TOÁN 12 bài 1 | Sự đồng biến nghịch biến của hàm số – Bài đầu tiên chúng ta học trong chương trình toán 12 là bài về tính đơn điệu của hàm số, ứng dụng của đạo hàm để có thể tìm tính chất đơn điệu của hàm số. Bài học này khá quan trọng vì nó chính là móc xích trực tiếp đến các bài học sau của chương này và một số những chương sau.
Tham khảo thêm:
- Tổng quan kiến thức Toán 12
- Các dạng toán về sự đồng biến nghịch biến của hàm số
- Tìm cực trị của hàm số
- Hình học 12 bài 1: Khối đa diện
A: Lý thuyết sự đồng biến nghịch biến của hàm số
→ K là ký hiệu của một khoảng, một đoạn hay một nửa khoảng.
1. Định nghĩa
Hàm số y = f(x) đồng biến (tăng) trên K ⇔ với ∀x1, x2 ∈ K, x1 < x2 thì f(x1) < f(x2).
Hàm số y = f(x) nghịch biến (giảm) trên K ⇔ với ∀x1, x2 ∈ K, x1 < x2 thì f(x1) > f(x2).
2. Điều kiện cần để cho hàm số đơn điệu
Cho hàm số f có đạo hàm trên K.
– Nếu hàm số f đồng biến trên K thì f'(x) ≥ 0 với mọi x ∈ K.
– Nếu hàm số f nghịch biến trên K thì f'(x) ≤ 0 với mọi x ∈ K.
3. Điều kiện đủ để cho hàm số đơn điệu
Cho hàm số f có đạo hàm trên K.
– Nếu f'(x) > 0 với mọi x ∈ K thì hàm số f đồng biến trên K.
– Nếu f'(x) < 0 với mọi x ∈ K thì hàm số f nghịch biến trên K.
– Nếu f'(x) = 0 với mọi x ∈ K thì hàm số f là hàm hằng trên K.
Định lý mở rộng
– Nếu f'(x) ≥ 0 với mọi x ∈ K và f'(x) = 0 chỉ tại một số hữu hạn điểm thuộc K thì f sẽ đồng biến trên K.
– Nếu f'(x) ≤ 0 với mọi x ∈ K và f'(x) = 0 chỉ tại một số hữu hạn điểm thuộc K thì f sẽ nghịch biến trên K.
4. Những quy tắc xét tính đơn điệu của hàm số
i) Tìm tập xác định
ii) Tính đạo hàm f'(x). Tìm các điểm xi (i= 1, 2 ,…, n) mà tại đó đạo hàm của chúng bằng 0 hoặc không xác định
iii) Sắp xếp các điểm xi theo thứ tự tăng dần và lập bảng biến thiên.
iv) Nêu kết luận về các khoảng đồng biến và nghịch biến của hàm số.
B: Tính đơn điệu của hàm số
1. Định nghĩa về tính đơn điệu của hàm số:
Hàm số f xác định trên K. Với mọi x1,x2 thuộc K mà x1>x2
- Nếu f(x1)>f(x2) thì hàm số f tăng trên K
- Nếu f(x1)<f(x2) thì hàm số f giảm trên K.
*Chú ý:
- Hàm số tăng hoặc giảm trên K thì được gọi chung là hàm số đơn điệu trên K.
- Ký hiệu K có thể là một khoảng, một đoạn hoặc một nửa khoảng.
2. Điều kiện cần để hàm số đơn điệu
Cho một hàm số f có đạo hàm trên khoảng K
– Nếu f tăng trên K thì f′(x)>0, với mọi x thuộc khoảng K.
– Nếu f giảm trên K thì f′(x)<0, với mọi x thuộc khoảng K.
3. Điều kiện đủ để hàm số đơn điệu
Cho một hàm số f có đạo hàm trên một khoảng K
- Nếu f′(x)>0 với mọi x thuộc K thì f tăng trên khoảng K.
- Nếu f′(x)<0 với mọi x thuộc K thì f giảm trên khoảng K.
*Chú ý: Nếu f′(x)≥0 với ∀x∈K hoặc f′(x)≤0 với ∀x∈K và f′(x)=0 chỉ tại một số hữu hạn điểm thuộc khoảng K thì hàm số f tăng (hoặc giảm) trên K.

C: Trả lời câu hỏi và giải bài tập SGK Toán 12 bài 1
Trả lời câu hỏi 1 trang 4 SGK Giải tích 12 tập 1:
Đề bài:

– Trên khoảng K: đồ thị của hàm số đi lên (từ trái sang phải) thì hàm số đồng biến trên K.
– Trên khoảng K: đồ thị của hàm số đi xuống (từ trái sang phải) thì hàm số nghịch biến trên K.
Lời giải chi tiết:
Các khoảng giảm: (0; π)
– Hàm số y=|x| trên khoảng (−∞;+∞)
Các khoảng tăng: (0,+∞): do đồ thị hàm số đi lên trong khoảng đó cho nên nếu x tăng thì y cũng tăng.
Khoảng giảm (−∞, 0): do đồ thị hàm số đi xuống trong khoảng đó nên khi x tăng thì y giảm.
Trả lời câu hỏi 2 trang 5 SGK Giải tích 12 tập 1
Lời giải câu a:
Xét các hàm số sau đây và đồ thị của chúng:

Xét dấu đạo hàm của hàm số trên và điền vào bảng tương ứng.
Phương pháp giải:
Quan sát đồ thị phía trên, nhận xét khoảng đồ thị đi lên (đồng biến) hay đi xuống (nghịch biến), từ đó suy ra dấu của đạo hàm:
Trên từng khoảng, nếu đồ thị của hàm số đi lên (từ trái qua phải) thì hàm số đồng biến trên khoảng đó, đồng thời đạo hàm mang dấu (+) trên khoảng đó.
Ngược lại, nếu đồ thị của hàm số đi xuống(từ trái qua phải) thì hàm số nghịch biến trên khoảng đó, đồng thời đạo hàm mang dấu (-) trên khoảng ấy.
Lời giải chi tiết:
Quan sát đồ thị trên, ta thấy:
– Trên khoảng (−∞;0) đồ thị của hàm số đi lên (từ trái qua phải) do đó hàm số đồng biến trên (−∞;0), và y′>0,với ∀x∈(−∞;0).
– Trên khoảng (0;+∞) đồ thị của hàm số đi xuống (từ trái qua phải) do đó hàm số nghịch biến trên (0;+∞), và y′<0, với ∀x∈(0;+∞).
Bảng biến thiên:
– Lời giải câu b:

Xét dấu đạo hàm của hàm số trên và điền vào bảng tương ứng.
Phương pháp giải:
Quan sát đồ thị b, nhận xét khoảng đồ thị đi lên (đồng biến) hay đi xuống (nghịch biến), từ đó suy ra dấu của đạo hàm:
Trên từng khoảng, nếu đồ thị của hàm số đi lên (từ trái qua phải) thì hàm số đồng biến trên khoảng đó, đồng thời đạo hàm mang dấu (+) trên khoảng đó.
Ngược lại, nếu đồ thị hàm số đi xuống(từ trái qua phải) thì hàm số nghịch biến trên khoảng đó, đồng thời đạo hàm mang dấu (-) trên khoảng ấy.
Lời giải chi tiết:
Quan sát đồ thị ta thấy:
– Tại x=0,thì không có giá trị của y do đó hàm số không xác định tại x=0
– Trên mỗi khoảng (−∞;0) và (0;+∞) thì đồ thị đi xuống (từ trái qua phải) do đó hàm số nghịch biến trên mỗi khoảng này.
Khi đó y′<0, với ∀x∈(−∞;0) và y′<0,với ∀x∈(0;+∞)
Bảng biến thiên:
Trả lời câu hỏi 3 trang 7 SGK Giải tích 12 tập 1
Đề bài
Khẳng định ngược lại với định lí phía trên có đúng không ? Nói cách khác, nếu hàm số đồng biến (hay nghịch biến) trên K thì đạo hàm của nó có nhất thiết phải dương (hay âm) trên đó hay không ?
Lời giải chi tiết:
Giải bài 1 trang 9 SGK Giải tích 12 tập 1:
Xét sự đồng biến và nghịch biến của các hàm số dưới đây:
Lời giải câu a:
Phương pháp giải:
+) Tìm tập xác định của hàm số.
+) Tính đạo hàm của hàm số. Tìm các điểm xi (I =1,2,3,…,n) mà tại đó đạo hàm của hàm số bằng 0 hoặc không xác định
+) Sắp xếp các điểm xi theo thứ tự tăng dần và lập bảng biến thiên
+) Dựa vào bảng biến thiên để kết luận những khoảng đồng biến và nghịch biến của hàm số trên tập xác định của nó. (nếu y’ > 0 thì hàm số đó đồng biến, nếu y’ < 0 thì hàm số đó nghịch biến)
*Chú ý: Khi kết luận các khoảng đồng biến và nghịch biến của một hàm số ta nhớ sử dụng chữ chứ không được sử dụng kí hiệu hợp.
Lời giải chi tiết:
Tập xác định: D=R.
Lập bảng biến thiên:

Lời giải câu b:
Tập xác định của hàm số: D=R.
Lập bảng biến thiên:
Từ bảng biến thiên ta thấy hàm số đồng biến trên các khoảng (−∞;−7)và (1;+∞).
Hàm số nghịch biến trên khoảng (−7; 1).
Lời giải câu c:
Tập xác định của hàm số: D=R.
Lập bảng biến thiên:
Từ bảng biến thiên ta thấy hàm số đồng biến trên các khoảng (−1; 0) và (1;+∞).
Hàm số nghịch biến trên các khoảng (−∞;−1) và (0; 1).
Lời giải câu d:
Tập xác định của hàm số: D=R.
Lập bảng biến thiên:

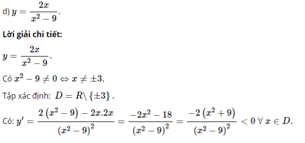
Giải bài 2 trang 10 SGK Giải tích 12 tập 1:
Tìm các khoảng đơn điệu của các hàm số dưới đây:
Phương pháp giải:
+) Tìm tập xác định của các hàm số.
+) Tính đạo hàm của hàm số. Tìm các điểm xi (I =1,2,3,…,n) mà tại đó đạo hàm của hàm số bằng 0 hoặc không xác định
+) Sắp xếp các điểm xi theo thứ tự tăng dần và lập bảng biến thiên
+) Dựa vào bảng biến thiên để kết luận các khoảng đồng biến và nghịch biến của hàm số trên tập xác định của nó. (nếu y’ > 0 thì hàm số đó đồng biến, nếu y’ < 0 thì hàm số đó nghịch biến)
Ở bài toán này cần chú ý đến các tập xác định của hàm số.
Lời giải chi tiết:
Lập bảng biến thiên:
Từ bảng biến thiên ta thấy hàm số đồng biến trên các khoảng xác định của nó là: (−∞; 1) và (1;+∞).
Chú ý: Cách tính giới hạn để điền vào bảng biến thiên:

Lập bảng biến thiên:
Từ bảng biến thiên ta thấy hàm số nghịch biến trên khoảng (−∞;−4) và đồng biến trên khoảng (5;+∞).
Chú ý: Cách tính giới hạn để điền vào bảng biến thiên:

Lập bảng biến thiên:
Từ bảng biến thiên ta thấy hàm số nghịch biến trên các khoảng xác định của nó là: (−∞; −3); (−3; 3) và (3; +∞).
Chú ý: Cách tính giới hạn để điền vào bảng biến thiên:
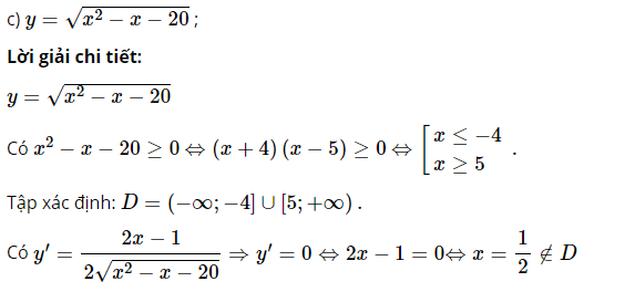
Giải bài 3 trang 10 SGK Giải tích 12 tập 1:
Đề bài:
Phương pháp giải:
+) Tìm tập xác định của hàm số trên.
+) Tính đạo hàm của hàm số. Tìm các điểm xi (i =1,2,3,…,n) mà tại đó đạo hàm của hàm số bằng 0 hoặc không xác định
+) Xét dấu đạo hàm và kết luận các khoảng đồng biến nghịch biến.
Lời giải chi tiết
Tập xác định của hàm số: D=R.

⇒ Hàm số nghịch biến trên các khoảng (−∞; −1) và (1;+∞).
Giải bài 4 trang 10 SGK Giải tích 12 tập 1:
Đề bài:
Phương pháp giải:
+) Tìm tập xác định của hàm số trên.
+) Tính đạo hàm của hàm số. Tìm các điểm xi (I =1,2,3,…,n) mà tại đó đạo hàm của hàm số bằng 0 hoặc không xác định
+) Xét dấu đạo hàm và kết luận các khoảng đồng biến nghịch biến.
Lời giải chi tiết
⇒ y′=0 ⇔ 1−x=0 ⇔x=1.
+) Với y′>0 ⇔1−x>0 ⇔x<1 do đó hàm số đồng biến trên khoảng (0; 1).
+) Với y′<0 ⇔1−x<0 ⇔x>1 do đó hàm số nghịch biến trên khoảng (1; 2).
Giải bài 5 trang 10 SGK Giải tích 12 tập 1:
Chứng minh một số các bất đẳng thức sau đây:
a)
Phương pháp giải:
+) Chuyển vế tất cả các biểu thức chứa biến sang bên vế trái sau đó so sánh hàm số y(x) với 0.
+) Tính đạo hàm bậc nhất của hàm số y(x) và khảo sát hàm số y(x) trên các khoảng của đề bài đã cho.
+) Dựa vào tính đơn điệu của hàm số để từ đó đưa ra kết luận bài toán.
Lời giải chi tiết

b)
Phương pháp giải:
+) Chuyển vế tất cả các biểu thức chứa biến sang bên vế trái sau đó so sánh hàm số y(x) với 0.
+) Tính đạo hàm bậc nhất của hàm số y(x) và khảo sát hàm số y(x) trên các khoảng mà đề bài đã cho.
+) Dựa vào tính đơn điệu của hàm số để đưa ra kết luận bài toán.
Lời giải chi tiết:

Cùng butbi.hocmai.vn nâng cao kiến thức môn toán 12 qua bài “Sự đồng biến nghịch biến của hàm số“





