lấy hai điểm A và B sao cho: OA = 3cm, OB =6 cm.
a) Kể tên các tia trùng nhau gốc O, các tia đối nhau gốc A?
b) Điểm A có phải trung điểm của đoạn OB không? Vì sao?
Câu 5 (1 điểm)
a) Tính tổng: (M=1+frac{1}{5}+frac{3}{35}+ldots+frac{3}{9603}+frac{3}{9999})
b) Chứng minh rằng: (S=frac{1}{4^{2}}+frac{1}{6^{2}}+frac{1}{8^{2}}+ldots+frac{1}{(2 n)^{2}}<frac{1}{4} quad(mathrm{n} in mathrm{N}, mathrm{n} geq 2))
Đáp án Đề thi Toán lớp 6 giữa học kì 2
Phần I: Trắc nghiệm (2 điểm).
Câu 1 2 3 4 5 6 7 8 Đáp án A B B A C D C A
Mỗi đáp án chọn đúng cho 0,25 điểm
Phần II: Tự luận (8 điểm)
Câu Ý Đáp án Điểm 1 a (frac{3}{5}+frac{-4}{9}=frac{27}{45}+frac{-20}{45}=frac{7}{45}) 0,5 b (frac{3}{5}+frac{2}{5} cdot frac{15}{8}=frac{3}{5}+frac{3}{4}=frac{12}{20}+frac{15}{20}=frac{27}{20}) 0,5 c (begin{aligned} &frac{7}{2} cdot frac{8}{13}+frac{8}{13} cdot frac{-5}{2}+frac{8}{13}=frac{8}{13} cdotleft(frac{7}{2}+frac{-5}{2}+1right) &=frac{8}{13} cdot 2=frac{16}{13} end{aligned})
0,25
0,25
d (begin{aligned} &frac{-5}{17} cdot frac{-9}{23}+frac{9}{23} cdot frac{-22}{17}+11 frac{9}{23}=frac{5}{17} cdot frac{9}{23}+frac{9}{23} cdot frac{-22}{17}+11 frac{9}{23} &=frac{9}{23} cdotleft(frac{5}{17}+frac{-22}{17}right)+11 frac{9}{23} &=frac{-9}{23}+11 frac{9}{23}=11 end{aligned})
0,25
0,25
2 a (begin{aligned} &frac{7}{8}+x=frac{3}{5} &x=frac{3}{5}-frac{7}{8} &x=frac{-11}{40} end{aligned})
0,25
0,25
b (begin{aligned} &frac{1}{3}:(2 x-1)=frac{-4}{24}=>2 x-1=frac{1}{3}: frac{-1}{6} &2 x-1=-2 &2 x=-1 &x=frac{-1}{2} end{aligned})
0,25
0,25
c (begin{aligned} &frac{17}{2}-left|x-frac{3}{4}right|=frac{-7}{4} &left|x-frac{3}{4}right|=frac{41}{4} &Rightarrowleft[begin{array} { l } { x – frac { 3 } { 4 } = frac { 4 1 } { 4 } } { x – frac { 3 } { 4 } = frac { – 4 1 } { 4 } } end{array} Rightarrow left[begin{array}{l} x=11 x=frac{-19}{2} end{array}right.right. end{aligned})
0,25
0,25
d (begin{aligned} &(3 x+2)left(frac{-2}{5} x-7right)=0 &Rightarrowleft[begin{array} { l } { 3 x + 2 = 0 } { frac { – 2 } { 5 } x – 7 = 0 } end{array} Rightarrow left[begin{array}{l} 3 x=-2 frac{-2}{5} x=7 x=frac{-2}{3} x=frac{-35}{2} end{array}right.right. &Rightarrowleft[begin{array}{l} x x end{array}right. end{aligned})
0,25
0,25
3 a
Phân số biểu thị diện tích phần lát gạch là :
(1-frac{1}{5}=frac{4}{5})(diện tích sân vườn)
Diện tích sân vườn là:
(36: frac{4}{5}=36 cdot frac{5}{4}=45) (m2)
0,25
0,25
b
Diện tích đất trồng cỏ là:
45 − 36 = 9 (m2)
Giá của 9m2 cỏ là: 50000.9 450000 = (đồng)
Vì ông Ba được giảm giá 5% nên số tiền phải trả để mua cỏ bằng 95% giá tiền ban đầu của 9m2 cỏ.
Vậy số tiền mua cỏ là: 95%.450000 = 427500(đồng)
0,25
0,25
a 0,5 4
+ Các tia trùng nhau gốc O là: tia Ox, tia OA, tia OB
+ Các tia đối nhau gốc A là: tia AO và tia AB , tia AO và tia Ax .
0,25
0,25
b
Theo hình vẽ, ta có: OA + AB = OB
AB = OB −OA = 6 − 3 = 3 cm
Mà OA = 3cm
OA = ABTheo hình vẽ, ta có A nằm giữa O và B
Mà OA = AB
Suy ra A là trung điểm của đoạn thẳng OB
0,5
2. Đề thi giữa kì 2 Toán 6 sách Cánh Diều
Đề thi Toán 6 giữa học kì 2 Cánh diều số 1
A. Phần trắc nghiệm (4 điểm)
Chọn một phương án trả lời đúng của mỗi câu hỏi sau rồi ghi vào giấy làm bài.
Câu 1: Quy đồng mẫu số của ba phân số (frac{1}{8};frac{3}{2};frac{2}{9}) với mẫu số chung nhỏ nhất là số nào sau đây?
A. 12
B. 18
C. 72
D. 144
Câu 2: Kết quả của phép tính: (frac{{ – 5}}{8} – left( {frac{3}{8} – frac{7}{8}} right))
A. (frac{{ – 1}}{8})
B. (frac{{ – 15}}{8})
C. (- frac{3}{8})
D. (frac{{ – 11}}{8})
Câu 3: Giá trị của x tìm được trong biểu thức là bao nhiêu?
A. 39
B. -39
C. -9
D. 9
Câu 4: Gọi O là điểm bất kì thuộc đoạn thẳng AB, điểm O nằm ở đâu? Hãy chọn câu trả lời đúng nhất trong các câu sau.
A. Điểm O phải trùng với điểm A
B. Điểm O phải trùng với điểm B
C. Điểm O nằm giữa hai điểm A và B
D. Điểm O trùng với điểm A hoặc trùng với điểm B hoặc nằm giữa hai điểm A và B.
Câu 5: Gieo một con xúc sắc 6 mặt cân đối thì số chấm xuất hiện là 1 số. Số đó là số chính phương lớn hơn 2. Vậy số chấm xuất hiện là
A. 5
B. 3
C. 2
D. 4
Cho biểu đồ bình chọn loại quả yêu thích của khối 6 dưới đây:
Câu 6: Loại quả được yêu thích nhiều nhất là:
A. Quả chuối
B. Quả nho
C. Quả táo
D. Quả lê
Câu 7: Tổng số lượt yêu thích các loại quả là:
A. 25
B. 32
C. 64
D. 125
Câu 8: Nếu tung đồng xu 15 lần liên tiếp, có 5 lần xuất hiện mặt S, khi đó xác suất thực nghiệm của mặt N là:
A. (frac{1}{3})
B. (frac{1}{5})
C. (frac{5}{6})
D. (frac{2}{3})
B. Phần tự luận (6 điểm)
Câu 1: Thực hiện các phép tính:
a) (frac{2}{3}.frac{3}{4} + frac{1}{2}.frac{5}{6})
b) (frac{1}{3}.left( {frac{9}{4} – frac{6}{5}} right) + frac{1}{5}:frac{1}{{10}})
c) (frac{1}{{143}} + frac{1}{{99}} + frac{1}{{63}} + frac{1}{{35}} + frac{1}{{15}})
d) (frac{{ – 1}}{5}.frac{6}{7} + frac{9}{7}.frac{1}{{ – 5}} – frac{1}{5}.frac{1}{{ – 7}})
Câu 2: Tìm x biết:
a) (frac{x}{2} = frac{2}{3} + frac{{ – 3}}{{12}})
b) (2x – frac{1}{5} = frac{{ – 1}}{3}:frac{5}{7})
c) (x – frac{7}{{15}}:frac{3}{5} = frac{3}{{10}})
Câu 3: Một xạ thủ bắn 20 mũi tên vào một tấm bia. Điểm số ở các lần bắn được cho ở bảng sau:
7
8
9
9
8
10
10
9
8
10
8
8
9
10
10
7
6
6
9
9
Tính xác suất thực nghiệm để xạ thủ bắn được ít nhất 8 điểm.
Câu 4: Trên tia Ox lấy hai điểm M và N sao cho OM = 42mm, ON = 32mm
a) Trong ba điểm O, M, N thì điểm nào nằm giữa hai điểm còn lại? Vì sao?
b) Tính độ dài đoạn thẳng MN
c) Trên tia đối của tia Ox lấy điểm P sao cho cho OP = 2cm. Tính độ dài PM.
Câu 5: Tìm x biết
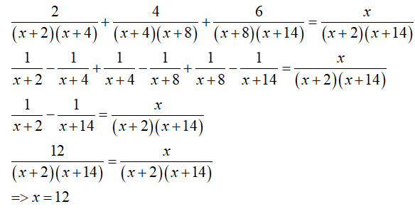
(frac{2}{{left( {x + 2} right)left( {x + 4} right)}} + frac{4}{{left( {x + 4} right)left( {x + 8} right)}} + frac{6}{{left( {x + 8} right)left( {x + 14} right)}} = frac{x}{{left( {x + 2} right)left( {x + 14} right)}})
Đáp án đề thi giữa kì 2 Toán lớp 6 sách Cánh Diều
A. Đáp án phần trắc nghiệm (4 điểm)
B. Đáp án phần tự luận (6 điểm)
Câu 1:
a) (frac{2}{3}.frac{3}{4} + frac{1}{2}.frac{5}{6} = frac{{11}}{{12}})
b) (frac{1}{3}.left( {frac{9}{4} – frac{6}{5}} right) + frac{1}{5}:frac{1}{{10}} = frac{{47}}{{20}})
c) (frac{1}{{143}} + frac{1}{{99}} + frac{1}{{63}} + frac{1}{{35}} + frac{1}{{15}} = frac{5}{{39}})
d) (frac{{ – 1}}{5}.frac{6}{7} + frac{9}{7}.frac{1}{{ – 5}} – frac{1}{5}.frac{1}{{ – 7}} = frac{{ – 2}}{5})
Câu 2:
a) (frac{x}{2} = frac{2}{3} + frac{{ – 3}}{{12}})
(begin{matrix} dfrac{x}{2} = dfrac{5}{{12}} hfill x = dfrac{{2.5}}{{12}} = dfrac{5}{6} hfill end{matrix})
Vậy x = 5/6
b) (2x – frac{1}{5} = frac{{ – 1}}{3}:frac{5}{7})
(begin{matrix} 2x – dfrac{1}{5} = dfrac{{ – 7}}{{15}} hfill 2x = dfrac{{ – 7}}{{15}} + dfrac{1}{5} hfill 2x = dfrac{{ – 4}}{{15}} hfill x = dfrac{{ – 2}}{{15}} hfill end{matrix})
Vậy x = -2/15
c.
Câu 3:
Tổng số lần xạ thủ bắn vào bia là 20 lần.
Số lần xạ thủ bắn được 10 điểm là 5 lần.
Số lần xạ thủ bắn được 9 điểm là 6 lần.
Số lần xạ thủ bắn được 8 điểm là 5 lần.
Số lần xạ thủ bắn được ít nhất 8 điểm là: 5 + 6 + 5 = 16 lần
Xác xuất thực nghiệm để xạ thủ bắn được ít nhất 8 điểm là 16/20 = 4/5
Câu 4:
Trên tia Ox lấy hai điểm M và N sao cho OM = 42mm, ON = 32mm
a) Trong ba điểm O, M, N thì điểm N nằm giữa hai điểm còn lại, vì độ dài OM lớn hơn ON
b) Độ dài đoạn thẳng MN là:
MN = OM – ON = 42 – 32 = 10 (mm)
c) OP = 2cm = 20mm
Độ dài PM là:
PM = PO + OM = 20 + 42 = 62 (mm)
Câu 5: Tìm x biết:
Đề thi giữa kì 2 Toán 6 Cánh diều số 2
I. TRẮC NGHIỆM KHÁCH QUAN (5 điểm)
* Khoanh tròn vào phương án trả lời đúng nhất trong các câu sau:
Câu 1 (0,25đ): (NB-TD) Trong cách viết sau đây, cách viết nào cho ta phân số?
A. (frac{4}{7})B. (frac{0,25}{-3})C. (frac{5}{0})D. (frac{6,23}{7,4})
Câu 2 (0,25đ): (NB-GQVĐ) Phân số nào sau đây bằng phân số (frac{3}{4})?
A. (frac{13}{20})B. (frac{25}{16})C. (frac{6}{8})D. (frac{10}{75})
Câu 3 (0,25đ): (NB-TD) Phân số đối của phân số (frac{-16}{25})?
A. (frac{16}{25})B. (frac{25}{16})C. (frac{6}{8})D. (frac{10}{75})
Câu 4 (0,25đ): (NB-TD) Hãy chọn cách so sánh đúng?
A. (frac{-2}{4}<frac{-3}{4})B. (frac{-4}{5}<frac{-3}{5})C. (frac{1}{4}<frac{-3}{4})D. (frac{-1}{6}<frac{-5}{6})
Câu 5 (0,25đ): (NB-TD) Hỗn số (5frac{2}{3})được viết dưới dạng phân số?
A. (frac{17}{3})B. (frac{3}{17})C. (frac{5}{3})D. (frac{4}{3})
Câu 6 (0,25đ): (NB-TD)Trong các số sau, số nào là số thập phân âm?
A. 75B. -75C. -7,5D. 7,5
Câu 7 (0,25đ): (NB-TD) Phân số (frac{-31}{10})được viết dưới dạng số thập phân?
A. 1,3B. 3,3C. -3,2D. -3,1
Câu 8 (0,25đ): (NB-TD) Số đối của số thập phân -1,2?
A. 12B. 1,2C. -12D. 0,12
Câu 9 (0,25đ): (NB-GQVĐ)Số 3,148 được làm tròn đến hàng phần chục?
A. 3,3B. 3,1C. 3,2D. 3,5
Câu 10 (0,25đ): (TH-GQVĐ) Giá trị của tổng (frac{-7}{6}+frac{18}{6})?
A. (frac{-4}{6})B. (frac{11}{6})C. -1D. (frac{-85}{72})
Câu 11 (0,25đ): (TH-GQVĐ) Kết quả phép tính (frac{9}{5}:frac{-3}{5})?
A. 3B. 4C. – 3D. -4
Câu 12 (0,25đ): (TH-GQVĐ) Kết quả phép tính (frac{3}{4}.frac{4}{3})?
A. 3B. 4C. 1D. 2
Câu 13 (0,25đ): (TH-GQVĐ) Tính (frac{1}{4})của 20?
A. 4B. 5C. 6D. 7
Câu 14 (0,25đ): (TH-GQVĐ) Kết quả của phép tính 7,5:2,5?
A. 2B. 4C. -3D. 3
Câu 15 (0,25đ): (TH-GQVĐ) Kết quả của phép tính 3,2 – 5,7?
A. -2,5B. 2,5C. 5,2D. -5,2
Câu 16 (0,5đ): (NB-TD) Điểm A không thuộc đường thẳng d được kí hiệu?
A. d ∈ AB. A ∈ dC. A ∉ dD. A ⊂ d
Câu 17 (0,25đ): (NB-TD)Có bao nhiêu đường thẳng đi qua hai điểm phân biệt A và B?
A. 1B. 2C. 3D. Vô số đường thẳng
Câu 18 (0,25đ): (NB-GT) Cho hình vẽ: Có bao nhiêu tia trong hình vẽ đã cho?
A. 1B. 2C. 3D. 4
Câu 19 (0,25đ): (TH-GT) Cho hình vẽ bên: Hãy chỉ ra hai đường thẳng AB và AC
Câu 20 (0,25đ): (TH-GQVĐ,CC) Cho điểm B nằm giữa hai điểm A và C. Biết AB = 3cm, AC = 8cm. Độ dài BC = ?
A. 5cmB. 11cmC. 4cmD. 8cm
II. TỰ LUẬN (5 điểm)
Câu 21 (0,75): (TH-GQVĐ)Thực hiện phép tính một cách hợp lí
a) (A=frac{3}{5}.frac{5}{4}-frac{3}{5}.frac{1}{4})
b) B = 6,3 + (-6,3) + 4,9
Câu 22 (1đ): (VD-GQVĐ)Tìm x, biết
a) x – 5,01 = 7,02 – 2.1,5
b) (x-frac{3}{10}=frac{7}{15}.frac{3}{5})
Câu 23 (1đ): (VD-MHH,GQVĐ)Chi đội lớp 6A có 45 học sinh. Trong đó, có 18 học sinh tham gia Đại hội thể dục thể thao. Tính tỉ số phần trăm số học sinh tham gia Đại hội thể dục thể thao.
Câu 24 (1,25đ): (TH- GT-CC-GQVĐ)Cho đoạn thẳng AB dài 8cm. Lấy điểm C nằm giữa hai điểm A và B sao cho AC = 4cm. Tính độ dài đoạn thẳng CB.
Câu 25 (1đ): (VD-GQVĐ) Tính giá trị của biểu thức: (P=frac{1}{1.2}+frac{1}{2.3}+ frac{1}{3.4}+…+frac{1}{99.100})
Đáp án Đề thi giữa học kì 2 lớp 6 môn Toán
I. TRẮC NGHIỆM KHÁCH QUAN (7,5 điểm)
Mỗi ý đúng được 0,25 điểm
II. TỰ LUẬN (5 điểm)
Câu 21 (0,75): Thực hiện phép tính một cách hợp lí
a) (A=frac{3}{5}.frac{5}{4}-frac{3}{5}.frac{1}{4} =frac{3}{5} .(frac{5}{4}-frac{1}{4} )=frac{3}{5} .frac{4}{4}=frac{3}{5} .1=frac{3}{5}) (0,5đ)
b) C = 6,3 + (-6,3) + 4,9 = [6,3 + (-6,3)] + 4,9 = 0 + 4,9 = 4,9 (0,25đ)
Câu 22 (1đ): Tìm x, biết:
Câu 23 (1đ):
Số phần trăm học sinh tham gia Đại hội thể dục thể thao:
(frac{18}{45}.100%=40%) (1đ)
Câu 24 (1,25đ):
Vẽ đúng hình: 0,25đ.
AB = 8cm
AC = 4cm
CB = AB – AC = 8 – 4 = 4cm (1đ)
Câu 25 (1đ):
(P=frac{1}{1.2}+frac{1}{2.3}+ frac{1}{3.4}+…+frac{1}{99.100})
(=1-frac{1}{2} +frac{1}{2} -frac{1}{3} +frac{1}{3}- frac{1}{4} +…+frac{1}{99} -frac{1}{100})
(=1-frac{1}{100}=frac{99}{100}) (1đ)
3. Đề thi Toán giữa kì 2 lớp 6 Chân trời sáng tạo
Đề thi Toán giữa kì 2 lớp 6 CTST Số 1
A. Phần trắc nghiệm (4 điểm)
Chọn một phương án trả lời đúng của mỗi câu hỏi sau rồi ghi vào giấy làm bài.
Câu 1: Chọn phát biểu sai trong các phát biểu sau:
A. Trong hai số thập phân âm, số nào có số đối lớn hơn thì số đó nhỏ hơn.
B. Nếu hai số thập phân trái dấu, số thập phân dương luôn lớn hơn số thập phân âm.
C. Trong hai số thập phân dương, số nào có phần nguyên lớn hơn thì số đó lớn hơn.
D. Nếu hai số thập phân trái dấu, số thập phân âm luôn lớn hơn số thập phân dương.
Câu 2: Trong các khẳng định sau khẳng định nào sai?
A. (frac{{ – 1515}}{{2828}} = frac{{ – 151515}}{{282828}})
B. (frac{{ – 21}}{{28}} = frac{{ – 39}}{{52}})
C. (frac{{52}}{{91}} = frac{{28}}{{49}})
D. (frac{{165}}{{143}} = frac{{26}}{{30}})
Câu 3: Rút gọn phân số (frac{{ – 32}}{{60}}) đến tối giản ta được phân số:
A. (frac{{ – 16}}{{30}})
B. (frac{{16}}{{30}})
C. (frac{8}{{15}})
D.(frac{{ – 8}}{{15}})
Câu 4: Trong các phân số (frac{7}{{ – 12}};frac{7}{{ – 10}};frac{{ – 7}}{8};frac{7}{{12}}), phân số nào là nhỏ nhất?
A. (frac{7}{{ – 12}})
B. (frac{7}{{ – 10}})
C. (frac{{ – 7}}{8})
D. (frac{7}{{12}})
Câu 5: Diện tích hình chữ nhật bằng (frac{6}{7}{m^2}), chiều rộng bằng (frac{3}{{14}}m). Chiều dài hình chữ nhật là:
A. 4m
B. (frac{{15}}{7})m
C. (frac{{15}}{{14}})m
D. (frac{9}{{49}})m
Câu 6: Trong các phát biểu dưới đây, phát biểu nào sau đây đúng?
A. Tam giác đều ABC là hình có tâm đối xứng.
B. Hình thang cân luôn có trục đối xứng.
C. Hình bình hành luôn có 4 trục đối xứng.
C. Hình bình hành ABCD luôn nhận AC làm trục đối xứng.
Câu 7: Tìm số nguyên x biết (frac{{35}}{{15}} = frac{x}{3})
A. x = 2
B. x = 1
C. x = 5
D. x = 7
Câu 8: Hình nào dưới đây không có trục đối xứng?
A. 1; 4; 6; 8
B. 2; 3; 7
C. 4; 8
D. 5; 4; 2; 8
B. Phần tự luận (6 điểm)
Câu 1: Thực hiện các phép tính:
a) (2frac{{17}}{{20}} – 1frac{{11}}{{15}} + 6frac{1}{{20}}:3)
b) (left( {31frac{6}{{13}} + 5frac{9}{{41}}} right) – 36frac{6}{{13}})
c) (frac{{ – 5}}{{46}} + frac{{ – 7}}{{25}} + frac{{35}}{{19}} + frac{5}{{46}} + frac{{ – 16}}{{19}} + frac{7}{{25}})
d) (frac{1}{{5.6}} + frac{1}{{6.7}} + … + frac{1}{{24.25}})
Câu 2: Tìm x biết:
a) (2frac{3}{4}x = 1)
b) (frac{{x + 2}}{8} = frac{{ – 15}}{4})
c) (75% – frac{1}{5}.x = 3,75)
Câu 3:
1) Xác định tâm đối xứng (nếu có) trong các hình dưới đây:
2) Có 120 công nhân đang làm việc. Trong đó có số công nhân đang cuốc đất, số công nhân còn lại đang trồng cây. Hỏi có bao nhiêu công nhân đang trồng cây, bao nhiêu công nhân cuốc đất?
Câu 4: Trên tia Ox lấy hai điểm M và N sao cho OM = 4cm, ON = 2cm. Trên tia NO lấy điểm P sao cho NP = 3cm.
a) Tính độ dài đoạn thẳng OP
b) Trong ba điểm M, N, P thì điểm nào nằm giữa hai điểm còn lại? Vì sao?
c) Tia NM và tia NP trùng nhau hay đối nhau?
Câu 5: Chứng minh rằng (frac{1}{5} + frac{1}{{13}} + frac{1}{{25}} + …. + frac{1}{{{{10}^2} + {{11}^2}}} < frac{9}{{20}})
Đáp án đề thi giữa kì 2 Toán lớp 6 sách Chân trời sáng tạo
A. Đáp án phần trắc nghiệm (4 điểm)
B. Đáp án phần tự luận (6 điểm)
Câu 1:
a) (2frac{{17}}{{20}} – 1frac{{11}}{{15}} + 6frac{1}{{20}}:3 = frac{{47}}{{15}})
b) (left( {31frac{6}{{13}} + 5frac{9}{{41}}} right) – 36frac{6}{{13}} = frac{{33421}}{{553}})
c) (frac{{ – 5}}{{46}} + frac{{ – 7}}{{25}} + frac{{35}}{{19}} + frac{5}{{46}} + frac{{ – 16}}{{19}} + frac{7}{{25}} = 1)
d) (frac{1}{{5.6}} + frac{1}{{6.7}} + … + frac{1}{{24.25}})
(begin{matrix} dfrac{1}{5} – dfrac{1}{6} + dfrac{1}{6} – dfrac{1}{7} + … + dfrac{1}{{24}} – dfrac{1}{{25}} hfill = dfrac{1}{5} – dfrac{1}{{25}} hfill = dfrac{4}{{25}} hfill end{matrix})
Câu 2:
a) (2frac{3}{4}x = 1)
(begin{matrix} dfrac{{11}}{4}x = 1 hfill x = 1:dfrac{{11}}{4} hfill x = dfrac{4}{{11}} hfill end{matrix})
Vậy x = 4/11
b) (frac{{x + 2}}{8} = frac{{ – 15}}{4})
(begin{matrix} x + 2 = dfrac{{ – 15.8}}{4} hfill x + 2 = – 30 hfill x = – 30 – 2 hfill x = – 32 hfill end{matrix})
Vậy x = -32
Mời các bạn xem tiếp đáp án trong file tải về
Đề thi giữa kì 2 Toán 6 CTST đề 2
A. Phần trắc nghiệm (4 điểm)
Câu 1: Chọn phát biểu sai trong các phát biểu sau:
A. Trong hai số thập phân âm, số nào có số đối lớn hơn thì số đó nhỏ hơn.
B. Nếu hai số thập phân trái dấu, số thập phân dương luôn lớn hơn số thập phân âm.
C. Trong hai số thập phân dương, số nào có phần nguyên lớn hơn thì số đó lớn hơn.
D. Nếu hai số thập phân trái dấu, số thập phân âm luôn lớn hơn số thập phân dương.
Câu 2: Trong các khẳng định sau khẳng định nào sai?
A. (frac{{ – 1515}}{{2828}} = frac{{ – 151515}}{{282828}})
B. (frac{{ – 21}}{{28}} = frac{{ – 39}}{{52}})
C. (frac{{52}}{{91}} = frac{{28}}{{49}})
D. (frac{{165}}{{143}} = frac{{26}}{{30}})
Câu 3: Rút gọn phân số (frac{{ – 32}}{{60}}) đến tối giản ta được phân số:
A. (frac{{ – 16}}{{30}})
B. (frac{{16}}{{30}})
C. (frac{8}{{15}})
D.(frac{{ – 8}}{{15}})
Câu 4: Trong các phân số (frac{7}{{ – 12}};frac{7}{{ – 10}};frac{{ – 7}}{8};frac{7}{{12}}), phân số nào là nhỏ nhất?
A. (frac{7}{{ – 12}})
B. (frac{7}{{ – 10}})
C. (frac{{ – 7}}{8})
D. (frac{7}{{12}})
Câu 5: Một lớp học có 40 học sinh, biết rằng (frac{3}{{10}}) số học sinh lớp đó bị cận thị. Số học sinh cận thị của lớp đó là:
A. 10
B. 15
C. 12
D. 20
Câu 6: Quy đồng mẫu số (frac{7}{2};frac{5}{6};frac{4}{9}) của ba phân số với mẫu số chung 18 ta được ba phân số nào?
A. (frac{{14}}{{18}};frac{{10}}{{18}};frac{8}{{18}})
B. (frac{{21}}{{18}};frac{{15}}{{18}};frac{{12}}{{18}})
C. (frac{{63}}{{18}};frac{{15}}{{18}};frac{8}{{18}})
D. (frac{{63}}{{18}};frac{{45}}{{18}};frac{{63}}{{18}})
Câu 7: Trong các phân số (frac{0}{9};frac{{12}}{{15}};frac{{11}}{5};frac{{ – 4}}{{ – 5}}) phân số nào lớn nhất?
A. (frac{0}{9})
B. (frac{{12}}{{15}})
C. (frac{{11}}{5})
D. (frac{{ – 4}}{{ – 5}})
Câu 8: Chọn đáp án sai trong các câu dưới đây.
A. Tam giác đều có một tâm đối xứng
B. Hình bình hành nhận giao điểm của hai đường chèo làm tâm đối xứng
C. Đường tròn có tâm là tâm đối xứng
D. Chữ cái in hoa I có một tâm đối xứng
B. Phần tự luận (6 điểm)
Câu 1: Thực hiện các phép tính:
a) (2frac{{17}}{{20}} – 1frac{{11}}{{15}} + 6frac{1}{{20}}:3)
b) (left( {31frac{6}{{13}} + 5frac{9}{{41}}} right) – 36frac{6}{{13}})
c) (frac{{ – 5}}{{46}} + frac{{ – 7}}{{25}} + frac{{35}}{{19}} + frac{5}{{46}} + frac{{ – 16}}{{19}} + frac{7}{{25}})
d) (frac{1}{{5.6}} + frac{1}{{6.7}} + … + frac{1}{{24.25}})
Câu 2: Tìm x biết:
a) (2frac{3}{4}x = 1)
b) (frac{{x + 2}}{8} = frac{{ – 15}}{4})
Bài 3: Cường có 3 giờ để chơi trong công viên. Cường dành 1/4 thời gian để chơi ở khu vườn thú; 1/3 thời gian để chơi các trò chơi; 1/12 thời gian để ăn kem, giải khát; số thời gian còn lại để chơi ở khu cây cối và các loài hoa. Hỏi Cường đã chơi bao nhiêu giờ ở khi cây cối và các loài hoa.
Bài 4: Trên đường thẳng a lấy 4 điểm M; N; P; Q sao cho N nằm giữa M và P; P nằm giữa N và Q. Hãy chỉ ra các tia gốc N, gốc P
Bài 5 (0,5 điểm): Tính:
Xem đáp án tại đây: Đề thi giữa kì 2 Toán 6 Chân trời sáng tạo năm 2023
Đề thi giữa kì 2 Toán 6 Chân trời sáng tạo số 2
I. TRẮC NGHIỆM (2 điểm)
Câu 1: Kết quả của phép trừ (frac{1}{27}-frac{1}{9})
A. (frac{1}{27}-frac{1}{9}=frac{0}{18})
B. (frac{1}{27}-frac{3}{27}=frac{-2}{0})
C. (frac{1}{27}-frac{3}{27}=frac{2}{27})
D. (frac{1}{27}-frac{3}{27}=frac{1-3}{27}=frac{-2}{27})
Câu 2: Hãy chọn từ hoặc cụm từ thích hợp thay vào chỗ ….để hoàn thành câu sau: Hình tạo thành bởi điểm A và một phần đường thẳng bị chia ra bởi A được gọi là một….
A. Tia
B. Đường thẳng
C. Điểm
D. Đoạn thẳng
Câu 3: Trong ba điểm thẳng hàng, có bao nhiêu điểm nằm giữa hai điểm còn lại?
A. có vô số điểm.
B. có nhiều hơn hai điểm.
C. có không quá hai điểm.
D. có duy nhất một điểm.
Câu 4: Kết quả của phép nhân (frac{-1}{4} cdot frac{1}{2}) là
A. (frac{-1}{4} cdot frac{1}{2}=frac{-1.2}{4.4}=frac{-2}{4})
B. (frac{-1}{4} cdot frac{1}{2}=frac{-1}{4} cdot frac{2}{4}=frac{-2}{16})
C. (frac{-1}{4} cdot frac{1}{2}=frac{-0}{8})
D. (frac{-1}{4} cdot frac{1}{2}=frac{-1}{8})
Câu 5: Sau khi rút gọn tối giản phân số (frac{4}{16})ta được phân số
A. (frac{2}{8})
B. (frac{4}{8})
C. (frac{1}{4})
D. (frac{1}{8})
Câu 6: Trong từ STUDENT có bao nhiêu chữ cái có trục đối xứng?
A. 3.
B. 4.
C. 5.
D. 6.
Câu 7: Số đối của (frac{-7}{8}) là
A. (frac{8}{7})
B. (frac{7}{8})
C. (frac{7}{-8})
D. (frac{-8}{7})
Câu 8: Các chữ cái in hoa trong từ TOAN, chữ nào sau đây có tâm đối xứng?
A. T
B. O
C. A
D. N
II. TỰ LUẬN (8 điểm)
Câu 9: (2,0 điểm) Thực hiện phép tính sau:
a) (-frac{5}{8} cdot frac{(-4)^{2}}{10})
b) (frac{-2020}{2021} cdot frac{9}{11}+frac{-2020}{2021} cdot frac{2}{11})
c) (frac{-5}{7} cdot frac{2}{11}+frac{-5}{7} cdot frac{9}{11}+frac{5}{7})
d) (frac{-3}{8} cdot frac{1}{2}+frac{1}{6} cdot frac{-3}{8}+frac{1}{3}: frac{-8}{3})
Câu 10: (1,5 điểm) Tìm x biết
(a) x-frac{-1}{5}=3+frac{-3}{2})
(b) frac{1}{2}-left(x-frac{5}{11}right)=frac{-3}{4})
(c) frac{3}{4}+left(frac{2}{5}-xright)=frac{1}{4})
Câu 11: (1,5 điểm) Mẹ cho Hà một số tiền đi mua đồ dùng học tập . Sau khi mua hết 24 nghìn tiền vở, 36 nghìn tiền sách, Hà còn lại (frac{1}{3}) số tiền. Vậy mẹ đã cho Hà số tiền là bao nhiêu?
Câu 12: (1,0 điểm) Tính giá trị của biểu thức (A=frac{9}{1.2}+frac{9}{2.3}+frac{9}{3.4}+ldots+frac{9}{98.99}+frac{9}{99.100})
Câu 13: (1,0 điểm) Nhà An có một thửa ruộng hình chữ nhật có chiều rộng là 4m , chiều dài6 m. An cần đắp bờ xung quanh ruộng. Hỏi An cần đắp bao nhiêu mét bờ?
Câu 14: (1,0 điểm)
a) Cho hình vẽ bên. Có bao nhiêu cặp đường thẳng song song?
b) Từ 4 hình tam giác vuông bằng nhau (hình minh họa phía dưới) ta có thể ghép thành bao nhiêu hình có trục đối xứng?
Đáp án Đề thi giữa kì 2 Toán lớp 6 CTST
I. Trắc nghiệm
Câu 1 2 3 4 5 6 7 8 Đáp án D A D D C B B B
II. Tự luận
Câu Nội dung đáp án Thang điểm 9 a (begin{aligned} &-frac{5}{8} cdot frac{(-4)^{2}}{10}= &-frac{5}{8} cdot frac{16}{10}=-frac{80}{80}=-1 end{aligned}) 0,5 b
(frac{-2020}{2021} cdot frac{9}{11}+frac{-2020}{2021} cdot frac{2}{11}=frac{-2020}{2021}left(frac{9}{11}+frac{2}{11}right))
(=frac{-2020}{2021} cdot 1=frac{-2020}{2021})
0,25
0,25
c (frac{-5}{7} cdot frac{2}{11}+frac{-5}{7} cdot frac{9}{11}+frac{5}{7}=frac{-5}{7}left(frac{2}{11}+frac{9}{11}right)+frac{5}{7}=frac{-5}{7} cdot 1+frac{5}{7}=0) 0,5 d
(frac{-3}{8} cdot frac{1}{2}+frac{1}{6} cdot frac{-3}{8}+frac{1}{3}: frac{-8}{3}=frac{-3}{8} cdot frac{1}{2}+frac{1}{6} cdot frac{-3}{8}+frac{1}{3} cdot frac{-3}{8})
(=frac{-3}{8}left(frac{1}{2}+frac{1}{6}+frac{1}{3}right)=frac{-3}{8} cdot 1=frac{-3}{8})
0, 25 10 a (begin{aligned} &x-frac{-1}{5}=3+frac{-3}{2} Rightarrow x-frac{-1}{5}=frac{3}{2} &Rightarrow x=frac{3}{2}+frac{-1}{5} Rightarrow x=frac{15}{10}+frac{-2}{10} &Rightarrow x=frac{13}{10} end{aligned})
0,25
0,25
b (begin{aligned} &frac{1}{2}-left(x-frac{5}{11}right)=frac{-3}{4} &Rightarrowleft(x-frac{5}{11}right)=frac{1}{2}-frac{-3}{4} Rightarrow x-frac{5}{11}=frac{5}{4} Rightarrow x=frac{5}{4}+frac{5}{11} &Rightarrow x=frac{75}{44} end{aligned})
0,25
0,25
c (begin{aligned} &frac{3}{4}+left(frac{2}{5}-xright)=frac{1}{4} Rightarrowleft(frac{2}{5}-xright)=frac{1}{4}-frac{3}{4} &Rightarrow frac{2}{5}-x=frac{-1}{2} Rightarrow x=frac{2}{5}-frac{-1}{2} Rightarrow x=frac{9}{10} end{aligned}) 11
Số tiền Hà đã tiêu là:
24 + 36 = 60 (nghìn đồng)
Mẹ cho Hà số tiền là:
60 x 3 = 180 (nghìn đồng)
Đáp số: 180 đồng
0,5
0,5
0,5
12 (begin{aligned} &9 A=1-frac{1}{2}+frac{1}{2}-frac{1}{3}+frac{1}{3}-frac{1}{4}+frac{1}{4}-frac{1}{5}+ldots+frac{1}{99}-frac{1}{100} &9 A=1-frac{1}{100} &9 A=frac{100-1}{100}=frac{99}{100} &Rightarrow A=frac{11}{100} end{aligned})
0,25
0,25
0,25
13
Do thửa ruộng hình chữ nhật có chiều rộng là 4 m, chiều dài 6 m suy ra chu vi là 24 m mà chiều dài bờ. An cần đắp chính bằng chu vi thửa ruộng.
An cần đắp số mét bờ là:
(6 + 4).2=20 (m)
Đáp số: 20 m
0,5
0,5
14
Dựa vào hình vẽ, ta thấy có các cặp đường thẳng song song là KM và QO ; KQ và MO ; KT và SO ; KS và TO . Vậy có tất cả bốn cặp đường thẳng song song.
b) Có nhiều hơn 5 cách ghép 4 tam giác vuông bằng nhau để được một hình có trục đối xứng. Sau đây là một số ví dụ:
0,5
0,5
4. Đề thi giữa kì 2 lớp 6 môn khác
- Bộ đề thi giữa học kì 2 môn Ngữ văn lớp 6
- Đề thi giữa kì 2 lớp 6 môn Khoa học tự nhiên sách mới
- Đề thi giữa kì 2 Lịch sử và Địa lý lớp 6 sách mới
- Đề thi giữa kì 2 Tin học lớp 6 sách mới
- Đề thi giữa học kì 2 lớp 6 Hoạt động trải nghiệm hướng nghiệp





