Tài Liệu Học Tập
No Result
View All Result
  • Đề Thi
  • Lớp 12
    • Lịch Sử Lớp 12
    • Địa Lí Lớp 12
    • Ngữ Văn Lớp 12
    • GD KTPL Lớp 12
    • Toán Lớp 12
    • Tiếng Anh Lớp 12
    • Hóa Học Lớp 12
    • Sinh Học Lớp 12
    • Vật Lí Lớp 12
  • Lớp 11
    • Toán Lớp 11
    • Ngữ Văn Lớp 11
    • Tiếng Anh Lớp 11
    • Hóa Học Lớp 11
    • Sinh Học Lớp 11
    • Vật Lí Lớp 11
    • Lịch Sử Lớp 11
    • Địa Lí Lớp 11
    • GDCD Lớp 11
  • Lớp 10
    • Toán Lớp 10
    • Ngữ Văn Lớp 10
    • Tiếng Anh Lớp 10
    • Hóa Học Lớp 10
    • Sinh Học Lớp 10
    • Vật Lí Lớp 10
    • Lịch Sử Lớp 10
    • Địa Lí Lớp 10
    • GDKTPL Lớp 10
    • Công nghệ lớp 10
    • Tin Học Lớp 10
  • Lớp 9
    • Toán Lớp 9
    • Ngữ Văn Lớp 9
    • Tiếng Anh Lớp 9
    • Lịch sử và địa lý lớp 9
    • Khoa Học Tự Nhiên Lớp 9
    • GDCD Lớp 9
  • Lớp 8
    • Toán Lớp 8
    • Ngữ Văn Lớp 8
    • Tiếng Anh Lớp 8
    • Lịch sử và địa lý lớp 8
    • Khoa Học Tự Nhiên Lớp 8
    • GDCD 8
  • Lớp 7
    • Toán Lớp 7
    • Văn Lớp 7
    • Tiếng Anh Lớp 7
    • Lịch Sử Và Địa Lí Lớp 7
    • Khoa Học Tự Nhiên Lớp 7
  • Lớp 6
    • Toán Lớp 6
    • Văn Lớp 6
    • Tiếng Anh lớp 6
    • Lịch Sử và Địa Lí Lớp 6
    • Khoa Học Tự Nhiên lớp 6
  • Lớp 5
    • Toán lớp 5
    • Tiếng Việt Lớp 5
    • Tiếng Anh Lớp 5
    • Lịch Sử và Địa Lí Lớp 5
  • Lớp 4
    • Toán lớp 4
    • Tiếng Việt Lớp 4
    • Tiếng Anh Lớp 4
    • Lịch Sử và Địa Lí Lớp 4
  • Lớp 3
    • Toán lớp 3
    • Tiếng Anh Lớp 3
    • Tiếng Việt Lớp 3
  • Mẹo Hay
  • Tin tức
  • Liên Hệ
Tài Liệu Học Tập
No Result
View All Result
Home Toán tổng hợp

Lý thuyết về vi phân – Toán 11

by Tranducdoan
22/02/2026
in Toán tổng hợp
0
Đánh giá bài viết

Mục Lục Bài Viết

  1. 1. Định nghĩa vi phân
    1. 1.1 Định nghĩa:
    2. 1.2 Chú ý:
  2. 2. Ứng dụng của vi phân
  3. 3. Các dạng bài tập vi phân
    1. 3.1 Dạng toán tìm vi phân của hàm số y = f(x)
    2. 3.2 Dạng bài tìm giá trị gần đúng của một biểu thức

1. Định nghĩa vi phân

1.1 Định nghĩa:

– Cho hàm số y = f(x) xác định trên (a;b) và có đạo hàm tại x large in (a;b)

– Giả sử large Deltax là số gia của x sao cho x + large Deltax (a;b)

– Ta gọi f'(x).large Deltax là vi phân của hàm số y = f(x) tại x ứng với số gia large Deltax và kí hiệu là dy hoặc df(x)

dy = df(x) = f'(x).large Deltax

1.2 Chú ý:

– Nếu y = x thì ta sẽ có:

dx = dy = x’.large Deltax = 1. large Deltax = large Deltax

– Vì vậy với mọi hàm số y = f(x), ta có dy = df(x) = f'(x).large Deltax = f'(x).dx

2. Ứng dụng của vi phân

– Ứng dụng của vi phân vào phép toán gần đúng:

f(xo + large Deltax) f(xo) + f'(xo).large Deltax

Nắm trọn kiến thức môn Toán 11 cùng khóa học DUO 11 độc quyền của VUIHOC bạn nhé!

3. Các dạng bài tập vi phân

3.1 Dạng toán tìm vi phân của hàm số y = f(x)

a. Phương pháp

  • Bước 1: Tính đạo hàm f'(x)

  • Bước 2: Tính vi phân của hàm số y = f(x) tại x là df(x) = f'(x)dx

  • Bước 3: Tính vi phân của hàm số y = f(x) tại xo là df(xo) = f'(xo)dx

b. Vận dụng

Tìm vi phân của các hàm số sau:

  1. f(x) = sinx -xcosx

  2. y = x3 +2×2

  3. Tìm vi phân của hàm số tại x =-3

  4. y = x3 – 2×2 + 2. Tinh vi phân của hàm số tại điểm xo = 1 ứng với gia số large Deltax bằng 0.02

  5. y = f(x) = (x -1)2

  6. y = tan2x

Lời giải:

  1. f'(x) = cosx – (cosx – xsinx) = xsinx nên df(x) = xsinx

  2. Ta có f'(x) = 3×2 + 4x => dy = (3×2 + 4x)dx

  3. => y'(-3) = 1/7 => dy = 1/7dx

  4. Ta có y’ = 3×2 -4x => df(1) = f'(1).large Deltax = (3.12 -4.1). 0,02 = -0.02

  5. f'(x) = 2(x – 1)(x – 1)’ = 2(x – 1) => dy = f'(x)dx = 2(x – 1).dx

  6. y’ = 2tanx(tanx)’ = 2tan. 1/cos2x => dy = d(tan2x) = y’dx = 2tan. 1/cos2xdx

3.2 Dạng bài tìm giá trị gần đúng của một biểu thức

a. Phương pháp

  • Bước 1: Lập hàm số y = f(x) và chọn xo, large Deltax thích hợp

  • Bước 2: Tính đạo hàm f'(x), f'(xo) và f(xo)

  • Bước 3: Tính giá trị gần đúng của biểu thức: P = f(xo +large Deltax) f(xo) + f'(xo).large Deltax

Tham khảo ngay bộ sách tổng hợp kiến thức và phương pháp giải mọi bài tập toán trong đề thi Toán THPT Quốc Gia

b. Vận dụng

Tính giá trị gần đúng của các hàm số sau:

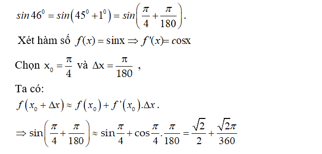
  1. sin46o

Lời giải:

  1. Đặt f(x) = . Chọn xo = 4 và large Deltax = 0,01. Khi đó 4,01 = 4 + 0,01 = xo + large Deltax => f(4) = 2 =>

  2. Ta có:

  3. Ta có Xét hàm số f(x) = Ta có:

Trên đây là toàn bộ kiến thức về vi phân và các dạng bài tập vận dụng lý thuyết này. Hy vọng qua bài học này, VUIHOC tin rằng các em có thể vận dụng để giải các dạng bài tập liên quan đến vi phân, đạo hàm trong chương trình toán 11. Để học thêm nhiều bài học bổ ích khác, các em hãy truy cập vào trang web vuihoc.vn hàng ngày nhé!

Tham khảo thêm:

⭐Bộ Sách Thần Tốc Luyện Đề Toán – Lý – Hóa THPT Có Giải Chi Tiết

>> Mời các bạn tham khảo thêm:

  • Quy tắc tính đạo hàm và bài tập vận dụng
  • Dãy số
  • Phương pháp quy nạp toán học: Lý thuyết và bài tập
Previous Post

Cửa Nhôm Thủy Lực Màu Gỗ Hương: Đẳng Cấp & Vẻ Đẹp Vượt Thời Gian

Next Post

Bộ kéo Sand Pro® 3040 và 5040

Tranducdoan

Tranducdoan

Trần Đức Đoàn sinh năm 1999, anh chàng đẹp trai đến từ Thái Bình. Hiện đang theo học và làm việc tại trường cao đẳng FPT Polytechnic

Next Post

Bộ kéo Sand Pro® 3040 và 5040

đọc sách online cm88 Ca Khia TV trực tiếp XoilacTV Socolive trực tiếp fly88 https://p789bet.biz/ fly88 cm88 com 789bet ww88 sumclub https://theaquaverse.io/17
Tài Liệu Học Tập

Copyright © 2022 Tài Liệu Học Tập.

Chuyên Mục

  • Đề Thi
  • Lớp 12
  • Lớp 11
  • Lớp 10
  • Lớp 9
  • Lớp 8
  • Lớp 7
  • Lớp 6
  • Lớp 5
  • Lớp 4
  • Lớp 3
  • Mẹo Hay
  • Tin tức
  • Liên Hệ

Tham Gia Group Tài Liệu Học Tập

No Result
View All Result
  • Đề Thi
  • Lớp 12
    • Lịch Sử Lớp 12
    • Địa Lí Lớp 12
    • Ngữ Văn Lớp 12
    • GD KTPL Lớp 12
    • Toán Lớp 12
    • Tiếng Anh Lớp 12
    • Hóa Học Lớp 12
    • Sinh Học Lớp 12
    • Vật Lí Lớp 12
  • Lớp 11
    • Toán Lớp 11
    • Ngữ Văn Lớp 11
    • Tiếng Anh Lớp 11
    • Hóa Học Lớp 11
    • Sinh Học Lớp 11
    • Vật Lí Lớp 11
    • Lịch Sử Lớp 11
    • Địa Lí Lớp 11
    • GDCD Lớp 11
  • Lớp 10
    • Toán Lớp 10
    • Ngữ Văn Lớp 10
    • Tiếng Anh Lớp 10
    • Hóa Học Lớp 10
    • Sinh Học Lớp 10
    • Vật Lí Lớp 10
    • Lịch Sử Lớp 10
    • Địa Lí Lớp 10
    • GDKTPL Lớp 10
    • Công nghệ lớp 10
    • Tin Học Lớp 10
  • Lớp 9
    • Toán Lớp 9
    • Ngữ Văn Lớp 9
    • Tiếng Anh Lớp 9
    • Lịch sử và địa lý lớp 9
    • Khoa Học Tự Nhiên Lớp 9
    • GDCD Lớp 9
  • Lớp 8
    • Toán Lớp 8
    • Ngữ Văn Lớp 8
    • Tiếng Anh Lớp 8
    • Lịch sử và địa lý lớp 8
    • Khoa Học Tự Nhiên Lớp 8
    • GDCD 8
  • Lớp 7
    • Toán Lớp 7
    • Văn Lớp 7
    • Tiếng Anh Lớp 7
    • Lịch Sử Và Địa Lí Lớp 7
    • Khoa Học Tự Nhiên Lớp 7
  • Lớp 6
    • Toán Lớp 6
    • Văn Lớp 6
    • Tiếng Anh lớp 6
    • Lịch Sử và Địa Lí Lớp 6
    • Khoa Học Tự Nhiên lớp 6
  • Lớp 5
    • Toán lớp 5
    • Tiếng Việt Lớp 5
    • Tiếng Anh Lớp 5
    • Lịch Sử và Địa Lí Lớp 5
  • Lớp 4
    • Toán lớp 4
    • Tiếng Việt Lớp 4
    • Tiếng Anh Lớp 4
    • Lịch Sử và Địa Lí Lớp 4
  • Lớp 3
    • Toán lớp 3
    • Tiếng Anh Lớp 3
    • Tiếng Việt Lớp 3
  • Mẹo Hay
  • Tin tức
  • Liên Hệ

Copyright © 2022 Tài Liệu Học Tập.