Kỳ thi THPT đang đến rất gần, và để đạt điểm cao môn toán thì đòi hỏi các bạn thí sinh cần nằm lòng tất cả những công thức toán học. Chúng tôi biết rằng điều này không hề dễ dàng. Vậy nên, chúng tôi xin gửi tới các bạn thí sinh danh sách tổng hợp những công thức, kiến thức toán thi THPT Quốc gia dưới đây!
Bài viết tham khảo thêm:
- Hướng dẫn ôn thi THPT môn Toán đạt hiệu quả cao
- Cấu trúc đề thi THPT Quốc gia môn Toán năm 2023
- Đề thi thử THPT Quốc gia môn toán năm 2023
I. TỔNG HỢP KIẾN THỨC TOÁN THI THPT QUỐC GIA
CHƯƠNG 1. Hàm số/ đồ thị của hàm số – Những bài toán liên quan đến hàm số
1) Tính đơn điệu của hàm số.
2) Cực trị của hàm số: hàm bậc ba, hàm bậc bốn trùng phương, cực trị hàm hợp.
3) Giá trị nhỏ nhất – Giá trị lớn nhất của hàm số.
4) Những đường tiệm cận của đồ thị của hàm số là: Đường tiệm cận ngang, đường tiệm cận đứng.
5) Khảo sát sự biến thiên và vẽ đồ thị của hàm số.
6) Những bài toán về tiếp tuyến về đồ thị của hàm số.
7) Những bài toán về tương giao đồ thị của hàm số: tương giao đồ thị của hàm hợp.
8) Điểm đặc biệt của họ đường cong trong đồ thị của hàm số.
CHƯƠNG 2. Hàm số mũ và hàm số logarit
1) Lý thuyết về lũy thừa và hàm số của lũy thừa. Đạo hàm của hàm số có mũ.
2) Công thức logarit và hàm số logarit. Đạo hàm của hàm số logarit.
3) Bất phương trình – phương trình mũ và logarit.
4) Bài toán tính lãi suất ngân hàng: tiền gửi, tiền lãi và tiền lời.
CHƯƠNG 3. Nguyên hàm – Tích phân
1) Khái niệm nguyên hàm – Những công thức tính nguyên hàm cơ bản.
2) Những phương pháp để tính được nguyên hàm.
3) Khái niệm và ý nghĩa của tích phân.
4) Một số phương pháp đặc sắc để tính tích phân.
5) Tích phân những hàm số cơ bản.
6) Ứng dụng của tích phân ở trong bài toán tính diện tích, thể tích của vật thể.
CHƯƠNG 4. Số phức
1) Khái niệm và ý nghĩa của số phức.
2) Phép toán trên số phức.
3) Phương trình bậc hai với hệ số thực – Phương trình bậc hai với hệ số phức.
4) Biểu diễn số phức ở trên hệ trục tọa độ Oxy.
5) Bài toán min, max của số phức.
CHƯƠNG 5. Khối đa diện
1) Khái niệm về khối đa diện và về hình đa diện.
2) Một số loại khối đa diện thường được gặp.
3) Thể tích khối đa diện.
4) Một số công thức để tính diện tích ứng dụng trong bài toán tính thể tích.
5) Những công thức tính nhanh thể tích của khối đa diện.
6) Những công thức để tính nhanh khoảng cách và góc ở trong không gian.
CHƯƠNG 6. Khối nón – Khối trụ – Khối cầu
1) Khái niệm khối nón và những công thức để tính thể tích, diện tích của khối nón.
2) Khái niệm khối trụ và những công thức để tính thể tích, diện tích của khối trụ.
3) Khái niệm khối cầu và những công thức để tính thể tích, diện tích của khối cầu.
4) Tổng hợp những công thức liên quan đến khối tròn xoay.
CHƯƠNG 7. Hệ trục tọa độ trong không gian – Hình học giải tích Oxyz
1) Hệ tọa độ ở trong không gian – Vectơ – Tọa độ điểm ở trong không gian.
2) Phương trình tính mặt phẳng và những bài toán viết phương trình của mặt phẳng.
3) Những phương pháp viết phương trình đường thẳng ở trong không gian.
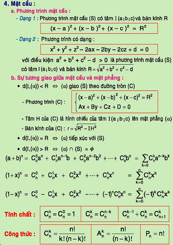
4) Phương trình tính mặt cầu. Cách tính bán kính của mặt cầu.
5) Những bài toán vận dụng cao tính cực trị ở trong không gian.
II. TOÀN BỘ CÔNG THỨC TOÁN HỌC ÔN THI THPT QUỐC GIA
PHẦN I: ĐẠI SỐ
1) Tam thức bậc 2
2) Bất đẳng thức Cauchy
3) Cấp số cộng
4) Cấp số nhân
5) Bất phương trình, phương trình có chứa dấu giá trị tuyệt đối
6) Bất phương trình, phương trình có chứa căn
7) Bất phương trình, phương trình logarit
8) Bất phương trình, phương trình mũ
9) Lũy thừa
10) Logarit



PHẦN II. LƯỢNG GIÁC
Bao gồm 3 chuyên đề lớn
1) Công thức lượng giác
2) Phương trình lượng giác
3) Hệ thức lượng trong tam giác





PHẦN III. ĐẠO HÀM – TÍCH PHÂN – HÌNH HỌC – NHỊ THỨC NEWTON
1) Đạo hàm
2) Bảng các nguyên hàm
3) Diện tích hình phẳng – Thể tích vật thể tròn xoay
4) Phương pháp tọa độ trong mặt phẳng
5) Phương pháp tọa độ trong không gian
6) Nhị thức Newton








Trên đây là toàn bộ công thức, kiến thức toán thi THPT Quốc gia mà chúng tôi muốn gửi tới các bạn học sinh. Chúng tôi biết rằng những công thức này đóng vai trò rất quan trọng trong quá trình học tập và thi cử của các bạn. Vậy nên các bạn cần phải học thuộc chúng và áp dụng vào thật nhiều dạng bài tập khác nhau để nhuần nhuyễn, thuần thục hơn nhé!