Tài Liệu Học Tập
No Result
View All Result
  • Đề Thi
  • Lớp 12
    • Lịch Sử Lớp 12
    • Địa Lí Lớp 12
    • Ngữ Văn Lớp 12
    • GD KTPL Lớp 12
    • Toán Lớp 12
    • Tiếng Anh Lớp 12
    • Hóa Học Lớp 12
    • Sinh Học Lớp 12
    • Vật Lí Lớp 12
  • Lớp 11
    • Toán Lớp 11
    • Ngữ Văn Lớp 11
    • Tiếng Anh Lớp 11
    • Hóa Học Lớp 11
    • Sinh Học Lớp 11
    • Vật Lí Lớp 11
    • Lịch Sử Lớp 11
    • Địa Lí Lớp 11
    • GDCD Lớp 11
  • Lớp 10
    • Toán Lớp 10
    • Ngữ Văn Lớp 10
    • Tiếng Anh Lớp 10
    • Hóa Học Lớp 10
    • Sinh Học Lớp 10
    • Vật Lí Lớp 10
    • Lịch Sử Lớp 10
    • Địa Lí Lớp 10
    • GDKTPL Lớp 10
    • Công nghệ lớp 10
    • Tin Học Lớp 10
  • Lớp 9
    • Toán Lớp 9
    • Ngữ Văn Lớp 9
    • Tiếng Anh Lớp 9
    • Lịch sử và địa lý lớp 9
    • Khoa Học Tự Nhiên Lớp 9
    • GDCD Lớp 9
  • Lớp 8
    • Toán Lớp 8
    • Ngữ Văn Lớp 8
    • Tiếng Anh Lớp 8
    • Lịch sử và địa lý lớp 8
    • Khoa Học Tự Nhiên Lớp 8
    • GDCD 8
  • Lớp 7
    • Toán Lớp 7
    • Văn Lớp 7
    • Tiếng Anh Lớp 7
    • Lịch Sử Và Địa Lí Lớp 7
    • Khoa Học Tự Nhiên Lớp 7
  • Lớp 6
    • Toán Lớp 6
    • Văn Lớp 6
    • Tiếng Anh lớp 6
    • Lịch Sử và Địa Lí Lớp 6
    • Khoa Học Tự Nhiên lớp 6
  • Lớp 5
    • Toán lớp 5
    • Tiếng Việt Lớp 5
    • Tiếng Anh Lớp 5
    • Lịch Sử và Địa Lí Lớp 5
  • Lớp 4
    • Toán lớp 4
    • Tiếng Việt Lớp 4
    • Tiếng Anh Lớp 4
    • Lịch Sử và Địa Lí Lớp 4
  • Lớp 3
    • Toán lớp 3
    • Tiếng Anh Lớp 3
    • Tiếng Việt Lớp 3
  • Mẹo Hay
  • Tin tức
  • Liên Hệ
Tài Liệu Học Tập
No Result
View All Result
Home Toán tổng hợp

THPT Quốc gia 2023: Đề thi thử môn Toán có đáp án – Cao đẳng Sài Gòn

by Tranducdoan
30/01/2026
in Toán tổng hợp
0
Đánh giá bài viết

Đề thi thử THPT Quốc gia 2023 môn Toán có đáp án của tỉnh Trà Vinh được thiết kế bám sát theo cấu trúc đề thi tốt nghiệp THPT chính thức từ Bộ GD&ĐT. Đây là tài liệu giúp các sĩ tử 2K5 ôn tập kiến thức và rèn luyện kỹ năng làm bài thi, chuẩn bị cho kỳ thi tốt nghiệp THPT Quốc Gia 2023.

Mục Lục Bài Viết

  1. 1. Đề thi môn Toán
  2. 2. Đáp án đề thi môn Toán

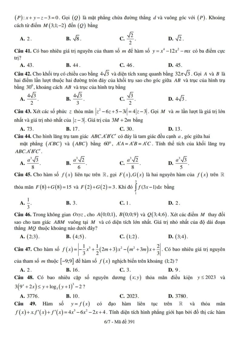
1. Đề thi môn Toán

Trang 1

de toan thpt quoc gia 2023 co dap an

Trang 2

de toan thpt quoc gia 2023 co dap an 1

Trang 3

de toan thpt quoc gia 2023 co dap an 2

Trang 4

de toan thpt quoc gia 2023 co dap an 3

Trang 5

de toan thpt quoc gia 2023 co dap an 4

Trang 6

de toan thpt quoc gia 2023 co dap an 5

Trang 7

2. Đáp án đề thi môn Toán

de toan thpt quoc gia 2023 co dap an 6

de toan thpt quoc gia 2023 co dap an 7

Đăng ký xét tuyển trực tuyến

Chương trình học bổng

Mỗi mùa thi tới, điểm số luôn là điều ám ảnh đối với các bạn học sinh. Đặc biệt, kì thi THPT Quốc gia 2023 – Một kì thi mang tính bước ngoặt đang cận kề thì không chỉ điểm số mà muôn vàn nỗi lo, áp lực khác đang đè nặng lên tâm lí các bạn. Với mong muốn hỗ trợ thí sinh, giảm đi áp lực thi cử, học được ngành nghề phù hợp theo sở thích, nhu cầu, Cao đẳng Sài Gòn thông báo 3 phương thức tuyển sinh Cao đẳng hệ chính quy năm 2023:

– Phương thức 1: Xét kết quả học tập HK1 lớp 12 bậc THPT hoặc tương đương.

– Phương thức 2: Xét kết quả học tập trung bình cả năm lớp 12 bậc THPT hoặc tương đương.

– Phương thức 3: Sử dụng kết quả kỳ thi Trung học phổ thông quốc gia (THPTQG) năm 2022 để xét tuyển. Điểm xét tuyển: Tổng điểm 3 môn của tổ hợp đăng ký xét tuyển + điểm ưu tiên (nếu có).

Cao đẳng Sài Gòn hy vọng các bạn trẻ GENZ 2K5 có những bài thi thật tốt và được đồng hành cùng các em trên chặng đường sắp tới.

CAO ĐẲNG SÀI GÒN tự hào là sự lựa chọn hoàn hảo dành cho tân sinh viên, xóa tan 3 nỗi lo của Cha, Mẹ:

– Không áp lực thi cử: Chỉ xét tuyển, không thi tuyển.

– Không tăng học phí: Học phí ổn định trong suốt khóa học.

– Không lo thiếu việc làm: Trường hỗ trợ việc làm sau tốt nghiệp.

Cao đẳng chính quy: Chỉ cần tốt nghiệp THPT (hoặc tương đương).

Hình thức xét tuyển: Tuyển sinh trực tuyến

Đặc biệt, Nhà trường có nhiều chính sách về học phí, học bổng dành cho tân sinh viên khi nhập học tại trường trong năm học 2023 – 2024.

CHỌN CAO ĐẲNG SÀI GÒN – CHỌN VỊ THẾ THÀNH CÔNG

Thông tin chi tiết, vui lòng liên hệ:

► Trụ sở chính: Lô 14 đường số 5, Công viên phần mềm Quang Trung, Quận 12, TP. HCM

Website: https://caodangsaigon.edu.vn/

Facebook: Trường Cao Đẳng Sài Gòn

Tiktok: https://www.tiktok.com/@saigontech.official

Youtube: https://www.youtube.com/@caodangsaigon7364

Điện thoại: (028).37.155.033 Hotline: 0968.253.307

Truyền thông Cao đẳng Sài Gòn

Previous Post

22 từ miêu tả tính cách tiêu cực trong tiếng Anh

Next Post

Đoàn viên là ai? Bao nhiêu tuổi được kết nạp vào Đoàn?

Tranducdoan

Tranducdoan

Trần Đức Đoàn sinh năm 1999, anh chàng đẹp trai đến từ Thái Bình. Hiện đang theo học và làm việc tại trường cao đẳng FPT Polytechnic

Next Post

Đoàn viên là ai? Bao nhiêu tuổi được kết nạp vào Đoàn?

thời tiết miền bắc đọc sách online cm88 Socolive trực tiếp https://p789bet.biz/ cm88 com sumclub https://theaquaverse.io/17 socolive Bom88 tic88 f168 https://mb66.black/ https://ok9.watch/
Tài Liệu Học Tập

Copyright © 2022 Tài Liệu Học Tập.

Chuyên Mục

  • Đề Thi
  • Lớp 12
  • Lớp 11
  • Lớp 10
  • Lớp 9
  • Lớp 8
  • Lớp 7
  • Lớp 6
  • Lớp 5
  • Lớp 4
  • Lớp 3
  • Mẹo Hay
  • Tin tức
  • Liên Hệ

Tham Gia Group Tài Liệu Học Tập

No Result
View All Result
  • Đề Thi
  • Lớp 12
    • Lịch Sử Lớp 12
    • Địa Lí Lớp 12
    • Ngữ Văn Lớp 12
    • GD KTPL Lớp 12
    • Toán Lớp 12
    • Tiếng Anh Lớp 12
    • Hóa Học Lớp 12
    • Sinh Học Lớp 12
    • Vật Lí Lớp 12
  • Lớp 11
    • Toán Lớp 11
    • Ngữ Văn Lớp 11
    • Tiếng Anh Lớp 11
    • Hóa Học Lớp 11
    • Sinh Học Lớp 11
    • Vật Lí Lớp 11
    • Lịch Sử Lớp 11
    • Địa Lí Lớp 11
    • GDCD Lớp 11
  • Lớp 10
    • Toán Lớp 10
    • Ngữ Văn Lớp 10
    • Tiếng Anh Lớp 10
    • Hóa Học Lớp 10
    • Sinh Học Lớp 10
    • Vật Lí Lớp 10
    • Lịch Sử Lớp 10
    • Địa Lí Lớp 10
    • GDKTPL Lớp 10
    • Công nghệ lớp 10
    • Tin Học Lớp 10
  • Lớp 9
    • Toán Lớp 9
    • Ngữ Văn Lớp 9
    • Tiếng Anh Lớp 9
    • Lịch sử và địa lý lớp 9
    • Khoa Học Tự Nhiên Lớp 9
    • GDCD Lớp 9
  • Lớp 8
    • Toán Lớp 8
    • Ngữ Văn Lớp 8
    • Tiếng Anh Lớp 8
    • Lịch sử và địa lý lớp 8
    • Khoa Học Tự Nhiên Lớp 8
    • GDCD 8
  • Lớp 7
    • Toán Lớp 7
    • Văn Lớp 7
    • Tiếng Anh Lớp 7
    • Lịch Sử Và Địa Lí Lớp 7
    • Khoa Học Tự Nhiên Lớp 7
  • Lớp 6
    • Toán Lớp 6
    • Văn Lớp 6
    • Tiếng Anh lớp 6
    • Lịch Sử và Địa Lí Lớp 6
    • Khoa Học Tự Nhiên lớp 6
  • Lớp 5
    • Toán lớp 5
    • Tiếng Việt Lớp 5
    • Tiếng Anh Lớp 5
    • Lịch Sử và Địa Lí Lớp 5
  • Lớp 4
    • Toán lớp 4
    • Tiếng Việt Lớp 4
    • Tiếng Anh Lớp 4
    • Lịch Sử và Địa Lí Lớp 4
  • Lớp 3
    • Toán lớp 3
    • Tiếng Anh Lớp 3
    • Tiếng Việt Lớp 3
  • Mẹo Hay
  • Tin tức
  • Liên Hệ

Copyright © 2022 Tài Liệu Học Tập.