Cực trị hàm trị tuyệt đối chính là dạng bài tương đối dễ nằm trong chuyên đề Cực trị hàm số trong chương trình Toán 12. butbi xin chia sẻ đến các bạn cách để làm nhanh bài xác định cực trị của hàm trị tuyệt đối nhanh – gọn – chính xác. Hãy cùng tìm hiểu
Tham khảo thêm:
- Cực trị của hàm số
- Các dạng toán về cực trị có tham số đối với các hàm số đơn giản
1. Tìm hiểu cách làm bài cực trị hàm trị tuyệt đối
a) Hàm trị tuyệt đối là gì?
Hàm trị tuyệt đối giống như tên gọi, nó chính là những hàm số có chứa trị tuyệt đối. Hàm trị tuyệt đồi thông thường sẽ có 2 dạng là:
- Y = |f(x)|
- Y = f(|x|)
b) Cách làm bài cực trị hàm trị tuyệt đối nhanh
– Phương pháp làm bài cực trị của hàm trị tuyệt đối với hàm số y = |f(x)|
Để có thể tìm được cực trị của hàm số có dạng: y = |f(x)|, việc đầu tiên chúng ta cần làm là lập bảng bảng thiên và tiến hành vẽ đồ thị hàm số y = |f(x)|.
Để có thể vẽ được đồ thị của hàm y = |f(x)|, ta có thể dựa trên đồ thị hay bảng biến thiên của hàm số y = f(x) .
Lưu ý cho các bạn:
Đối với đồ thị của hàm số y = |f(x)| sẽ bao gồm 2 phần:
- Phần đồ thị hàm số y = f(x) nằm trên trục hoành (trục OX nhé)
- Phần đồ thị lấy đối xứng với y = f(x) sẽ nằm dưới trục OX qua trục Ox của đồ thị
– Phương pháp làm bài cực trị của hàm trị tuyệt đối với hàm số y = f(|x|)
Để tìm cực trị của hàm trị tuyệt đối có dạng y = f(|x|) ta cần phải lập bảng thiên hoặc vẽ đồ thị của hàm số y = f(|x|) thông qua việc xác định của bảng biến thiên hoặc đồ thị của hàm số y = f(x) .
Lưu ý cho các bạn:
Đồ thị hàm số trị tuyệt đối có dạng y = f(|x|) sẽ bao gồm 2 phần chính:
- Phần đồ thị có dạng y = f(x) nó nằm bên phải trục tung (trục OY nhé) (gọi đây là C)
- Phần đồ thị lấy đối xứng (C) thông qua qua OY
2. Số cực trị của hàm trị tuyệt đối – Lý thuyết
a) Số cực trị của hàm trị tuyệt đối với hàm số y = |f(x)|
Số điểm cực trị của hàm số trị tuyệt đối có dạng y = |f(x)| sẽ bằng tổng số điểm cực trị của hàm số y = f(x) cùng vớii số nghiệm bội lẻ của phương trình có dạng [y=f(x)] = 0
b) Số cực trị của hàm trị tuyệt đối với hàm số y = f(|x|)
Số điểm cực trị của hàm trị tuyệt đối đối với hàm số có dạng y = f(|x|) sẽ gấp đôi số điểm cực trị dương của hàm số y = f(x) cộng thêm với 1.
3. Các dạng bài cực trị hàm trị tuyệt đối tham khảo
*Ví dụ 1: Cho hàm số y = f(x) với đồ thị (C) như hình vẽ dưới. Hãy xác định hàm trị tuyệt đối y = f(|x|) gồm có bao nhiêu điểm cực trị?
A. 3
B. 2
C. 5
D. 7
Lời giải chi tiết:
- Đáp án đúng: C (5 điểm cực trị)
Đồ thị (C’) của hàm số y = f(|x|) sẽ có dạng như sau:
- Giữ nguyên phần đồ thị nằm phía bên phải trục tung của(C) ta được (C1)
- Tiến hành vẽ đối xứng qua trục tung phần đồ thị của (C1) ta sẽ được đồ thị (C2)
- Khi đó đồ thị của hàm y = f(|x|) chính là giao của (C1)(C2). Đồ thị sẽ có dạng như hình vẽ dưới đây:
Từ đồ thị (C’) ta có thể rút ra được kết luận hàm y = f(|x|) sẽ có tổng cộng 5 điểm cực trị.
Hoặc ta có thể áp dụng cách giải nhanh như sau: Nhìn vào đồ thị (C) ta có thể thấy được rằng đồ thị có 2 điểm cực trị dương ⇒ Số điểm cực trị của hàm số y = f(|x|) = 2×2+1 = 5.
*Ví dụ 2: Cho hàm số có dạng như sau: y = f(x) có bảng biến thiên như hình dưới. Hãy xác định hàm số y = |f(x)| gồm có tổng cộng bao nhiêu điểm cực trị?
A. 5.
B. 4.
C. 2.
D. 7.
Lời giải chi tiết:
- Đáp án đúng: D (7 điểm cực trị)
Ta có đồ thị hàm y = |f(x)| sẽ gồm 2 phần.
- Phần đồ thị y = f(x) sẽ nằm ở trên trục Ox
- Phần đồ thị lấy đối xứng trông qua Ox của đồ thị y = f(x) sẽ nằm ở phía dưới trục Ox.
Đồ thị của hàm số y = f(x) giao với trục Ox ở 4 điểm có hoành độ lần lượt đó là x1; x2; x3; x4.
Vậy ta sẽ có bảng biến thiên của đồ thị y = |f(x)| chi tiết như sau:
Thông qua bảng biến thiên ta có thể suy ra được đồ thị y = |f(x)| có tổng cộng 7 điểm cực trị.
*Ví dụ 3: Cho hàm số có dạng y = |(x – 1)(x – 2)2|. Xác định tổng số điểm cực trị của hàm trên?
A. 1.
B. 5.
C. 3.
D. 8.
Lời giải chi tiết:
- Đáp án chính xác: C (3 điểm cực trị)
Bên cạnh đó ta nhận thấy: f(x) = (x – 1)(x – 2)2 = 0 có 1 nghiệm đơn đó là x = 1
Ta có: số điểm cực trị của hàm trị tuyệt đối y = |(x – 1)(x – 2)2| chính là số điểm cực trị của hàm số f(x) = (x – 1)(x – 2)2 cộng với số nghiệm bội lẻ của phương trình f(x) = 0.
Như vậy tổng số điểm cực trị của hàm số y = |(x – 1)(x – 2)2| = 2 + 1 = 3 (điểm cực trị)
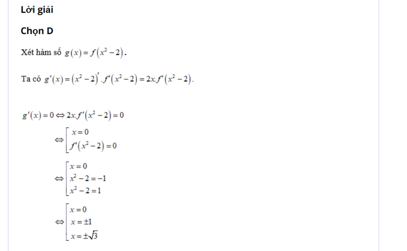
4. Bài tập cực trị hàm trị tuyệt đối có đáp án
*Ví dụ 1:

*Ví dụ 2:

*Ví dụ 3:


*Ví dụ 4:


*Ví dụ 5:


*Ví dụ 6:


*Ví dụ 7:


*Ví dụ 8:


*Ví dụ 9:



*Ví dụ 10:


Trên đây là toàn bộ kiến thức liên quan đến dạng bài cực trị của hàm trị tuyệt đối. Hy vọng thông qua bài viết trên các bạn sẽ hiểu cách làm và thành thạo dạng bài này, dễ dàng áp dụng trong quá trình ôn tập kiến thức và làm bài kiểm tra, bài thi.





