Tài Liệu Học Tập
No Result
View All Result
  • Đề Thi
  • Lớp 12
    • Lịch Sử Lớp 12
    • Địa Lí Lớp 12
    • Ngữ Văn Lớp 12
    • GD KTPL Lớp 12
    • Toán Lớp 12
    • Tiếng Anh Lớp 12
    • Hóa Học Lớp 12
    • Sinh Học Lớp 12
    • Vật Lí Lớp 12
  • Lớp 11
    • Toán Lớp 11
    • Ngữ Văn Lớp 11
    • Tiếng Anh Lớp 11
    • Hóa Học Lớp 11
    • Sinh Học Lớp 11
    • Vật Lí Lớp 11
    • Lịch Sử Lớp 11
    • Địa Lí Lớp 11
    • GDCD Lớp 11
  • Lớp 10
    • Toán Lớp 10
    • Ngữ Văn Lớp 10
    • Tiếng Anh Lớp 10
    • Hóa Học Lớp 10
    • Sinh Học Lớp 10
    • Vật Lí Lớp 10
    • Lịch Sử Lớp 10
    • Địa Lí Lớp 10
    • GDKTPL Lớp 10
    • Công nghệ lớp 10
    • Tin Học Lớp 10
  • Lớp 9
    • Toán Lớp 9
    • Ngữ Văn Lớp 9
    • Tiếng Anh Lớp 9
    • Lịch sử và địa lý lớp 9
    • Khoa Học Tự Nhiên Lớp 9
    • GDCD Lớp 9
  • Lớp 8
    • Toán Lớp 8
    • Ngữ Văn Lớp 8
    • Tiếng Anh Lớp 8
    • Lịch sử và địa lý lớp 8
    • Khoa Học Tự Nhiên Lớp 8
    • GDCD 8
  • Lớp 7
    • Toán Lớp 7
    • Văn Lớp 7
    • Tiếng Anh Lớp 7
    • Lịch Sử Và Địa Lí Lớp 7
    • Khoa Học Tự Nhiên Lớp 7
  • Lớp 6
    • Toán Lớp 6
    • Văn Lớp 6
    • Tiếng Anh lớp 6
    • Lịch Sử và Địa Lí Lớp 6
    • Khoa Học Tự Nhiên lớp 6
  • Lớp 5
    • Toán lớp 5
    • Tiếng Việt Lớp 5
    • Tiếng Anh Lớp 5
    • Lịch Sử và Địa Lí Lớp 5
  • Lớp 4
    • Toán lớp 4
    • Tiếng Việt Lớp 4
    • Tiếng Anh Lớp 4
    • Lịch Sử và Địa Lí Lớp 4
  • Lớp 3
    • Toán lớp 3
    • Tiếng Anh Lớp 3
    • Tiếng Việt Lớp 3
  • Mẹo Hay
  • Tin tức
  • Liên Hệ
Tài Liệu Học Tập
No Result
View All Result
Home Toán tổng hợp

Tích Phân Hàm Ẩn: Lý Thuyết Và Bài Tập Vận Dụng Từ Cơ Bản Đến Nâng Cao

by Tranducdoan
09/01/2026
in Toán tổng hợp
0
Đánh giá bài viết

Mục Lục Bài Viết

  1. 1. Tích phân hàm ẩn là gì?
  2. 2. Các dạng tích phân hàm ẩn cơ bản và ví dụ
    1. 2.1. Dạng 1: Áp dụng các quy tắc và đạo hàm của hàm số hợp
    2. 2.2. Dạng 2: Phương pháp đổi biến số
    3. 2.3. Dạng 3: Phương pháp từng phần
    4. 2.4. Dạng 4: Phương trình vi phân tuyến tính cấp 1
  3. 3. Một số bài tập vận dụng tính tích phân hàm ẩn từ cơ bản đến nâng cao và phương pháp giải

1. Tích phân hàm ẩn là gì?

Trong chương trình toán 12, các bạn học sinh sẽ được làm quen với dạng bài về tích phân hàm ẩn. Vậy chúng ta hiểu tích phân hàm ẩn là gì? Hãy cùng đi tìm hiểu về khái niệm của bài toán này nhé.

Tích phân hàm ẩn chính là dạng tích phân mà hàm số sẽ bị ẩn đi. Hàm số đó sẽ không được biểu diễn dưới dạng là một công thức. Tích phân hàm ẩn được suy ra từ tính chất nguyên hàm của hàm số:

$int f'(x)dx – f(x) + C$

Trong công thức trên, chúng ta chưa biết hệ số tự do C, sẽ biết f'(x) (hàm số bị ẩn ở trong f'(x)) nhưng sẽ biết một vài giá trị của f(x). Bài toán yêu cầu ta tính một vài giá trị khác nào đó của f(x).

Để làm được dạng toán tích phân hàm ẩn, ta có thể sử dụng hai cách như sau:

  • Nếu hàm số đã cho có tích phân trên đoạn [a;b] thì ta sử dụng công thức tích phân để tính giá trị.

  • Sử dụng các tính chất và định nghĩa của nguyên hàm để xác định f(x) + C. Sau đó để xác định hệ số tự do C, ta sử dụng các giá trị đã biết của f(x). Tiếp theo ta sẽ tính các giá trị cần tìm.

2. Các dạng tích phân hàm ẩn cơ bản và ví dụ

Dưới đây là một số dạng tích phân hàm ẩn thường gặp trong quá trình làm bài tập đi kèm với các ví dụ vận dụng.

2.1. Dạng 1: Áp dụng các quy tắc và đạo hàm của hàm số hợp

1. Nếu u = u(x) và v = v(x) thì (uv)’ = u’v + uv’

Nếu $f(x) . g(x)’ = h(x)$ thì $f(x) . g(x) int h(x)dx$

2. Nếu u = u(x) và v = v(x) thì $(frac{u}{v})’ = frac{u’v – uv’}{v^{2}}$ với $v neq 0$

Nếu $(frac{f(x)}{g(x)})’ = h(x)$ thì $frac{f(x)}{g(x)} = int h(x)dx$

3. Nếu u = u(x) thì $(sqrt{u})’ = frac{u’}{2u}$ với u > 0

Nếu $[sqrt{f(x)}]′ = h(x)$ thì $f(x) = int h(x) dx$

4. Nếu u = u(x) thì $(e^{u})’ = u’ . e^{u}$

Nếu $(e^{f(x)})’ = g(x)$ thì $e^{f(x)} = int g(x)dx$

5. Nếu u = u(x) nhận giá trị dương trên K thì $[ln⁡u]′ = frac{u’}{u}$ trên K.

Nếu [ln⁡(f(x))]′ = g(x) thì $ln(f(x)) = int g(x)dx$

Ví dụ 1: Cho hàm số f(x) có đạo hàm trên $(0, +propto)$ liên tục. Điều kiện thỏa mãn $f(1) = 3, x(4-f’(x)) = f(x)-1 forall x > 0$. Tính f(2).

Giải:

Từ giả thiết chúng ta có $x(4 – f’(x)) = f(x) – 1 Rightarrow xf’(x) + f(x) = 4x + 1$

Lại có $f(1) = 3 Rightarrow C = 0 Rightarrow f(x) = 2x + 1 Rightarrow f(2) = 5$

Ví dụ 2: Hàm số f(x) có đạo hàm liên tục trên $(-1, +propto)$. Hàm số thỏa mãn $2f(x) + (x^{2} – 1)f'(x) = frac{x^{3} + 2x^{2} + x}{sqrt{x^{3}+3}} forall x epsilon (-1, +propto)$. Tính f(0).

Giải:

Lại có (*) thỏa mãn $forall x epsilon (-1,+propto)$ nên thay x = 1 vào (*) ta có C = 2

$Rightarrow frac{x-1}{x+1}, f(x) = sqrt{x^{2} + 3} – 2$. Do đó $f(0) = 2 – sqrt{3}$

Tham khảo ngay bộ tài liệu tổng hợp kiến thức và hướng dẫn phương pháp giải mọi dạng bài tập xuất hiện trong đề thi Toán THPT Quốc gia

tich phan ham an

2.2. Dạng 2: Phương pháp đổi biến số

Phương pháp đổi biến dạng 1: Cho $int_{a}^{b} u'(x) . f[u(x)]dx$. Tính $int{f(x)dx}$.

Hoặc cho hàm $int_{a}^{b} f(x)dx$. Tính $int_{a}^{b} u'(x) . f[u(x)]dx$.

Phương pháp đổi biến dạng 2: Tính $int_{a}^{b} f(x)dx$ , biết hàm số f(x) thỏa mãn $A . f(x) + B . u’ . f(u) + C . f(a + b – x) – g(x)$ Phương pháp đổi biến dạng 3: Đặt t = u(x) và t = v(x) để giải hệ phương trình hai ẩn sau đó suy ra hàm số f(x) Phương pháp đổi biến dạng 4: Cho $f(x) . f(a + b – x) = k^{2}$. Lúc này $I = int_{a}^{b} frac{dx}{k+f(x)} = frac{b – a}{2k}$ Phương pháp đổi biến dạng 5: Cho hàm số y = f(x) thỏa mãn g [f(x)=x] và g(t) là hàm đơn điệu. Tính tích phân $I = int_{a}^{b} f(x)dx$

Ví dụ 1: Tính $int_{0}^{2} f(2x)dx$. Biết $int_{0}^{4} f(x)dx = 16$

Giải:

Xét tích phân $int_{0}^{2} f(2x)dx$. Đặt $2x = t Rightarrow dx = frac{1}{2}dt$. Khi x = 0 thì t = 0, khi x = 2 thì t = 4

Do đó:

Ví dụ 2: Cho hàm số f(x) liên tục trên R, thỏa mãn điều kiện $int_{1}^{16} frac{f(sqrt{x})}{sqrt{x}}dx = 6$ và $int{0}{frac{pi}{2}} f(sinx)cosx dx = 3$. Hãy tìm tích phân $int_{0}^{4}f(x)dx$

Giải:

Xét: $I= int_{1}^{16} frac{f(sqrt{x})}{sqrt{x}}dx = 6$, đặt $sqrt{x} = t Rightarrow frac{dx}{2sqrt{x}} = dt$

Đổi cận: x = 1

$Rightarrow t = 1, x = 16 Rightarrow t = 4$ nên $I = 2int_{1}^{4}f(t)dt = 6 Rightarrow int_{1}^{4}f(t)dt – frac{6}{2} = 3$

$J = int_{0}^{frac{pi}{2}}f(sinx)cosxdx = 3$, đặt $sin x = u Rightarrow cosxdx = du$

Đổi cận:

$x=0 Rightarrow u = 0, x = frac{pi}{2} = 1 Rightarrow J = int_{0}^{1}f(u)du = 3$

$I = int_{0}^{4}f(x)dx = int_{0}^{1}f(x)dx + int_{1}^{4}f(x)dx = 3+ 3 = 6$

>> Tham khảo thêm: Tính tích phân, nguyên hàm bằng phương pháp đổi biến số

2.3. Dạng 3: Phương pháp từng phần

Phương pháp tích phân từng phần với hàm ẩn thường áp dụng cho những bài toán mà trong giả thiết hoặc kết luận có một trong các tích phân sau: $int_{a}^{b}$

$u(x) . f′(x)dx$ hoặc $int_{a}^{b}u'(x) . f(x)dx$

Ví dụ 1: Hàm số f(x) thỏa mãn $int_{0}^{1}(x+1)f'(x)dx = 10$. Và có $2f(1) – f(0) = 2$. Vậy $I = int_{0}^{1}f(x)dx$ bằng bao nhiêu?

Giải:

$A = int_{0}^{1}(x+1)f'(x)dx$. Đặt $u = x + 1 Rightarrow du = dx, dv = f'(x)$, chọn $v = f(x)$

$A = (x + 1) . f(x)|_{0}^{1} – int_{0}^{1}f(x)dx = 2f(1) – f(0) – int_{0}^{1}f(x)dx = 2 – int_{0}^{1}f(x)dx = 10 Rightarrow int_{0}^{1} f(x)dx = -8$

2.4. Dạng 4: Phương trình vi phân tuyến tính cấp 1

Bài toán tích phân liên quan đến biểu thức f’(x)+p(x).f(x)=h(x)

Ví dụ 1: Tính giá trị của f(1) biết hàm số f(x) thỏa mãn f(0) = 4 và f(x) + f’(x) = x3, $forall x epsilon R$

Giải:

Từ giả thiết chúng ta có:

$e^{x}f(x) + e^{x}f'(x) = x^{3}e^{x} Rightarrow [e^{x}f(x)]’ = x^{3}e^{x} Rightarrow e^{x}f(x) = int x^{3}e^{x}dx$

$Rightarrow e^{x} f(x) = x^{3} e^{x} – 3int x^{2} e^{x}dx = x^{3} e^{x} – 3x^{2}e^{x} + 6int xe^{x}dx = x^{3} e^{x} – 3x^{2} e^{x} +6(x – 1)e^{x} + C$

$f(0) = 4 Rightarrow C=10 Rightarrow f(x) = x^{3} -3^{2} + 6x – 6 + frac{10}{e^{x}} Rightarrow f(1) = -2 + frac{10}{e}$

Ví dụ 2:

Tính $A = int_{0}^{1}f(x)dx$ biết f(x) thỏa mãn

$f(1) = frac{9}{e}$ và $f'(x) + 3x^{2}f(x) = (15x^{4} + 12x)e^{-x^{3}}$, với mọi x thuộc R

Giải:

3. Một số bài tập vận dụng tính tích phân hàm ẩn từ cơ bản đến nâng cao và phương pháp giải

Bài tập tích phân hàm ẩn có đầy đủ từ dạng cơ bản đến nâng cao, đòi hỏi các bạn học sinh cần nắm chắc kiến thức để áp dụng vào bài tập. Cùng theo dõi một số bài tập vận dụng về tích phân hàm ẩn cùng lời giải để hiểu bài thật tốt nhé.

Bài 1: Hàm số f(x) thỏa mãn $f(2)=frac{-2}{9}. f’(x)=2x[f(x)]^{2}, forall x epsilon R$. Tính giá trị của f(1).

Giải:

$f'(x) = 2x[f(x)]^{2} Rightarrow frac{f'(x)}{[f(x)]^{2}} = 2x Rightarrow int_{1}^{2} frac{f'(x)}{[f(x)]^{2}}dx = int_{1}^{2}2xdx = 3 Leftrightarrow -frac{1}{f(x)}mid _{1}^{2} = 3$

$Leftrightarrow f(1) = frac{-2}{3}$

Bài 2: Hàm số f(x) thỏa mãn $f(2)=frac{-1}{3}. f’(x)=x[f(x)]^{2}, forall x epsilon R$. Tính giá trị của f(1)

Giải:

$f'(x) = x[f(x)]^{2} Rightarrow frac{f'(x)}{[f(x)]^{2}} = x Rightarrow int_{1}^{2} frac{f'(x)}{[f(x)]^{2}}dx = int_{1}^{2}2xdx = frac{3}{2} Leftrightarrow -frac{1}{f(x)}mid _{1}^{2} = 3 Leftrightarrow f(1) = frac{-2}{3}$

Bài 3: $int_{2}^{5}f(x)dx = 10$. Tính $int_{5}^{2}[2 – 4f(x)]dx$

Giải:

$int_{5}^{2}[2-4f(x)]dx = 2int_{5}^{2}dx – 4int_{5}^{2}f(x)dx = -2x|_{2}^{5} + 4int_{2}^{5}f(x)dx = -2.(5 – 2) + 4 . 10 = 34$

Bài 4: Cho hàm số f(x) liên tục trên R và F(x) là nguyên hàm của f(x). Biết F(0) = 3 và $int_{0}^{9}f(x)dx = 9$. Tính F(9)

Giải:

Bài 5: Cho hàm số f(x) xác định trên R ngoại trừ 0, thỏa mãn $f’(x) = frac{1}{x^{3} + x^{5}}$. f(-2) = b và f(1) = a. Tính f(-1) + f(2)

Giải:

Có: $f’(-x)=frac{1}{(-x)^{3}+(-x)^{5}}=frac{1}{x^{3}+x^{5}}=-f(x)$ nên f'(x) là hàm số lẻ

$int_{-2}^{2} f'(x)dx = 0 Leftrightarrow int_{-2}^{-1}f'(x)dx = -int_{1}^{2}f'(x)dx$ $f(-1) – f(-2)=-f(2)+f(1)Rightarrow f(-1) – f(2)=f(-2)+f(1)=a+b$

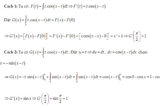
Bài 6: Cho hàm số $G(x) = int_{0}^{x}t.cos(x-t)dt$. Tính $G’(frac{pi}{2})$

Giải:

Giải bài tập tích phân hàm ẩn

Bài 7: Cho hàm số y=f(x) có đạo hàm trên R thỏa mãn điều kiện:

Tính $int_{0}^{1}f(x – 1)dx$

Giải:

Lấy đạo hàm theo hàm số y

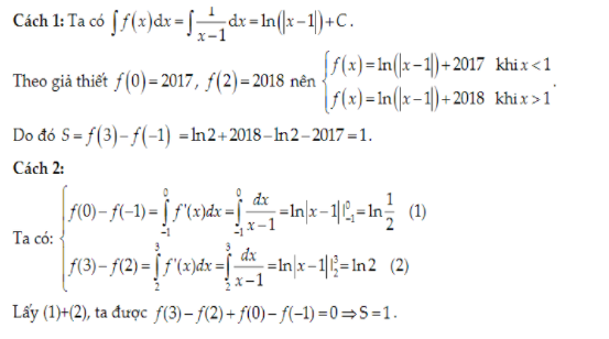
Bài 8: Cho hàm số f(x) xác định trên R ngoại trừ 1. $f’(x) = frac{1}{x – 1}, f(2) = 2018, f(0) = 2017$. Tính $f(3) – f(-1)$

Giải:

Giải bài tập giải tích phân hàm ẩn

Đặc biệt, thầy Trung đã có bài giảng về tích phân hàm ẩn cực nhanh với tip giải 10s, các em đừng bỏ lỡ video bài giảng của thầy dưới đây nhé!

Đăng ký ngay để được các thầy cô tư vấn và xây dựng lộ trình ôn tập kiến thức thi THPT Quốc Gia sớm phù hợp nhất với bản thân

tich phan ham an 1

Trên đây là toàn bộ kiến thức cơ bản và tổng hợp đầy đủ các dạng bài tập về tích phân hàm ẩn. Hy vọng rằng sau bài viết các em học sinh sẽ có thể áp dụng công thức để giải các bài tập một cách dễ dàng. Để học và ôn tập kiến thức toán lớp 12 ôn thi đại học, hãy truy cập Vuihoc.vn và đăng ký khóa học ngay từ hôm nay nhé!

Tham khảo thêm:

⭐Bộ Sách Thần Tốc Luyện Đề Toán – Lý – Hóa THPT Có Giải Chi Tiết

>> XEM THÊM:

  • Cách tính tích phân hàm lượng giác chi tiết và bài tập
  • Công thức nguyên hàm Inx và cách giải các dạng bài tập
  • Công thức và cách tìm nguyên hàm của hàm số mũ, hàm số logarit
Previous Post

2k8 năm nay lớp mấy, năm nào thi đại học?

Next Post

Làm Xong hay Làm Song đúng chính tả?

Tranducdoan

Tranducdoan

Trần Đức Đoàn sinh năm 1999, anh chàng đẹp trai đến từ Thái Bình. Hiện đang theo học và làm việc tại trường cao đẳng FPT Polytechnic

Next Post

Làm Xong hay Làm Song đúng chính tả?

thời tiết miền bắc đọc sách online cm88 Socolive trực tiếp https://p789bet.biz/ cm88 com sumclub https://theaquaverse.io/17 socolive Bom88 tic88 f168 https://mb66.black/ https://ok9.watch/
Tài Liệu Học Tập

Copyright © 2022 Tài Liệu Học Tập.

Chuyên Mục

  • Đề Thi
  • Lớp 12
  • Lớp 11
  • Lớp 10
  • Lớp 9
  • Lớp 8
  • Lớp 7
  • Lớp 6
  • Lớp 5
  • Lớp 4
  • Lớp 3
  • Mẹo Hay
  • Tin tức
  • Liên Hệ

Tham Gia Group Tài Liệu Học Tập

No Result
View All Result
  • Đề Thi
  • Lớp 12
    • Lịch Sử Lớp 12
    • Địa Lí Lớp 12
    • Ngữ Văn Lớp 12
    • GD KTPL Lớp 12
    • Toán Lớp 12
    • Tiếng Anh Lớp 12
    • Hóa Học Lớp 12
    • Sinh Học Lớp 12
    • Vật Lí Lớp 12
  • Lớp 11
    • Toán Lớp 11
    • Ngữ Văn Lớp 11
    • Tiếng Anh Lớp 11
    • Hóa Học Lớp 11
    • Sinh Học Lớp 11
    • Vật Lí Lớp 11
    • Lịch Sử Lớp 11
    • Địa Lí Lớp 11
    • GDCD Lớp 11
  • Lớp 10
    • Toán Lớp 10
    • Ngữ Văn Lớp 10
    • Tiếng Anh Lớp 10
    • Hóa Học Lớp 10
    • Sinh Học Lớp 10
    • Vật Lí Lớp 10
    • Lịch Sử Lớp 10
    • Địa Lí Lớp 10
    • GDKTPL Lớp 10
    • Công nghệ lớp 10
    • Tin Học Lớp 10
  • Lớp 9
    • Toán Lớp 9
    • Ngữ Văn Lớp 9
    • Tiếng Anh Lớp 9
    • Lịch sử và địa lý lớp 9
    • Khoa Học Tự Nhiên Lớp 9
    • GDCD Lớp 9
  • Lớp 8
    • Toán Lớp 8
    • Ngữ Văn Lớp 8
    • Tiếng Anh Lớp 8
    • Lịch sử và địa lý lớp 8
    • Khoa Học Tự Nhiên Lớp 8
    • GDCD 8
  • Lớp 7
    • Toán Lớp 7
    • Văn Lớp 7
    • Tiếng Anh Lớp 7
    • Lịch Sử Và Địa Lí Lớp 7
    • Khoa Học Tự Nhiên Lớp 7
  • Lớp 6
    • Toán Lớp 6
    • Văn Lớp 6
    • Tiếng Anh lớp 6
    • Lịch Sử và Địa Lí Lớp 6
    • Khoa Học Tự Nhiên lớp 6
  • Lớp 5
    • Toán lớp 5
    • Tiếng Việt Lớp 5
    • Tiếng Anh Lớp 5
    • Lịch Sử và Địa Lí Lớp 5
  • Lớp 4
    • Toán lớp 4
    • Tiếng Việt Lớp 4
    • Tiếng Anh Lớp 4
    • Lịch Sử và Địa Lí Lớp 4
  • Lớp 3
    • Toán lớp 3
    • Tiếng Anh Lớp 3
    • Tiếng Việt Lớp 3
  • Mẹo Hay
  • Tin tức
  • Liên Hệ

Copyright © 2022 Tài Liệu Học Tập.