1. Phương pháp đổi biến số là gì?
Phương pháp đổi biến số là một trong những phương pháp được dùng rất nhiều khi giải bài tập vì khi sử dụng phương pháp này, việc xử lý bài toán sẽ trở nên đơn giản hơn.
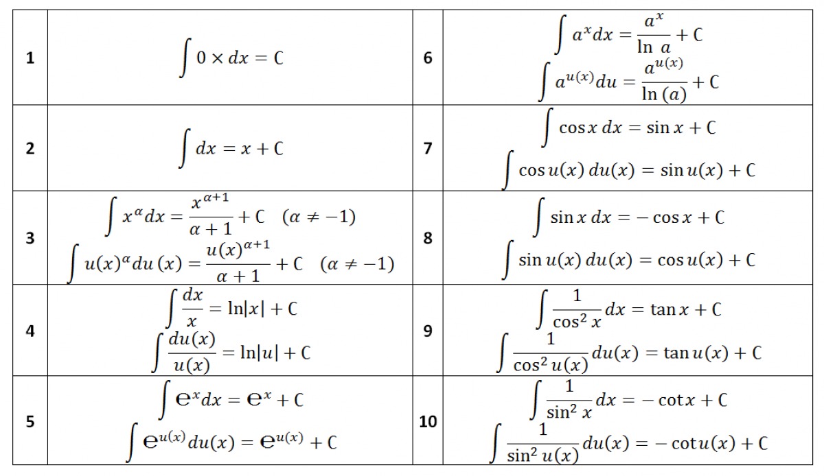
Một số công thức nguyên hàm được sử dụng khi đổi biến số:

Ví dụ 1: Tính nguyên hàm của hàm số $f(x) = (3x + 2)^{3}$
Giải:
Ví dụ 2: Tính tích phân sau $I=-int_{1}^{0}x(1-x)^{19}dx$
Giải:
2. Tính nguyên hàm bằng phương pháp đổi biến số và ví dụ
Để tìm nguyên hàm thông thường người ta sẽ sử dụng 2 phương pháp đổi biến số nguyên hàm sau: phương pháp đổi biến số loại 1 và phương pháp biến đổi biến số loại 2.
2.1. Phương pháp đổi biến số loại 1
Để giải nguyên hàm bằng phương pháp đổi biến số loại 1 ta thực hiện các bước sau:
-
Bước 1: Đặt ẩn phụ t = u(x)
-
Bước 2: Tính vi phân dt = u'(x)dx
-
Bước 3: Biểu thị f(x) và d(x) theo t và dt. Giả sử f(x)dx = g(t)dt
-
Nếu hàm số:
$int(x)$ có chứa $sqrt[n]{g(x)}$ đặt $t=sqrt[n]{g(x)} Leftrightarrow t^{n}=g(x) Rightarrow n.t^{n-1}dt=g'(x)dx$
-
Nếu hàm số:
$int(x)$ có chứa $(ax+b)^{n}$ đặt $t=ax+b Rightarrow dt= adx$ hoặc $x=frac{t-b}{a}$
Ví dụ: Tìm nguyên hàm sau:
a) $int frac{x^{3}}{1+x^{2}}dx$
b) $int x^{3} sqrt{x^{2}+9}dx$
Giải:
2.2. Phương pháp đổi biến số loại 2
Để giải nguyên hàm bằng phương pháp đổi biến số loại 2 ta thực hiện các bước sau:
-
Bước 1: Đặt ẩn phụ x = u(t)
-
Bước 2: Tìm vi phân dx = u'(t)dx
-
Bước 3: Biểu thị hàm số f(x) và d(x) theo t và dt.
Giả sử f(x)dx = g(t)dt
-
Bước 4: Tìm $I = int g(t)dt$
Ví dụ: Tìm nguyên hàm:
a) $int xe^{x^{2}}dx$
b) $int frac{e^{tanx}}{cos^{2}x}$
Giải:
Tham khảo ngay bộ tài liệu ôn tập kiến thức và phương pháp giải mọi dạng bài tập trong đề thi Toán THPT Quốc Gia

3. Tính tích phân bằng phương pháp đổi biến số
3.1. Phương pháp đổi biến số dạng 1
Để giải tích phân bằng phương pháp đổi biến số dạng 1 ta thực hiện các bước sau:
-
Bước 1: Đặt t = u(x) đổi cận ta có:
-
$x = a Rightarrow t = u(a) = a’$
-
Hoặc $x = b Rightarrow t = u(b) = b’$
-
Bước 2: Tìm vi phân dt = u'(x)dx
-
Bước 3: Biến đổi f(x)dx thành g(t)dt
-
Bước 4: Tích phân $int^{b}_{a}f(x)dx=int^{b’}_{a’}g(t)dt$
Ví dụ: Tính tích phân sau đây:
a) $int^{frac{π}{2}}_{0}sin^{2}x cos^{3}xdx$
b) $int^{efrac{π}{2}}_{0}frac{cos(Inx)}{x}dx$
Giải:
3.2. Phương pháp đổi biến số dạng 2
Để giải tích phân bằng phương pháp đổi biến số dạng 2 ta thực hiện các bước sau:
-
Bước 1: Đặt x = u(t) đổi cận ta có:
$x = a Rightarrow t = a’$ hoặc $x = b Rightarrow t = b’$
-
Bước 2: Tìm vi phân hai vế dx = u'(t)dt
-
Bước 3: Biến đổi $f(x)dx = f(u)(t)).u'(t)dt = g(t)dx$
-
Bước 4: Tính tích phân theo công thức $int^{b}_{a}f(x)dx = int^{b’}_{a’}g(t)dt$
Ví dụ: Tính tích phân: $I = int^{2}_{1}x^{2}sqrt{4-x^{2}}dx$
Giải:
4. Các bài tập về phương pháp đổi biến số giải nguyên hàm, tích phân
Để nắm chắc kiến thức, các em hãy tham khảo những bài tập về phương pháp đổi biến số nguyên hàm, tích phân dưới đây nhé!
Ví dụ 1: Tính nguyên hàm sau: $int frac{2sinx}{1+3cosx}dx$
Giải:
Ví dụ 2: Tính nguyên hàm sau $int frac{In^{2}x-1}{xInx}dx$
Giải:
Ví dụ 3: Tính nguyên hàm sau: $int xe^{x^{2}}dx$
Giải:
Ví dụ 4: Tính nguyên hàm $int frac{e^{tanx}}{cos^{2}x}dx$
Giải:
Ví dụ 5: Tìm nguyên hàm $int frac{x}{(2x+1)^{3}}$
Giải:
Ví dụ 6: Tính tích phân $I=int^{1}_{0}frac{1}{1+x^{2}}dx$
Giải:
Ví dụ 7: Tính tích phân $I=int^{1}_{0}sqrt{1-x^{2}}dx$
Giải:
Ví dụ 8: Tính tích phân của $I=int_{0}^{1}x^{5}(1-x^{3})^{6}dx$
Giải:
Ví dụ 9: Tính tích phân $I=int^{0}_{-1}x^{2}(1-x)^{9}dx$
Giải:
Ví dụ 10: Tính tích phân $I=int^{1}_{0}(1+3x)(1+2x+3x^{2})^{10}dx$
Giải:
Đăng ký ngay để được các thầy cô tư vấn và xây dựng lộ trình ôn thi THPT Quốc gia sớm phù hợp và đạt hiệu quả cao nhất
Trên đây là toàn bộ kiến thức về tích phân, nguyên hàm bằng phương pháp biến đổi biến số và các dạng bài thường gặp. Hy vọng rằng qua bài viết trên, các em có thể tự tin làm bài tập khi sử dụng phương pháp đổi biến số. Để học nhiều hơn kiến thức về toán học lớp 12, truy cập trang web Vuihoc.vn ngay nhé!
Tham khảo thêm:
⭐Bộ Sách Thần Tốc Luyện Đề Toán – Lý – Hóa THPT Có Giải Chi Tiết
>> XEM THÊM:
- Các dạng tích phân hàm ẩn cơ bản và bài tập vận dụng
- Tích Phân Từng Phần: Phương Pháp Tính, Ví Dụ Và Bài Tập Minh Họa





