1. Khái niệm phenol
1.1 Khái niệm
Phenol là những hợp chất hữu cơ mà trong phân tử có chứa nhóm -OH liên kết trực tiếp với nguyên tử carbon trên vòng benzene.
Hợp chất phenol đơn giản nhất sẽ có công thức là C6H5OH hay còn có tên gọi riêng chính là phenol. Dưới đây là tên thông thường của một số các hợp chất phenol:

1.2 Đặc điểm cấu tạo
Trong phân tử phenol, do có sự ảnh hưởng của vòng benzene nên liên kết C-H trong hợp chất phenol phân cực rất mạnh khi so sánh với alcohol, vì thế mà phenol cũng có tính acid yếu.

1.3 Phân loại
– Những hợp chất phenol ở trong phân tử có chứa một nhóm -OH thuộc loại monophenol. Ví dụ:
– Những hợp chất phenol mà trong phân tử có chứa nhiều nhóm -OH thì thuộc loại polyphenol. Ví dụ:
Chú ý: Với những trường hợp sau này, nếu không nói thêm thông tin, thì coi chất “phenol” là chất cụ thể với công thức là C6H5OH.
Cán đích 9+, bộ sách hé lộ cách học hóa nhanh và hiệu quả nhất của các học sinh trường chuyên nổi tiếng trên cả nước.

2. Tính chất vật lý của phenol
– Ở điều kiện thường, phenol là một chất rắn, không màu và nóng chảy ở nhiệt độ 43oC.
– Phenol có nhiệt độ sôi và nhiệt độ nóng chảy cao hơn so với các aryl halide có phân tử khối tương đương vì chúng có thể tạo được liên kết hydrogen giữa các phân tử.
– Phenol ít tan ở trong nước lạnh (dù đã tạo được liên kết hydrogen với các phân tử nước), tan vô hạn ở nhiệt độ 66oC và tan tốt nhất ở trong những dung môi hữu cơ.
– Phenol rất dễ bị chảy rữa, vô cùng độc hại và dễ gây ra bỏng khi tiếp xúc với da thường vì thế cần phải tuyệt đối cẩn thận khi làm những thí nghiệm liên quan đến phenol.
– Liên kết hydrogen giữa những phân tử phenol (hình a) và giữa phân tử phenol với phân tử nước (hình b) được thể hiện ở hình dưới đây:
3. Tính chất hóa học của phenol
Do ảnh hưởng qua lại của nhóm – OH với vòng benzene, phenol có thể tham gia phản ứng thế nguyên tử H ở vị trí nhóm – OH (bộc lộ tính acid) và phản ứng thế nguyên tử H trên vòng benzen.
3.1 Tính acid
Phenol bộc lộ tính acid yếu. Dung dịch chứa hợp chất phenol không làm đổi màu của quỳ tím.
a) Tham gia phản ứng với dung dịch NaOH
Phenol ít tan được trong nước, nhưng tan tốt ở trong dung dịch sodium hydroxide vì có xảy ra phản ứng: C6H5OH + NaOH → C6H5ONa + H2O.
b) Tham gia phản ứng với dung dịch sodium carbonat
C6H5OH + Na2CO3 ⇌ C6H5ONa + NaHCO3
Kết luận: Có thể nói tính acid của hợp chất phenol mạnh hơn so với tính acid của alcohol.
3.2 Phản ứng thế nguyên tử H của vòng benzene
a) Phản ứng với dung dịch nước bromine
– Khi nhỏ nước bromine vào dung dịch chứa phenol, hiện tượng xảy ra là thấy xuất hiện kết tủa màu trắng.
Phương trình hoá học như dưới đây:
b) Phản ứng với dung dịch chứa HNO3 đặc
Kết luận: Phản ứng thế nguyên tử H ở trên vòng benzene của phân tử phenol diễn ra dễ dàng hơn so với phản ứng này ở benzene.
Thời điểm vàng để ôn tập thi tốt nghiệp THPT chính là lúc này, nhanh tay đăng ký khóa học DUO 11 để được học và ôn tập sớm cùng các thầy cô của VUIHOC nhé!

4. Ứng dụng và điều chế phenol
a) Ứng dụng:

Phenol mang lại rất nhiều ứng dụng cho cuộc sống bao gồm một số ứng dụng dưới đây:
– Phenol là nguyên liệu giúp sản xuất ra nhựa epoxy và nhựa phenol-formaldehyde, hoặc phẩm nhuộm, thuốc nổ, diệt nấm mốc, chất diệt cỏ,…
– Do có tính diệt khuẩn cho nên phenol được sử dụng rộng rãi làm chất khử trùng hoặc tẩy uế. Thuốc xịt chloraseptic có chứa khoảng 1,4% phenol được sử dụng làm thuốc để chữa đau họng.
b) Điều chế
Trong công nghiệp, phenol được điều chế bằng cách tách từ nhựa than đá hoặc sản xuất ra từ hợp chất cumene như theo sơ đồ dưới đây:
![large C_{6}H_{5}CH(CH_{3})_{2}xrightarrow[H_{2}O,H_{2}SO_{4}]{O_{2}(kk)}C_{6}H_{5}OH + CH_{3}COCH_{3}](https://tailieuhoctap.edu.vn/wp-content/uploads/2026/04/phenol-co-tan-trong-nuoc-khong-4.jpg)
5. Bài tập phenol
Câu 1: Cho ba hợp chất với công thức cấu tạo như sau:

a) Chất nào ở phía trên thuộc loại hợp chất alcohol?
b) Hợp chất (C) mang những đặc điểm cấu tạo như thế nào và điểm khác biệt so với hai hợp chất còn lại là (A) và (B)?
c) Dự đoán về tính chất hoá học của hợp chất (C) so với hợp chất (A) và (B), có khác nhau hay không.
Lời giải:
a) Hợp chất (A) và (B) thuộc vào nhóm alcohol
b) Hợp chất (C) có chứa một nhóm hydroxy liên kết trực tiếp vào nguyên tử carbon của vòng benzene.
c) Do chất (C) có cấu tạo khác với hai chất còn lại nên tính chất hoá học của hợp chất © cũng sẽ có những điểm khác biệt với chất (A) và (B).
Nhóm -OH liên kết trực tiếp vào nguyên tử carbon của vòng benzene, làm cho vòng benzene trở thành một nhóm hút electron, đồng thời làm giảm mật độ electron của nguyên tử oxygen và làm tăng khả năng phân cực của liên kết O-H, cũng làm tăng thêm mật độ electron có trong vòng benzene.
Bài 2: Cho những chất với công thức phân tử như sau: C6H5OH, C6H6CH6, C6H5Cl và có các giá trị của nhiệt độ sôi (không theo trình tự) là 131,7°C; 110,6°C; 181,8°C. Hãy dự đoán xem nhiệt độ sôi nào tương ứng với từng chất phía trên. Giải thích lý do chọn nhiệt độ sôi cho mỗi chất.
Lời giải:
Chất Nhiệt độ sôi (oC) C6H5OH 181,8°C C6H5CH3 110,6°C C6H5Cl 131,7°C
Phân tử của dẫn xuất halogen có phân cực cho nên chúng sẽ có nhiệt độ nóng chảy cao hơn so với các hydrocarbon mà phân tử khối tương đương.
Do có chứa nhóm -OH ở trong phân tử cho nên phenol có thể tạo được liên kết hydrogen giữa các phân tử với nhau làm cho phenol có nhiệt độ sôi cao hơn khi so với các aryl halide mà có phân tử khối tương đương.
=> Nhiệt độ sôi tăng dần theo trình tự: C6H5CH3 < C6H5Cl < C6H5OH
Bài 3: Nhận xét về những đặc điểm cấu tạo của phân tử phenol liên quan đến nhóm chức và gốc hydrocarbon. Từ đó hãy dự đoán về tính chất hoá học của nhóm chức (so sánh với nhóm alcohol) và ở gốc hydrocarbon (so sánh với nhóm benzene).
Lời giải:
Trong phân tử phenol, nhóm -OH đã liên kết trực tiếp vào vòng benzene. Chính nhờ sự liên kết ấy, vòng benzene trở thành một nhóm hút electron, làm giảm đi mật độ electron của nguyên tử oxygen và làm tăng tính phân cực của liên kết O-H (khi so với nhóm phân tử alcohol); đồng thời cũng làm tăng mật độ electron ở trong vòng benzene, nhất là với những vị trí ortho và para.
=> Phenol có thể tham gia vào phản ứng thế nguyên tử H ở nhóm -OH (bộc lộ tính acid) và phản ứng thế của nguyên tử H trên vòng benzene.
Bài 4: Hãy đưa ra những phương trình hoá học nhằm chứng minh được tính acid của các hợp chất phenol mạnh hơn so với alcohol.
Lời giải:
Phenol có khả năng phản ứng với dung dịch base, kim loại kiềm, muối sodium carbonate trong khi các chất thuộc nhóm alcohol chỉ có thể phản ứng được với kim loại kiềm mà không phản ứng được với muối sodium carbonate và dung dịch base.
=> Tính acid được thể hiện ở phenol sẽ mạnh hơn khi so với nhóm alcohol.
PTHH:
C6H5OH + NaOH → C6H5ONa + H2O
C6H5OH + Na2CO3 ⇌ C6H5ONa + NaHCO3
Bài 5: Quan sát và mô tả những hiện tượng xảy ra và giải thích tại sao lại xuất hiện hiện tượng như thế.
a) Thí nghiệm 1: Phản ứng giữa phenol với dung dịch NaOH
Chuẩn bị: Phenol đang tồn tại ở dạng huyền phù, dung dịch NaOH 1M cùng với ống nghiệm.
Tiến hành: Chuẩn bị ra một ống nghiệm có chứa khoảng 1 mL phenol ở dạng huyền phù. Nhỏ dần khoảng 2 mL dung dịch NaOH 1M vào trong ống nghiệm. Sau đó lắc đều ống nghiệm lên.
b) Thí nghiệm 2: Phản ứng giữa phenol với dung dịch Na2CO3
Chuẩn bị: Phenol tồn tại ở dạng huyền phù, dung dịch Na2CO3 1M cùng với ống nghiệm.
Tiến hành: Cho khoảng 1 mL phenol ở dạng huyền phù vào ống nghiệm. Nhỏ dần khoảng 2 mL dung dịch Na2CO3 1M vào trong ống nghiệm. Sau đó lắc đều ống nghiệm lên.
Lời giải:
a) Hiện tượng: dung dịch tồn tại ở dạng huyền phù có màu trắng đục sẽ chuyển dần sang dạng trong suốt.
Giải thích: Phenol đã tan ở trong dung dịch sodium hydroxide và tạo ra dung dịch C6H5ONa trong suốt.
PTHH: C6H5OH + NaOH → C6H5ONa + H2O
b) Hiện tượng: dung dịch đang tồn tại ở dạng huyền phù có màu trắng đục thì dần chuyển sang dạng trong suốt.
Giải thích: Phenol có tính acid mạnh hơn so với nấc hai của carbonic acid cho nên có thể xảy ra phản ứng với muối carbonate.
PTHH: C6H5OH + Na2CO3 ⇌ C6H5ONa + NaHCO3
COMBO sổ tay các môn học được hệ thống theo sơ đồ tư duy, tiết lộ những thủ thuật tính nhanh và tips học bài hiệu quả dành riêng cho các em học sinh THPT của VUIHOC!
Bài 6: Hãy trình bày một số những ứng dụng của phenol mà em biết trong thực tiễn.
Lời giải:
Phenol được sử dụng nhằm điều chế ra những chất kích thích sinh trưởng cho thực vật, kích thích tố thực vật 2,4 – D hoặc điều chế ra chất diệt cỏ. Nhờ vào tính diệt khuẩn cao mà phenol còn được sử dụng như chất sát trùng, và có thể điều chế ra thuốc diệt sâu bọ và diệt nấm mốc. C6H5OH còn là nguyên liệu chính để điều chế ra thuốc nổ, một số sản phẩm có thể dùng để nhuộm. Phenol cũng được sử dụng nhiều ở trong quá trình sản xuất nhựa phenol – formaldehyde.
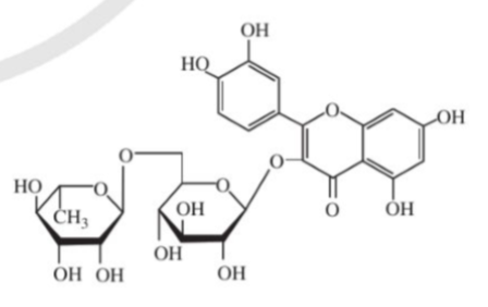
Bài 7: Rutin có chứa nhiều trong hoa hoè. Rutin có vai trò làm bền vững thành mạch, chống phóng xạ tia X, chống co thắt và chống viêm cầu thận cấp. Rutin có công thức phân tử là C27H30O16 và công thức cấu tạo được biểu diễn như hình dưới đây.
a) Phân tử rutin có tất cả bao nhiêu nhóm -OH của alcohol và có bao nhiêu nhóm -OH của phenol?
b) Có 2 phương pháp để tách rutin từ hoa hoè như dưới đây:
-
Phương pháp 1: Xử lý hoa hoè bởi dung dịch sodium hydroxide. Đem lọc, acid hoá phần nước đã lọc và thu được rutin.
-
Phương pháp 2: Chiết rutin ra từ hoa hoè bởi nước nóng rồi để nguội, rutin sẽ tự động tách ra.
Em hãy cho biết từng phương pháp làm trên dựa vào tính chất gì của rutin.
Lời giải:
a) Phân tử rutin có chứa 6 nhóm -OH của alcohol và 4 nhóm -OH của phenol.
b) Các phương pháp nêu trên dựa vào tính chất như sau:
Phương pháp 1: Tính acid và tính tan được trong dung dịch sodium hydroxyl.
Phương pháp 2: Tính tan vô hạn ở trong nước với điều kiện nhiệt độ cao và tan ít ở trong nước với nhiệt độ thấp.
Câu 9: Catechin là một hợp chất phenol chứa trong những lá chè xanh. Catechin có vai trò giúp chống oxi hoá, kháng viêm, diệt khuẩn và ngăn ngừa một số bệnh liên quan đến tim mạch, tiêu hoá, cao huyết áp, làm chậm đi quá trình lão hoá. Vậy hợp chất phenol đó là gì và có những tính chất đặc trưng như thế nào?
Lời giải:
Phenol là những hợp chất hữu cơ mà trong phân tử có chứa nhóm -OH liên kết trực tiếp vào nguyên tử carbon trên vòng benzene.
Phenol là một chất rắn, không màu và ít tan trong nước khi ở điều kiện thường, tan nhiều khi nước được đun nóng, mang tính độc, có thể gây bỏng khi tiếp xúc trực tiếp với da.
Tính chất hoá học của phenol:
– Phenol thể hiện tính acid yếu.
– Tham gia phản ứng thế trên vòng benzene.
Phenol được sử dụng làm nguyên liệu cho quá trình sản xuất chất dẻo, tơ sợi, dược phẩm, phẩm nhuộm, mĩ phẩm, thuốc sát trùng và thuốc diệt cỏ,…
Phenol có thể điều chế ra từ cumene hoặc nhựa than đá.
Câu 10: Thí nghiệm nitro hoá phenol đã được tiến hành theo quy trình như sau:
– Cho 0,5 g phenol và khoảng 1,5 mL dung dịch H2SO4 đặc vào trong ống nghiệm, đun nóng nhẹ hỗn hợp khoảng 10 phút để có thể thu được một dạng chất lỏng đồng nhất.
– Để nguội ống nghiệm sau đó ngâm vào trong cốc nước đá.
– Nhỏ dần khoảng 3 mL dung dịch HNO3 đặc vào trong hỗn hợp và lắc đều lên. Nút bằng bông có tẩm dung dịch NaOH.
– Đun cách thuỷ hỗn hợp này trong một nồi nước nóng khoảng 15 phút.
– Làm lạnh hỗn hợp này sau đó đem đi pha loãng hỗn hợp bằng 10 mL nước cất, picric acid kết tủa tồn tại ở dạng tinh thể có màu vàng.
Hãy giải thích về hiện tượng xảy ra, sau đó viết phương trình hoá học của phản ứng đã diễn ra.
Chú ý: Thí nghiệm được thực hiện trong tủ hốt hoặc ở những nơi thoáng khí. Cần cẩn thận khi làm việc cùng dung dịch H2SO4 đặc và dung dịch HNO3 đặc.
Lời giải:
Phenol sẽ tác dụng được với dung dịch HNO3 đặc có xúc tác là dung dịch H2SO4 đặc, nóng tạo ra 2,4,6 – trinitrophenol (hay còn gọi là picric acid). Picric acid là một hợp chất hóa học có tính axit vô cùng mạnh và tồn tại ở dạng tinh thể có màu vàng.
Tương tự như các hợp chất hữu cơ khác, phenol cũng là một chất có rất nhiều công dụng trong công nghiệp và cuộc sống. Tuy nhiên, chúng cần phải được dùng một cách hợp lý để không bị phản tác dụng. Bài viết trên tổng hợp lý thuyết về phenol trong chương trình hóa học 11 cũng như một số dạng câu hỏi về phenol kèm câu trả lời giúp các em nắm được nội dung bài học.
Nếu muốn học thêm những kiến thức liên quan đến môn Hoá học hay bất cứ môn học khác, nhanh tay truy cập vào website vuihoc.vn và đăng ký khoá học cùng với các thầy cô VUIHOC ngay hôm nay nhé!
Tham khảo thêm:
⭐Bộ Sách Thần Tốc Luyện Đề Toán – Lý – Hóa THPT Có Giải Chi Tiết
>> Mời các em tham khảo thêm:
- Alcohol
- Dẫn xuất halogen
- Arene (Hydrocarbon thơm)