Tài Liệu Học Tập
No Result
View All Result
  • Đề Thi
  • Lớp 12
    • Lịch Sử Lớp 12
    • Địa Lí Lớp 12
    • Ngữ Văn Lớp 12
    • GD KTPL Lớp 12
    • Toán Lớp 12
    • Tiếng Anh Lớp 12
    • Hóa Học Lớp 12
    • Sinh Học Lớp 12
    • Vật Lí Lớp 12
  • Lớp 11
    • Toán Lớp 11
    • Ngữ Văn Lớp 11
    • Tiếng Anh Lớp 11
    • Hóa Học Lớp 11
    • Sinh Học Lớp 11
    • Vật Lí Lớp 11
    • Lịch Sử Lớp 11
    • Địa Lí Lớp 11
    • GDCD Lớp 11
  • Lớp 10
    • Toán Lớp 10
    • Ngữ Văn Lớp 10
    • Tiếng Anh Lớp 10
    • Hóa Học Lớp 10
    • Sinh Học Lớp 10
    • Vật Lí Lớp 10
    • Lịch Sử Lớp 10
    • Địa Lí Lớp 10
    • GDKTPL Lớp 10
    • Công nghệ lớp 10
    • Tin Học Lớp 10
  • Lớp 9
    • Toán Lớp 9
    • Ngữ Văn Lớp 9
    • Tiếng Anh Lớp 9
    • Lịch sử và địa lý lớp 9
    • Khoa Học Tự Nhiên Lớp 9
    • GDCD Lớp 9
  • Lớp 8
    • Toán Lớp 8
    • Ngữ Văn Lớp 8
    • Tiếng Anh Lớp 8
    • Lịch sử và địa lý lớp 8
    • Khoa Học Tự Nhiên Lớp 8
    • GDCD 8
  • Lớp 7
    • Toán Lớp 7
    • Văn Lớp 7
    • Tiếng Anh Lớp 7
    • Lịch Sử Và Địa Lí Lớp 7
    • Khoa Học Tự Nhiên Lớp 7
  • Lớp 6
    • Toán Lớp 6
    • Văn Lớp 6
    • Tiếng Anh lớp 6
    • Lịch Sử và Địa Lí Lớp 6
    • Khoa Học Tự Nhiên lớp 6
  • Lớp 5
    • Toán lớp 5
    • Tiếng Việt Lớp 5
    • Tiếng Anh Lớp 5
    • Lịch Sử và Địa Lí Lớp 5
  • Lớp 4
    • Toán lớp 4
    • Tiếng Việt Lớp 4
    • Tiếng Anh Lớp 4
    • Lịch Sử và Địa Lí Lớp 4
  • Lớp 3
    • Toán lớp 3
    • Tiếng Anh Lớp 3
    • Tiếng Việt Lớp 3
  • Mẹo Hay
  • Tin tức
  • Liên Hệ
Tài Liệu Học Tập
No Result
View All Result
Home Văn học

12 Công Thức Tính Thể Tích Khối Chóp Kèm Ví Dụ Cụ Thể

by Tranducdoan
22/02/2026
in Văn học
0
Đánh giá bài viết

Trong chương trình hình học THPT, các bài tập về thể tích khối chóp luôn xuất hiện trong đề thi đại học. Vì vậy, học sinh cần nắm chắc các kiến thức cơ bản về khối chóp và thuộc nằm lòng công thức tính thể tích khối chóp. Cùng VUIHOC ôn tập lý thuyết và điểm lại 12 công thức tính thể tích khối chóp thường sử dụng nhé!

Mục Lục Bài Viết

  1. 1. Ôn tập lý thuyết thể tích khối chóp lớp 12
  2. 2. Các công thức tính thể tích khối chóp dễ hiểu nhất
    1. 2.1. Cách tính thể tích khối chóp có mặt bên vuông góc đáy
    2. 2.2. Phương pháp tính thể tích khối chóp có cạnh bên vuông góc đáy
    3. 2.3. Thể tích khối chóp S.ABCD có đáy là hình vuông
    4. 2.4. Tìm thể tích khối chóp lập phương
    5. 2.5. Thể tích khối chóp lăng trụ tam giác đều
    6. 2.6. Cách tìm thể tích khối chóp lục giác đều
    7. 2.7. Công thức tính thể tích khối chóp lăng trụ
    8. 2.8. Tính thể tích khối chóp khi biết 3 cạnh bên
    9. 2.9. Tìm thể tích khối chóp các cạnh đôi một vuông góc
    10. 2.10. Thể tích khối chóp tròn xoay
    11. 2.11. Tính thể tích của khối chóp tam giác đều
    12. 2.12. Công thức tính thể tích khối chóp tứ giác đều cạnh đáy bằng a

1. Ôn tập lý thuyết thể tích khối chóp lớp 12

Thể tích của một vật là lượng không gian mà vật ấy chiếm. Thể tích thường có đơn vị đo là lập phương của khoảng cách.

Thể tích khối chóp

Trong chương trình học, thể tích khối chóp được tính theo công thức:

V= frac{1}{3}.S.h

Trong đó:

  • S là diện tích đáy
  • h là chiều cao

Ngoài ra, để phục vụ cho các bài tập tính tỉ số thể tích hai khối chóp tam giác thường xuất hiện trong các bài toán ôn tập thể tích khối chóp lớp 12, ta có thêm công thức:

Nếu A’, B’, C’ là ba điểm lần lượt nằm trên các cạnh SA, SB, SC của hình chóp tam giác S.ABC thì khi đó:

2. Các công thức tính thể tích khối chóp dễ hiểu nhất

Nhìn chung, có rất nhiều các phương pháp và công thức dùng để tính được thể tích khối chóp, đồng thời áp dụng thể tích khối chóp nâng cao. Tuy nhiên, trong bài ôn tập này, VUIHOC chỉ tổng hợp 12 công thức tính thể tích khối chóp thường gặp và dễ sử dụng nhất để giải các bài toán hình học có liên quan đến thể tích khối chóp.

2.1. Cách tính thể tích khối chóp có mặt bên vuông góc đáy

Để nhận diện các bài toán thể tích hình chóp áp dụng công thức này, ta xét đặc điểm của hình chóp mà đề bài cho. Nếu hình chóp có hai mặt bên cùng vuông góc với đáy và chiều cao của khối chóp chính là giao tuyến của hai mặt đó, ta áp dụng phương pháp này.

Để xác định đường cao của hình chóp, ta vận dụng định lý sau đây:

Phương pháp tính thể tích khối chóp - Toán lớp 12

Ta cùng xét ví dụ minh họa sau đây để hiểu hơn về cách tính thể tích khối chóp này.

Ví dụ: Cho hình chóp S.ABC có đáy ABC là tam giác vuông tại B, BA = 3a, BC = 4a; mặt phẳng (SBC) vuông góc với mặt phẳng (ABC). Biết SB=2a√3 và ∠(SBC)=30º, tính thể tích khối chóp S.ABC.

Bài tập ví dụ tính thể tích khối chóp

Hướng dẫn giải

Ta kẻ SH vuông góc với đoạn thằng BC (với H nằm trên BC)

Từ đó ta có:

left{begin{matrix} (SBC) perp (ABC) (SBC) cap (ABC) = BC SH perp BC SHsubset (SBC) end{matrix}right.

Ta xét tam giác SHB vuông tại H, ta có:

SH = SB.sinwidehat{SBC} = 2asqrt{3}.sin30^{0} = asqrt{3}

S_{ABC} = frac{1}{2}BA.BC = frac{1}{2}.3a.4a = 6a^{2}

V_{S.ABC} = frac{1}{3}SH.S_{ABC} = frac{1}{3}.asqrt{3}.6a^{2} = 2a^{3}sqrt{3}

>>>Nắm trọn bộ kiến thức hình học không gian ôn thi tốt nghiệp THPT ngay<<<

2.2. Phương pháp tính thể tích khối chóp có cạnh bên vuông góc đáy

Phương pháp giải:

Ta có công thức thể tích khối chóp là với S là diện tích đáy, h là chiều cao. Khối chóp có cạnh bên vuông góc với đáy suy ra cạnh bên vuông góc với đáy là đường cao của chóp hay h=độ dài cạnh bên vuông góc với đáy.

Ví dụ minh họa: Cho khối chóp S.ABC có SA vuông góc với đáy, SA= 4; AB= 6; BC= 10 và CA= 8. Tính thể tích khối chóp S.ABC.

A. V= 40

B. V= 96

C. V= 32

D. V= 64

Giải:

Ví dụ minh họa bài tập tính thể tích khối chóp

2.3. Thể tích khối chóp S.ABCD có đáy là hình vuông

Đối với khối chóp abcd có đáy là hình vuông, ta có ví dụ minh họa sau đây:

Ví dụ: Cho khối chóp S.ABCD có đáy là hình vuông cạnh a, SA vuông góc với đấy và SC tạo với mp (SAB) một góc 30 độ. Tính thể tích khối chóp?

Giải:

Ta có do ABCD là hình vuông nên có BC perp AB

SA perp (ABCD) Rightarrow SA perp BC

Từ 2 điều trên ta có thể suy ra được BC perp (SAB)

Do đó ta có

Theo định lý Pitago:

Do vậy:

2.4. Tìm thể tích khối chóp lập phương

Đây là dạng khối chóp đặc biệt vì các mặt của khối chóp đều là hình vuông (lập phương). Vì vậy, phương pháp tính thể tích khối chóp lập phương rất đơn giản: (do các cạnh của hình lập phương đều có độ dài bằng nhau, một cách khác của công thức thể tích là s3, trong đó s là độ dài cạnh của hình lập phương)

Ví dụ minh họa:

Tính thể tích khối lập phương có độ dài đường chéo là 27 cm.

Giải:

Độ dài cạnh của khối lập phương là:

Vậy thể tích của khối lập phương cần tìm là:

2.5. Thể tích khối chóp lăng trụ tam giác đều

Nếu một hình học có mặt bên là hình bình hành, hai mặt đáy song song và bằng nhau thì đa giác đó là hình lăng trụ. Một hình lăng trụ có mặt đáy là một tam giác đều thì đó là hình lăng trụ tam giác đều.

Ta cùng xét ví dụ sau để tính thể tích khối chóp lăng trụ tam giác đều:

Ví dụ: Cho hình lăng trụ ABC.A’B’C’ có đáy ABC là tam giác đều cạnh bằng a = 2 cm và chiều cao là h = 3 cm. Hãy tính thể tích hình lăng trụ này.

Giải:

Vì đáy là tam giác đều cạnh a nên diện tích

Khi này, thể tích là

>> Xem thêm: Công thức tính thể tích khối lăng trụ đứng tam giác đều

Nhận ngay trọn bộ kiến thức và phương pháp giải mọi dạng bài tập hình học không gian với bộ bí kíp độc quyền của VUIHOC

2.6. Cách tìm thể tích khối chóp lục giác đều

Cùng VUIHOC xét ví dụ minh họa sau đây về thể tích khối chóp lục giác đều.

Ví dụ: Một khối chóp lục giác đều, góc giữa cạnh bên và mặt đáy là 30 độ, cạnh đáy a. Tính thể tích V của khối chóp?

Giải:

Đặt S.ABCDEF là hình chóp lục giác đều đáy ABCDEF là hình chóp thỏa mãn đề bài đã ra. Ta có:

Gọi điểm O là tâm của ABCDEF

OA = OB = OC = OD = OE = OF = AB = BC = CD = DE = EF = FA = a

OAB là tam giác đều có cạnh là a

Ta có:

Từ đó ta được:

2.7. Công thức tính thể tích khối chóp lăng trụ

Công thức tính thể tích lăng trụ: Khối lăng trụ có diện tích đáy B và chiều cao h có thể tích được tính theo công thức: V=B.h

2.8. Tính thể tích khối chóp khi biết 3 cạnh bên

Đây là dạng đặc biệt trong các bài toán tính thể tích khối chóp. Khi gặp trường hợp này, các em sử dụng công thức tổng quát sau:

Ta có BC=a, CA=b, AB=c, AD=d, BD=e, CD=f thuộc khối tứ diện ABCD, công thức tính thể tích của tứ diện 6 cạnh như sau:

V=12M+N+P+Q, trong đó:

Ví dụ minh họa: Cho khối tứ diện ABCD có AB=CD=8, AD=BC=5 và AC=BD=7. Thể tích khối tứ diện đã cho bằng bao nhiêu?

2.9. Tìm thể tích khối chóp các cạnh đôi một vuông góc

Ta xét ví dụ minh họa sau đây để hiểu hơn cách tính thể tích khối chóp trong trường hợp khối chóp có các cạnh đôi một vuông góc như sau:

Cho tứ diện SABC có các cạnh SA,SB,SC đôi một vuông góc với nhau. Biết SA=3a, SB=4a, SC=5a. Tính theo a thể tích V của khối tứ diện SABC.

Giải:

2.10. Thể tích khối chóp tròn xoay

Ta có thể dễ thấy, thể tích khối chóp tròn xoay tương tự như công thức tính thể tích khối chóp:

Trong công thức trên B là diện tích đáy hình nón, r là bán kính đáy hình nón, h là chiều cao của hình nón.

Cùng VUIHOC xét ví dụ minh họa sau đây tính thể tích khối chóp tròn xoay:

​​​​​​

>> Xem thêm: Công thức tính thể tích khối tròn xoay chính xác nhất

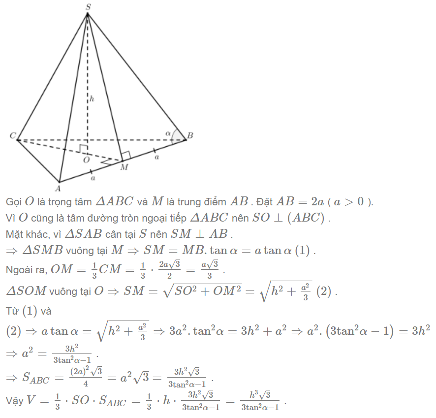
2.11. Tính thể tích của khối chóp tam giác đều

Đây là dạng toán đặc biệt, thường xuất hiện trong các câu hỏi kiếm điểm 8+. Các em cùng xét ví dụ minh họa sau đây để hiểu cách giải dạng bài tính thể tích khối chóp này:

Tính thể tích V của khối chóp tam giác đều SABC biết chiều cao hình chóp bằng h, góc SBA=a

Giải:

2.12. Công thức tính thể tích khối chóp tứ giác đều cạnh đáy bằng a

Cùng VUIHOC giải bài tập tính thể tích khối chóp tứ giác đều cạnh đáy bằng a với bài tập minh họa sau:

Tính thể tích khối chóp tứ giác đều V có tất cả các cạnh bằng a.

Giải:

Để ôn tập kỹ và thành thạo hơn 12 công thức tính thể tích khối chóp cũng như vận dụng tính thể tích khối chóp nâng cao, VUIHOC gửi tặng các em học sinh file tổng hợp bài tập luyện tập chọn lọc. Các em nhớ lưu về để làm tài liệu ôn thi nhé!

VUIHOC đã cùng các em học sinh ôn tập lại lý thuyết chung về thể tích khối chóp và 12 công thức thường gặp nhất trong các đề thi. Hy vọng rằng sau bài viết này, các em sẽ không gặp nhiều khó khăn trong quá trình ôn tập và giải toán thể tích khối chóp. Để học được nhiều những kiến thức hay và cách cách giải thú vị ôn luyện thi THPT, truy cập ngay vuihoc.vn và đăng ký khóa học ôn thi cấp tốc THPT dành riêng cho sĩ tử 2004 nhé!

Đăng ký ngay để được các thầy cô tổng hợp kiến thức và xây dựng lộ trình ôn thi THPT đạt 9+ sớm ngay từ bây giờ

>> Xem thêm:

  • Tổng hợp công thức toán hình 12 đầy đủ dễ nhớ nhất
  • Cách học hình học không gian tốt – toán 12
  • Công thức tính thể tích khối cầu nhanh và chính xác nhất
Previous Post

Giáo Lý và Giao Ước 138

Next Post

Lời Chúa Hằng Ngày

Tranducdoan

Tranducdoan

Trần Đức Đoàn sinh năm 1999, anh chàng đẹp trai đến từ Thái Bình. Hiện đang theo học và làm việc tại trường cao đẳng FPT Polytechnic

Next Post

Lời Chúa Hằng Ngày

đọc sách online cm88 Ca Khia TV trực tiếp XoilacTV Socolive trực tiếp fly88 https://p789bet.biz/ fly88 cm88 com 789bet ww88 sumclub https://theaquaverse.io/17
Tài Liệu Học Tập

Copyright © 2022 Tài Liệu Học Tập.

Chuyên Mục

  • Đề Thi
  • Lớp 12
  • Lớp 11
  • Lớp 10
  • Lớp 9
  • Lớp 8
  • Lớp 7
  • Lớp 6
  • Lớp 5
  • Lớp 4
  • Lớp 3
  • Mẹo Hay
  • Tin tức
  • Liên Hệ

Tham Gia Group Tài Liệu Học Tập

No Result
View All Result
  • Đề Thi
  • Lớp 12
    • Lịch Sử Lớp 12
    • Địa Lí Lớp 12
    • Ngữ Văn Lớp 12
    • GD KTPL Lớp 12
    • Toán Lớp 12
    • Tiếng Anh Lớp 12
    • Hóa Học Lớp 12
    • Sinh Học Lớp 12
    • Vật Lí Lớp 12
  • Lớp 11
    • Toán Lớp 11
    • Ngữ Văn Lớp 11
    • Tiếng Anh Lớp 11
    • Hóa Học Lớp 11
    • Sinh Học Lớp 11
    • Vật Lí Lớp 11
    • Lịch Sử Lớp 11
    • Địa Lí Lớp 11
    • GDCD Lớp 11
  • Lớp 10
    • Toán Lớp 10
    • Ngữ Văn Lớp 10
    • Tiếng Anh Lớp 10
    • Hóa Học Lớp 10
    • Sinh Học Lớp 10
    • Vật Lí Lớp 10
    • Lịch Sử Lớp 10
    • Địa Lí Lớp 10
    • GDKTPL Lớp 10
    • Công nghệ lớp 10
    • Tin Học Lớp 10
  • Lớp 9
    • Toán Lớp 9
    • Ngữ Văn Lớp 9
    • Tiếng Anh Lớp 9
    • Lịch sử và địa lý lớp 9
    • Khoa Học Tự Nhiên Lớp 9
    • GDCD Lớp 9
  • Lớp 8
    • Toán Lớp 8
    • Ngữ Văn Lớp 8
    • Tiếng Anh Lớp 8
    • Lịch sử và địa lý lớp 8
    • Khoa Học Tự Nhiên Lớp 8
    • GDCD 8
  • Lớp 7
    • Toán Lớp 7
    • Văn Lớp 7
    • Tiếng Anh Lớp 7
    • Lịch Sử Và Địa Lí Lớp 7
    • Khoa Học Tự Nhiên Lớp 7
  • Lớp 6
    • Toán Lớp 6
    • Văn Lớp 6
    • Tiếng Anh lớp 6
    • Lịch Sử và Địa Lí Lớp 6
    • Khoa Học Tự Nhiên lớp 6
  • Lớp 5
    • Toán lớp 5
    • Tiếng Việt Lớp 5
    • Tiếng Anh Lớp 5
    • Lịch Sử và Địa Lí Lớp 5
  • Lớp 4
    • Toán lớp 4
    • Tiếng Việt Lớp 4
    • Tiếng Anh Lớp 4
    • Lịch Sử và Địa Lí Lớp 4
  • Lớp 3
    • Toán lớp 3
    • Tiếng Anh Lớp 3
    • Tiếng Việt Lớp 3
  • Mẹo Hay
  • Tin tức
  • Liên Hệ

Copyright © 2022 Tài Liệu Học Tập.