
Description: Treatment of alkenes with bromine (Br2) gives vicinal dibromides (1,2-dibromides).
Notes: The bromines add to opposite faces of the double bond (“anti addition”). Sometimes the solvent is mentioned in this reaction – a common solvent is carbon tetrachloride (CCl4). CCl4 actually has no effect on the reaction, it’s just to distinguish this from the reaction where the solvent is H2O, in which case a bromohydrin is formed (see also).
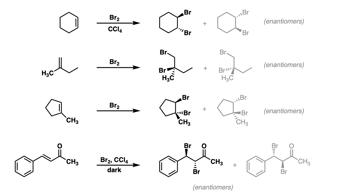
Notes: Again note that in the first example CCl4 is merely the solvent and in these cases has no effect on the reaction (unlike when water or alcohols are the solvent – see bromohydrin formation page). Sometimes “dark” is mentioned to distinguish this reaction from cases where Br2 can promote bromination through a radical pathway.
Mechanism:
Attack of the alkene on bromine (Step 1, arrows A and B) gives the bromonium ion, which is attacked at the backside by bromide ion to give the trans-dibromo product. Note that the bromines are delivered to opposite sides of the alkene (“anti” addition).

Notes: Note that a 1:1 mixture of enantiomers will be formed in this reaction. The enantiomer formed will depend on which face of the alkene the bromine adds to.
Additional examples:

These examples show what happens when a chiral center is already present on the molecule; a mixture of diastereomers is obtained. The bottom example looks complicated, but actually isn’t – we’re still just breaking C-C, and forming two C-Br bonds, just as with any other alkene. Try not to get freaked out by all the additional atoms in the molecule! (There are chiral centers in the starting material, so again we’re forming a mixture of diastereomers).
Quiz Yourself!
Exam-Type Examples
(Advanced) References and Further Reading:
- First example The Halogenation of Ethylenes Irving Roberts and George E. Kimball Journal of the American Chemical Society 1937 59 (5), 947-948 DOI:10.1021/ja01284a507 One of the earliest descriptions in the literature of a three-membered bromonium ion, accounting for the anti stereochemistry of this reaction.
- Mechanistic studies The question of reversible formation of bromonium ions during the course of electrophilic bromination of olefins. 2. The crystal and molecular structure of the bromonium ion of adamantylideneadamantane Slebocka-Tilk, R. G. Ball, and R. Stan Brown Journal of the American Chemical Society 1985 107 (15), 4504-4508 DOI: 10.1021/ja00301a021 This paper describes the crystal structure of an isolated, stable bromonium ion. This is significant because it proves the intermediacy of these three-membered cyclic bromonium ions in the electrophilic addition of bromine to alkenes.
- Reference To An Experimental Procedure Rufine Akué-Gédu and Benoît Rigo Org. Synth. 2005, 82, 179 DOI: 10.15227/orgsyn.082.0179
Real Life Examples:
Org. Synth. 1932, 12, 26
DOI Link: 10.15227/orgsyn.012.0026
Org. Synth. 1938, 18, 17
DOI Link: 10.15227/orgsyn.018.0017
Org. Synth. 1932, 12, 36
DOI Link: 10.15227/orgsyn.012.0036
Org. Synth. 1947, 27, 5
DOI Link: 10.15227/orgsyn.027.0005
Org. Synth. 1955, 35, 43
DOI Link: 10.15227/orgsyn.035.0043
Org. Synth. 1957, 37, 77
DOI Link: 10.15227/orgsyn.037.0077
Org. Synth. 1952, 32, 104
DOI Link: 10.15227/orgsyn.032.0104
Org. Synth. 1952, 32, 104
DOI Link: 10.15227/orgsyn.032.0104
Org. Synth. 1952, 32, 104
DOI Link: 10.15227/orgsyn.032.0104