1. Lý thuyết phương trình quy về phương trình bậc nhất bậc hai lớp 10
Phương trình quy về phương trình bậc nhất bậc hai là phương trình được viết theo dạng phương trình tổng quát có ẩn x. Để làm được dạng bài tập này, chúng ta cần biện luận và giải phương trình theo ẩn.
1.1. Phương trình quy về bậc nhất
Phương trình bậc nhất có dạng tổng quát như sau:
y=ax+b ($aneq 0$)
Khi a≠0: Phương trình có nghiệm duy nhất x=$-frac{b}{a}$
Khi a=0, b≠0: Phương trình vô nghiệm.
Khi a=0, b=0: Phương trình có nghiệm đúng với mọi x∈R
Lưu ý: Phương trình ax+b=0 với a≠0 được gọi là phương trình bậc nhất một ẩn x.

1.2. Phương trình quy về bậc hai
Phương trình quy về bậc hai có dạng tổng quát như sau:
$a^{2}+bx+c=0, (aneq 0)$
Δ=$b^{2}-4ac$ gọi là biệt thức của phương trình.
+ Nếu Δ>0 thì phương trình có 2 nghiệm phân biệt: $x_{1,2}=frac{-bpm sqrt{Delta }}{2a}$
+ Nếu Δ=0 thì phương trình có nghiệm kép x=$frac{-b}{2a}$
+ Nếu Δ<0 thì phương trình vô nghiệm
1.3. Định lí Vi-ét
Trong phương trình quy về phương trình bậc nhất bậc hai, định lý Vi-ét nói lên mối quan hệ giữa các hệ số và các nghiệm của một phương trình đa thức. Trong chương trình toán học, chúng ta sẽ rất dễ bắt gặp dạng bài về định lí Vi-ét này.
Phương trình $ax^{2}+bx+c=0 (aneq 0)$ có hai nghiệm $x_{1},x_{2}$ thì:
$x_{1}+x{2}=frac{-b}{a}, x_{1}x_{2}=frac{c}{a}$
Ngược lại, nếu hai số u và v có tích uv = P và tổng u + v = S thì u và v là hai nghiệm của phương trình: $x^{2}-Sx+P=0$
Ví dụ 1: Hãy tìm tổng và tích của nghiệm phương trình $x^{2}-8x+11=0$
Giải:
S= $x_{1}+x_{2}=frac{-b}{a}=-frac{-8}{1}=8$
Ví dụ 2: Hãy tìm tổng và tích của nghiệm phương trình $x^{2}+10x+25=0$
Giải:
S= $x_{1}+x_{2}=frac{-b}{a}=-frac{10}{1}=-10$
1.4. Phương trình chứa ẩn trong giá trị tuyệt đối
Để giải một phương trình chứa ẩn trong dấu giá trị tuyệt đối, chúng ta có phương pháp chính là đặt các điều kiện xác định để đưa phương trình có dấu giá trị tuyệt đối thành phương trình không có dấu giá trị tuyệt đối.
Ta có thể làm theo cách:
-
Đặt ẩn phụ.
-
Bình phương hai vế.
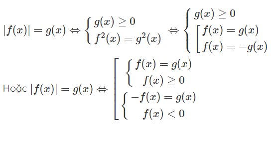
Với dạng phương trình $left | f(x) right |=left | g(x) right |$ ta có phương pháp giải như sau:
Với dạng phương trình $left | f(x) right |$ = g(x), ta có phương pháp chuyển đổi như sau:

1.5. Phương trình chứa ẩn dưới dấu căn
Phương pháp chung để chúng ta giải phương trình chứa ẩn dưới dấu căn là ta đặt điều kiện, sau đó lũy thừa một cách thích hợp hai vế của phương trình để làm mất dấu căn thức.
Ví dụ 1: Giải phương trình $sqrt{3x-5}=3$
Giải:
Đk: $xgeqslant frac{5}{3}$ $Leftrightarrow 3x-5=0$ $Leftrightarrow x=frac{14}{3}$ (t/m)
Vậy phương trình có nghiệm x=$frac{14}{3}$
Ví dụ 2: Giải phương trình $sqrt{2x+5}=2$
Giải:
Đk: $xgeqslant frac{-5}{2}$ $Leftrightarrow 2x+5=4$ $Leftrightarrow x=frac{-1}{2}$
Vậy phương trình có nghiệm $x=frac{-1}{2}$
Ví dụ 3: $sqrt{x^{2}+2x+4}=sqrt{2-x}$
Giải:
2. Một số bài tập phương trình quy về bậc nhất bậc hai
Bài tập quy về phương trình bậc nhất bậc hai có rất nhiều dạng bài khác nhau, đòi hỏi học sinh cần nắm chắc kiến thức của mình để áp dụng vào bài tập. Hãy cùng điểm qua những ví dụ dưới đây về bài tập quy về phương trình bậc nhất bậc hai nhé.
Bài tập 1: Giải phương trình sau và biện luận theo tham số m: $m^{2}(x+1)-1=(2-m)x$
Giải:

Bài tập 2: Cho phương trình: $x^{2}-(2m+3)x+m^{2}-2m=0$. Hãy tìm m để phương trình có 2 nghiệm phân biệt.
Giải:
Để phương trình có 2 nghiệm phân biệt khi Δ > 0
$Delta =(2m-3)^{2}-4(m^{2}-2m)=4m+9$ $Delta > 0Leftrightarrow -4m+9> 0Leftrightarrow m< frac{9}{4}$
Vậy phương trình có hai nghiệm phân biệt khi m < $frac{9}{4}$.
Bài tập 3: Cho phương trình $mx^{2}+(m^{2}-3)x+m=0$. Tìm m để phương trình có nghiệm kép và tìm nghiệm kép đó.
Giải:
Bài tập 4: Hãy giải phương trình cho sau: $left | 2x+1 right |=left | x^{2}-3x-4 right |$
Giải:

Bài tập 5: Tìm nghiệm của phương trình: $1+frac{2}{x-2}=frac{10}{x+3}-frac{50}{(2-x)(x+3)}$
Giải:

Đăng ký ngay khóa học DUO để được lên lộ trình ôn thi tốt nghiệp sớm nhất!

Hy vọng rằng qua các bài tập kèm lời giải trên sẽ giúp các em tiếp thu bài học dễ dàng hơn đối với dạng bài phương trình quy về phương trình bậc nhất bậc hai. Truy cập ngay nền tảng học online Vuihoc.vn để để ôn tập nhiều hơn về các dạng toán khác nhé! Chúc các bạn ôn tập hiệu quả.