Tài Liệu Học Tập
No Result
View All Result
  • Đề Thi
  • Lớp 12
    • Lịch Sử Lớp 12
    • Địa Lí Lớp 12
    • Ngữ Văn Lớp 12
    • GD KTPL Lớp 12
    • Toán Lớp 12
    • Tiếng Anh Lớp 12
    • Hóa Học Lớp 12
    • Sinh Học Lớp 12
    • Vật Lí Lớp 12
  • Lớp 11
    • Toán Lớp 11
    • Ngữ Văn Lớp 11
    • Tiếng Anh Lớp 11
    • Hóa Học Lớp 11
    • Sinh Học Lớp 11
    • Vật Lí Lớp 11
    • Lịch Sử Lớp 11
    • Địa Lí Lớp 11
    • GDCD Lớp 11
  • Lớp 10
    • Toán Lớp 10
    • Ngữ Văn Lớp 10
    • Tiếng Anh Lớp 10
    • Hóa Học Lớp 10
    • Sinh Học Lớp 10
    • Vật Lí Lớp 10
    • Lịch Sử Lớp 10
    • Địa Lí Lớp 10
    • GDKTPL Lớp 10
    • Công nghệ lớp 10
    • Tin Học Lớp 10
  • Lớp 9
    • Toán Lớp 9
    • Ngữ Văn Lớp 9
    • Tiếng Anh Lớp 9
    • Lịch sử và địa lý lớp 9
    • Khoa Học Tự Nhiên Lớp 9
    • GDCD Lớp 9
  • Lớp 8
    • Toán Lớp 8
    • Ngữ Văn Lớp 8
    • Tiếng Anh Lớp 8
    • Lịch sử và địa lý lớp 8
    • Khoa Học Tự Nhiên Lớp 8
    • GDCD 8
  • Lớp 7
    • Toán Lớp 7
    • Văn Lớp 7
    • Tiếng Anh Lớp 7
    • Lịch Sử Và Địa Lí Lớp 7
    • Khoa Học Tự Nhiên Lớp 7
  • Lớp 6
    • Toán Lớp 6
    • Văn Lớp 6
    • Tiếng Anh lớp 6
    • Lịch Sử và Địa Lí Lớp 6
    • Khoa Học Tự Nhiên lớp 6
  • Lớp 5
    • Toán lớp 5
    • Tiếng Việt Lớp 5
    • Tiếng Anh Lớp 5
    • Lịch Sử và Địa Lí Lớp 5
  • Lớp 4
    • Toán lớp 4
    • Tiếng Việt Lớp 4
    • Tiếng Anh Lớp 4
    • Lịch Sử và Địa Lí Lớp 4
  • Lớp 3
    • Toán lớp 3
    • Tiếng Anh Lớp 3
    • Tiếng Việt Lớp 3
  • Mẹo Hay
  • Tin tức
  • Liên Hệ
Tài Liệu Học Tập
No Result
View All Result
Home Toán tổng hợp

Bất Phương Trình Chứa Căn Lớp 10: Công Thức Và Cách Giải

by Tranducdoan
06/01/2026
in Toán tổng hợp
0
Đánh giá bài viết

Mục Lục Bài Viết

  1. 1. Các công thức giải bất phương trình chứa căn
  2. 2. Một số cách giải chi tiết bất phương trình chứa căn bậc hai
    1. 2.1. Phương trình và bất phương trình chứa căn thức cơ bản
    2. 2.2. Quy phương trình chứa căn thức về hệ phương trình không chứa căn thức
    3. 2.3. Sử dụng phương trình tương đương hoặc hệ quả
    4. 2.4. Sử dụng phương pháp chiều biến thiên hàm số
    5. 2.5. Phương pháp đánh giá hai vế
    6. 2.6. Bất phương trình chứa căn thức có tham số

1. Các công thức giải bất phương trình chứa căn

Ta có công thức giải bất phương trình chứa căn như sau:

Công thức 1:

$sqrt{f(x)} < g(x) Leftrightarrow left{begin{matrix}f(x) geq 0 g(x)geq 0 f(x) < g^{2}(x) end{matrix}right.$

Hoặc nếu có dấu bằng thì ta có:

$sqrt{f(x)} leq g(x) Leftrightarrow left{begin{matrix}f(x) geq 0 g(x)geq 0 f(x) leq g^{2}(x) end{matrix}right.$

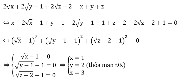
Ví dụ: Giải bất phương trình: $sqrt{x}+sqrt{y-1}+sqrt{z-2}=frac{1}{2}(x+y+z)$

Giải:

ĐK: $xgeq 0; ygeq 1; zgeq 2$

Phương trình tương đương:

Giải bài tập bất phương trình chứa căn dạng 1

Công thức 2:

Hoặc trường hợp có thêm dấu bằng thì ta có:

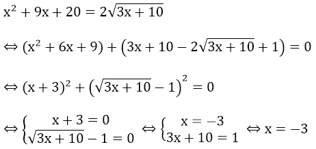
Ví dụ: Giải bất phương trình: $x^{2}+9x+20=2sqrt{3x+10}$

ĐK: x$ frac{-10}{3}$

Giải bài tập bất phương trình chứa căn dạng 2

=> Nghiệm của bất phương trình x= -3

Đăng ký ngay để được các thầy cô ôn tập và xây dựng lộ trình học tập THPT vững vàng

giai phuong trinh chua can

2. Một số cách giải chi tiết bất phương trình chứa căn bậc hai

2.1. Phương trình và bất phương trình chứa căn thức cơ bản

Ví dụ 1: Giải các bất phương trình sau:

$sqrt{x^{2}-x-12}=7-x$

Giải:

$Rightarrow$ Nghiệm của phương trình là: $x=frac{61}{13}$

Ví dụ 2: Tìm tập nghiệm của bất phương trình sau: $sqrt{x-3}<2x-1$

Giải:

$Rightarrow$ Nghiệm của bất phương trình $S=[3,infty)$

2.2. Quy phương trình chứa căn thức về hệ phương trình không chứa căn thức

Sử dụng phương pháp đặt phụ ta quy phương trình căn thức về hệ phương trình không chứa căn thức. Ta có ví dụ sau đây:

Ví dụ: Giải phương trình sau: $sqrt[3]{x-2}+sqrt[3]{x+3}=sqrt[3]{2x+1}$ (1)

Giải:

Giải bài quy phương trình chứa căn thức về hệ phương trình không chứa căn thức

Vậy (1) có các nghiệm $x=2; x=-3; x=frac{-1}{2}$

Ví dụ 2: Giải phương trình sau: $2(x^{2}+2)=5sqrt{x^{3}+1}$

Giải:

Giải bài tập quy phương trình chứa căn thức về hệ phương trình không chứa căn thức

2.3. Sử dụng phương trình tương đương hoặc hệ quả

Ví dụ 1: Giải phương trình sau: $sqrt[3]{2x-1}+sqrt[3]{x-1}=sqrt[3]{3x+1}$ (1)

Giải:

Ví dụ 2: Giải phương trình sau: $sqrt{2x+3}+sqrt{x+1}=3x+2sqrt{2x^{2}+5x+3}-16$ (1)

Giải:

Đặt $u=sqrt{2x+3}+sqrt{x+1}geq 1$

Ta có $Leftrightarrow u^{2}=3x+4+2sqrt{2x^{2}+5x+3}$ với $ugeq 1$ (2)

Thay (1) vào (2) ta có phương trình hệ quả sau:

$u^{2}-20=uLeftrightarrow u^{2}-u-20=0$

$Leftrightarrow u=5$ hoặc $u=-4 Leftrightarrow u=5$ (do $ugeq 0$)

Từ (1) dẫn đến phương trình hệ quả:

Ta thay x = 3 vào (1) sẽ có kết quả đúng nên (1) sẽ có nghiệm x = 3

2.4. Sử dụng phương pháp chiều biến thiên hàm số

Ví dụ 1: Giải phương trình sau: $x^{5}+x^{3}-sqrt{1-3x}+4=0$ (1)

Giải:

Đặt $f(x)=x^{5}+x^{3}-sqrt{1-3x}+4$ với $xleq frac{1}{3}$

Khi đó (1) có dạng f(x) = 0 và miền xác định $xleq frac{1}{3}$

Ta có $f'(x)=5x^{4}+3x^{2}+frac{3}{2sqrt{1-3x}}>0, forall , x leq frac{1}{3}$

Vậy f(x) chính là hàm số đồng biến khi $x<frac{1}{3}$

Ta có $f'(-1)=0$ vậy $x=-1$ là nghiệm duy nhất của (1)

Ví dụ 2: Giải phương trình: $sqrt{x^{2}+15}=3x-2+sqrt{x^{2}+8}$ (1)

Giải:

Ta viết (1) dưới dạng $f(x)=3x-2+sqrt{x^{2}+8}-sqrt{x^{2}+15}=0$ (2)

Hàm số f(x) xác định với $forall x epsilon R$. Xét phương trình với 2 khả năng sau:

$Rightarrow x=1$ là nghiệm duy nhất của (1)

2.5. Phương pháp đánh giá hai vế

Với phương trình $f(x)=g(x), xin D$ ta có tính chất:

$f(x)geq A , forall , x in D$ hoặc $g(x)geq A , forall , x in D$

Khi đó: $f(x)=g(x) Leftrightarrow f(x)=A$ hoặc $g(x)=A$

Để bất đẳng thức $f(x)geq A; g(x)leq A; forall x in A$ ta áp dụng các kiến thức về bất đẳng thức.

Ví dụ 1: Giải phương trình sau: $sqrt{x-2}+sqrt{4-x}=x^{2}-6x+11$ (1)

Giải:

Ta có miền xác định (1) là $D=left { {x:2leq x leq 4} right }$

Ta có $x^{2}-6x+11=(x-3)^{2}+2geq 2, forall x epsilon D$ thì $f^{2}(x)=2+2sqrt{(x-2)(4-x)}leq 2+[(x-2)+(4-x)]=4$

Do đó $f(x)geq 0$ khi $forall x in D Rightarrow f(x)leq 2 , forall x, in D$

$Rightarrow x^{2}-6x+11=2Leftrightarrow x=3$

Hoặc $sqrt{x-2}+sqrt{4-x}Leftrightarrow x-2=4-x Leftrightarrow x=3$

$Rightarrow x=3$ nghiệm duy nhất của (1)

Ví dụ 2: Giải phương trình:

$sqrt{3x^{2}+6x+7}+sqrt{5x^{2}+10x+14}=4-2x-x^{2}$

Giải bất phương trình chứa căn bằng phương pháp đánh giá hai vế

2.6. Bất phương trình chứa căn thức có tham số

Ví dụ 1: Giải phương trình: $sqrt{x-4a+16}+2sqrt{x-2a+4}+sqrt{x}=0$

Giải:

Giải bài tập bất phương trình chứa căn thức có tham số

Ví dụ 2: Giải và biện luận phương trình:

$sqrt{x^{2}+x+frac{m^{2}}{(x-1)^{2}}=x-frac{m}{x-1}}$ (1)

Giải:

Tham khảo thêm:

⭐Bộ Sách Thần Tốc Luyện Đề Toán – Lý – Hóa THPT Có Giải Chi Tiết

Sau bài viết này, hy vọng các em đã nắm chắc được toàn bộ lý thuyết, công thức về bất phương trình chứa căn lớp 10, từ đó vận dụng hiệu quả vào bài tập. Ngoài ra để luyện tập thêm các em có thể truy cập ngay Vuihoc.vn và đăng ký tài khoản hoặc liên hệ trung tâm hỗ trợ để chuẩn bị tốt nhất cho kỳ thi đại học sắp tới nhé!

Previous Post

Cách giải bài toán hệ phương trình tuyến tính lớp 9 nhanh nhất

Next Post

Chực chờ hay trực chờ? Ăn trực nằm chờ hay ăn chực nằm chờ?

Tranducdoan

Tranducdoan

Trần Đức Đoàn sinh năm 1999, anh chàng đẹp trai đến từ Thái Bình. Hiện đang theo học và làm việc tại trường cao đẳng FPT Polytechnic

Next Post

Chực chờ hay trực chờ? Ăn trực nằm chờ hay ăn chực nằm chờ?

thời tiết miền bắc đọc sách online cm88 Ca Khia TV trực tiếp XoilacTV Socolive trực tiếp fly88 https://p789bet.biz/ fly88 cm88 com 789bet ww88 sumclub https://theaquaverse.io/17
Tài Liệu Học Tập

Copyright © 2022 Tài Liệu Học Tập.

Chuyên Mục

  • Đề Thi
  • Lớp 12
  • Lớp 11
  • Lớp 10
  • Lớp 9
  • Lớp 8
  • Lớp 7
  • Lớp 6
  • Lớp 5
  • Lớp 4
  • Lớp 3
  • Mẹo Hay
  • Tin tức
  • Liên Hệ

Tham Gia Group Tài Liệu Học Tập

No Result
View All Result
  • Đề Thi
  • Lớp 12
    • Lịch Sử Lớp 12
    • Địa Lí Lớp 12
    • Ngữ Văn Lớp 12
    • GD KTPL Lớp 12
    • Toán Lớp 12
    • Tiếng Anh Lớp 12
    • Hóa Học Lớp 12
    • Sinh Học Lớp 12
    • Vật Lí Lớp 12
  • Lớp 11
    • Toán Lớp 11
    • Ngữ Văn Lớp 11
    • Tiếng Anh Lớp 11
    • Hóa Học Lớp 11
    • Sinh Học Lớp 11
    • Vật Lí Lớp 11
    • Lịch Sử Lớp 11
    • Địa Lí Lớp 11
    • GDCD Lớp 11
  • Lớp 10
    • Toán Lớp 10
    • Ngữ Văn Lớp 10
    • Tiếng Anh Lớp 10
    • Hóa Học Lớp 10
    • Sinh Học Lớp 10
    • Vật Lí Lớp 10
    • Lịch Sử Lớp 10
    • Địa Lí Lớp 10
    • GDKTPL Lớp 10
    • Công nghệ lớp 10
    • Tin Học Lớp 10
  • Lớp 9
    • Toán Lớp 9
    • Ngữ Văn Lớp 9
    • Tiếng Anh Lớp 9
    • Lịch sử và địa lý lớp 9
    • Khoa Học Tự Nhiên Lớp 9
    • GDCD Lớp 9
  • Lớp 8
    • Toán Lớp 8
    • Ngữ Văn Lớp 8
    • Tiếng Anh Lớp 8
    • Lịch sử và địa lý lớp 8
    • Khoa Học Tự Nhiên Lớp 8
    • GDCD 8
  • Lớp 7
    • Toán Lớp 7
    • Văn Lớp 7
    • Tiếng Anh Lớp 7
    • Lịch Sử Và Địa Lí Lớp 7
    • Khoa Học Tự Nhiên Lớp 7
  • Lớp 6
    • Toán Lớp 6
    • Văn Lớp 6
    • Tiếng Anh lớp 6
    • Lịch Sử và Địa Lí Lớp 6
    • Khoa Học Tự Nhiên lớp 6
  • Lớp 5
    • Toán lớp 5
    • Tiếng Việt Lớp 5
    • Tiếng Anh Lớp 5
    • Lịch Sử và Địa Lí Lớp 5
  • Lớp 4
    • Toán lớp 4
    • Tiếng Việt Lớp 4
    • Tiếng Anh Lớp 4
    • Lịch Sử và Địa Lí Lớp 4
  • Lớp 3
    • Toán lớp 3
    • Tiếng Anh Lớp 3
    • Tiếng Việt Lớp 3
  • Mẹo Hay
  • Tin tức
  • Liên Hệ

Copyright © 2022 Tài Liệu Học Tập.