1. Ma trận đề thi giữa kì 2 môn toán 10
Dưới đây là ma trận đề thi giữa kì 2 môn Toán 10 tham khảo:
STT Nội dung kiến thức Đơn vị kiến thức Nhận biết Thông hiểu Vận dụng Vận dụng cao 1 Hàm số, đồ thị và ứng dụng Hàm số 2 1 0 0 Hàm số bậc hai 2 1 1 0 Dấu của tam thức bậc hai 2 1 0 1 Phương trình quy về phương trình bậc hai 1 1 1 0 2 Phương pháp tọa độ trong mặt phẳng Phương trình đường thẳng 1 2 1 0 Vị trí tương đối giữa hai đường thẳng, góc và khoảng cách 2 2 0 0 Đường tròn 2 1 0 1
Cấu trúc đề thi giữa kì 2 môn Toán 10 gồm 26 câu trong đó có 21 câu hỏi trắc nghiệm và 5 câu hỏi tự luận. Các câu hỏi trắc nghiệm thuộc mức độ nhận thức nhận biết và thông hiểu còn 5 câu tự luận thuộc câu hỏi vận dụng và vận dụng cao. Mỗi câu hỏi trắc nghiệm sẽ có số điểm là 0.2 điểm một câu. Còn câu hỏi tự luận sẽ có số điểm cụ thể tùy từng dạng bài và sẽ được ghi chú rõ trong đề thi.
2. Đề thi giữa kì 2 môn Toán 10 Kết nối tri thức
2.1 Đề thi
2.2 Đáp án
a. Trắc nghiệm
1. A 2. C 3. B 4. D 5. D 6. B 7. D 8. C 9. D 10. C 11. C 12. D 13. C 14. A 15. D 16. B 17. D 18. A 19. C 20. A 21. A 22. C 23. C 24. C 25. A 26. D 27. D 28. C 29. A 30. C 31. C 32. B 33. A 34. A 35. D
b. Tự luận
Câu 36:
Tập xác định của hàm số là tập hợp các giá trị của thỏa mãn điều kiện: 
Để hàm số xác định trên khoảng cần có:
Câu 37:


Câu 38:
– AM = x ; AB = 4 => MB = 4 – x, nên bán kính đường tròn đường kính AM là x/2, bán kính đường tròn đường kính MB là (4-x)/2.
– Diện tích hình tròn đường kính AM là:
– Diện tích hình tròn đường kính MB là:
– Diện tích hình tròn đường kính AB là: S = 16
– Diện tích:
– Theo đề bài ta có S(x) 1/2(S1 + S2)


Mà x > 0 nên ta có: 0 < x 5,45
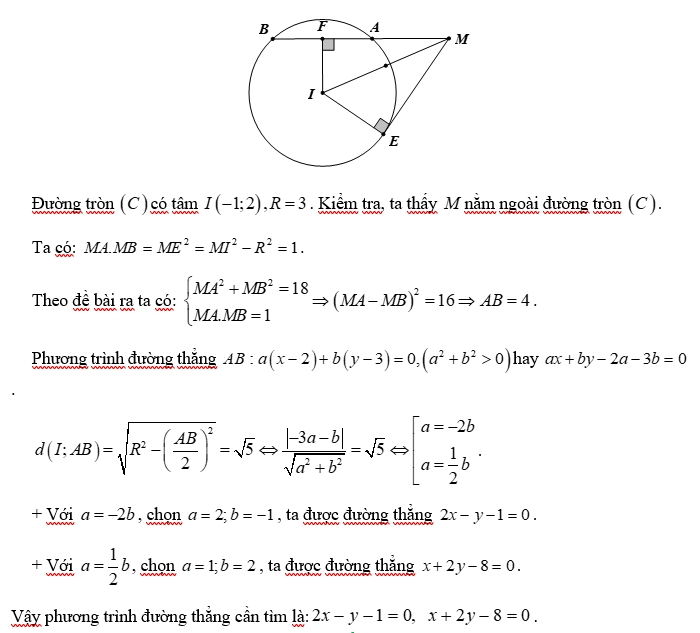
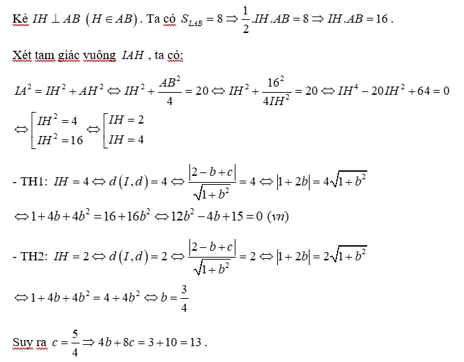
Câu 39:
Đăng ký ngay để được các thầy cô tổng hợp trọn bộ kiến thức toán 10 và có sự chuẩn bị sớm cho kỳ thi THPT Quốc gia
3. Đề thi giữa kì 2 môn Toán 10 Chân trời sáng tạo
3.1 Đề thi
3.2 Đáp án
a. Trắc nghiệm
1. C 2. C 3. D 4. D 5. C 6. D 7. C 8. C 9. B 10. B 11. A 12. B 13. D 14. D 15. B 16. D 17. C 18. D 19. C 20. B 21. C 22. B 23. C 24. A 25. B 26. B 27. A 28. B 29. D 30. C 31. B 32. D 33. C 34. D 35. C
b. Tự luận
Câu 36:
– Ta có số tam giác ( vuông, nhọn, tù ) được được tạo thành từ 3 trong 100 đỉnh của đa giác là: – Ta tìm số tam giác vuông: Mỗi đường chéo qua tâm và một đỉnh còn lại sẽ tạo thành một tam giác vuông = > Số tam giác vuông là : 50. 98 – Ta tìm số tam giác tù: với mỗi đỉnh của tam giác ta chọn thêm 2 đỉnh nằm về cùng phía đối với nửa đường tròn (trừ đỉnh đối xứng qua tâm) thì ta được một tam giác tù. = > Số tam giác tù là : 100 Kết luận : Số tam giác nhọn được tạo thành là: – 50.98 – 100 = 3920
Câu 37:
Câu 38:
Điều kiện:
Phương trình đã cho ta có:
hoặc x = 4 hoặc
Để phương trình có đúng 2 nghiệm phân biệt thì:
Vì m nguyên dưng nên 1 m 14.
Câu 39:
Gọi phương trình đường thẳng d: y = ax + b
Vì đường thẳng d đi qua điểm K(1;4) nên a+ b = 4
Đường thẳng d: y = ax + b cắt hai tia Ox và Oy lần lượt là:
Theo giả thiết ta có:
Do đó:
Do
Vậy phương trình đường thẳng d: y = – 4x + 8
Đăng ký ngay để nhận bí kíp nắm trọn kiến thức và phương pháp giải mọi dạng bài tập đạt mục tiêu 9+ thi Toán THPT Quốc Gia
4. Đề thi giữa kì 2 môn Toán 10 Cánh diều
4.1 Đề thi
4.2 Đáp án
a. Trắc nghiệm:
1. B 2. C 3. D 4. A 5. A 6. A 7. C 8. C 9. A 10. C 11. C 12. D 13. D 14. A 15. C 16. B 17. D 18. C 19. D 20. C 21. C 22. B 23. B 24. D 25. C 26. D 27. C 28. B 29. A 30. B 31. D 32. C 33. B 34. D 35. C
b. Tự luận
Câu 36:
– Ta có số tam giác ( vuông, nhọn, tù ) được được tạo thành từ 3 trong 100 đỉnh của đa giác là: – Ta tìm số tam giác vuông: Mỗi đường chéo qua tâm và một đỉnh còn lại sẽ tạo thành một tam giác vuông = > Số tam giác vuông là : 50. 98 – Ta tìm số tam giác tù: với mỗi đỉnh của tam giác ta chọn thêm 2 đỉnh nằm về cùng phía đối với nửa đường tròn (trừ đỉnh đối xứng qua tâm) thì ta được một tam giác tù. = > Số tam giác tù là : 100 Kết luận : Số tam giác nhọn được tạo thành là: – 50.98 – 100 = 3920
Câu 37:
ABC có: A(-1;1) ; B(1;3) và trọng tâm G (-2;2/3)
Ta có:
Có M thuộc tia Oy => M(0;m), với M > 0 ta có:
Lại có ABC vuông tại M BM CM
m = 4 (nhận vì m > 0) hoặc m = -3 (loại vì m < 0)
Vậy điểm M(0,4)
Câu 38:
Số tam giác được tạo thành là: Gọi A = “Chọn được ba đỉnh tạo thành tam giác không có cạnh nào là cạnh của đa giác đã cho” => = “Chọn được ba đỉnh tạo thành tam giác có ít nhất một cạnh là cạnh của đa giác đã cho” => = “Chọn được ba đỉnh tạo thành tam giác có một cạnh hoặc hai cạnh là cạnh của đa giác đã cho” * TH1: Chọn ra tam giác có 2 cạnh là 2 cạnh của đa giác đã cho Chọn ra 3 đỉnh liên tiếp của đa giác 12 cạnh => Có 12 cách. * TH2: Chọn ra tam giác có đúng 1 cạnh là cạnh của đa giác đã cho Chọn ra 1 cạnh và 1 đỉnh không liền với 2 đỉnh của cạnh đó => Có 12 cách chọn 1 cạnh và cách chọn đỉnh.
=> Có 12.8 cách. => Số cách chọn của là: 12 + 12.8 Số cách chọn của A là: – 12 – 12.8 = 112.
Câu 39:
Gọi phương trình đường thẳng d: y = ax + b
Vì đường thẳng d đi qua điểm K(1;4) nên a+ b = 4
Đường thẳng d: y = ax + b cắt hai tia Ox và Oy lần lượt là:
Theo giả thiết ta có:
Do đó:
Do
Vậy phương trình đường thẳng d: y = – 4x + 8
Trên đây là một số đề thi giữa kì 2 môn Toán 10 cùng lời giải chi tiết theo chương trình ba bộ sách kết nối tri thức, cánh diều và chân trời sáng tạo mà VUIHOC đã tổng hợp lại giúp các em ôn tập tốt và hiệu quả hơn. VUIHOC còn rất nhiều bộ đề hay và sát với cấu trúc đề thi khác được biên soạn bởi các thầy cô dạy giỏi trong khóa học PAS THPT. Các em hãy nhanh tay đăng ký khóa học để được các thầy cô hướng dẫn lên lộ trình học tập khoa học nhé! Truy cập ngay vuihoc.vn để cập nhật thêm thật nhiều kiến thức toán học 10 và các môn học khác nhé!
>> Mời bạn tham khảo thêm:
- Ôn thi giữa kì 2 môn Toán 10
- Đề thi giữa kì 2 môn Lý 10
- Đề thi giữa kì 2 môn Hóa 10
- Đề thi giữa kì 2 môn Tiếng Anh 10
- Đề thi giữa kì 2 môn Ngữ Văn 10