Tổng quan lý thuyết về hàm số đồng biến
Khi được học ở trường lớp trước khi đi vào tìm hiểu một vấn đề mới. Chúng ta thường được thầy cô cho làm quen dần với khái niệm, định nghĩa. Khi đã nắm được lý thuyết chúng ta mới ứng dụng vào để giải bài tập. Vậy trước tiên để học tốt về hàm số đồng biến bạn cần hiểu rõ hàm số là gì?
Hàm số là gì?
Hiểu theo một cách trực quan nhất hàm số được coi là một quá trình liên kết các phân tử của chính tập hợp X với một phần tử nào đó trong tập hợp Y.
Xét về mặt hình thức, cho một hàm f được xác định từ tập X đến tập Y bởi tập G. Trong đó gồm có các cặp có thứ tự (x, y) và x thuộc X, y thuộc Y. Có thể hiểu theo một cách khác, với mọi x trong X sẽ có đúng một phần tử của y. Và cặp có thứ tự (x, y) đều phải thuộc tập các cặp xác định hàm f.
Giả sử tập hợp G được gọi là đồ thị của hàm số. Xét về mặt hình thức, tập G có thể được xác định bởi hàm số trên. Đồng thời hàm số thường được phân biệt với chính đồ thị của nó.
Ngoài ra hàm còn được gọi là ánh xạ, mặc dù có một số giả thuyết phân biệt giữa hàm số và ánh xạ. Đối với định nghĩa về hàm số, X và Y sẽ được gọi là tập và miền xác định. Nếu (x, y) cùng thuộc tập xác định của f, thì y sẽ là ảnh của x thông qua f. Hoặc ngược lại giá trị của f cũng sẽ được áp dụng cho đối số của x.
Đặc biệt hơn, với ngữ cảnh của các con số, y sẽ là giá trị của f đối với giá trị x. Hay nói một cách ngắn gọn hơn, y sẽ là giá trị của f của x và được ký hiệu là y = f(x).
Nếu miền và tập hợp miền xác định của f và g giống nhau thì ta sẽ nói hai hàm f và g bằng nhau. Cụ thể f = g nếu f(x) = g(x) với x thuộc X, trong đó f: X → Y và g: X → Y.
Hàm số đồng biến là gì?
Hàm số đồng biến là hàm số có x và f(x) cùng giảm hoặc cùng tăng. Ngược lại, hàm số nghịch biến là hàm số mà nếu x giảm thì f(x) tăng và x tăng thì f(x) giảm.
Giả sử cho K là một khoảng, một nửa hoặc một đoạn và hàm số y = f(x) là một hàm số được xác định trên K. Ta có hàm số y = f(x) được gọi là đồng biến hoặc tăng trên K, nếu: Với mọi x1, x2 thuộc K mà x1 < x2 thì f (x1) < f (x2)
Biểu diễn đồ thị của hàm số này là một đường đi lên. Khi hàm số nghịch biến hoặc đồng biến trên K còn được gọi chung là một hàm số đơn điệu trên K.
Hàm số đồng biến khi nào?
Điều kiện để hàm số đồng biến trên K là khi:
Cho 1 hàm số f được xác định có đạo hàm trên K. Nếu f'(x) > 0 với mọi x thuộc K thì hàm số đó sẽ đồng biến trên K. Qua đó bạn có thể biết được hàm số đồng biến khi nào và cần những điều kiện gì. Đồng thời đó cũng chính là điều kiện cần và đủ để một hàm số có tính đơn điệu.
Để bạn đọc hiểu rõ hơn về vấn đề này chúng ta hãy đi vào tìm hiểu ví dụ điển hình sau đây: Xét sự nghịch biến và đồng biến của hàm số, dựa vào bảng tìm hàm số đồng biến trên khoảng nào?
Hướng dẫn giải:
Ta có tập xác định D = R và y’= 3 – 2x; Cho y’ = 0 ⇔ 3 – 2x = 0 ⇔ x = 3/2
Suy ra khi x = 3/2 thì y = 25/4
Ta có bảng biến thiên sau đây:

Qua bảng trên bạn có thể xác định được hàm số đồng biến trên khoảng từ âm vô cực đến 25/4.
Các dạng bài toán về hàm số đồng biến trên khoảng thường gặp
Để hiểu rõ hơn về kiến thức hàm số đồng biến. Sau đây chúng ta sẽ cùng nhau đi tìm hiểu 5 dạng bài tập về hàm số đồng biến trên các khoảng.
Dạng 1: Tìm m để hàm số đồng biến trên R, nghịch biến trên R
Đối với dạng toán tìm m để hàm số đồng biến trên R, nghịch biến trên R bạn sẽ được làm quen với đa thức bậc 3. Chúng ta sẽ có công thức như sau:
Bài tập vận dụng:

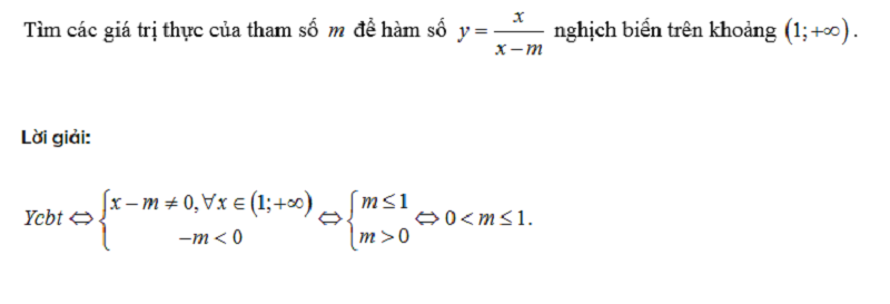
Dạng 2: Tìm m để hàm số đồng biến, nghịch biến trên từng khoảng xác định
Với dạng toán tìm m hàm số đồng biến trên khoảng chúng ta sẽ thường gặp ở hàm phân tuyến tính hay còn gọi là hàm số phân thức bậc 1. Áp dụng công thức sau đây để giải quyết được các bài toán về hàm số đồng biến trên từng khoảng xác định hoặc nghịch biến.
Bài tập vận dụng:

Dạng 3: Nhẩm được nghiệm của đạo hàm
Bài tập vận dụng: Cho hàm số y = x³ – (m+1)x² – (m²-2m)x + 2020. Tìm m để hàm số nghịch biến trên khoảng (0;1).
Hướng dẫn giải:

Dạng 4: Cô lập tham số m
Bài tập vận dụng:
Cho trước một hàm số y = x³ + mx² + 2mx + 3. Hãy tìm điều kiện của m sao cho hàm số luôn đồng biến trên khoảng (0;2).
Hướng dẫn giải:

Dạng 5: Hàm phân tuyến tính đơn điệu trên khoảng cho trước
Nếu hàm phân tuyến tính có tham số thì hàm số suy biến rất dễ xảy ra. Chúng ta cần xét trường hợp hàm số suy biến trở thành hàm bậc nhất. Công thức xác định để xét một hàm suy biến như sau:
Bài tập vận dụng:

Xem thêm: Đạo hàm là gì? Khái niệm và công thức đạo hàm từ cơ bản đến nâng cao
GIÚP CON HỌC TOÁN KẾT HỢP VỚI TIẾNG ANH SIÊU TIẾT KIỆM CHỈ TRÊN MỘT APP MONKEY MATH. VỚI NỘI DUNG DẠY HỌC ĐA PHƯƠNG PHÁP GIÚP BÉ PHÁT TRIỂN TƯ DUY NÃO BỘ VÀ NGÔN NGỮ TOÀN DIỆN CHỈ VỚI KHOẢNG 2K/NGÀY.

Bài tập hàm số đồng biến tự luyện
Sau khi đã nắm rõ phần lý thuyết, dưới đây sẽ là một số bài tập liên quan để các em tự luyện tập thêm:

GIẢI PHÁP GIÚP CON PHÁT TRIỂN TOÀN DIỆN TƯ DUY VÀ NGÔN NGỮ VỚI BỘ SẢN PHẨM TOÁN + TIẾNG VIỆT + TIẾNG ANH VỚI ƯU ĐÃI LÊN TỚI 50% NGAY HÔM NAY.
Một số mẹo tính nhanh trắc nghiệm bài tập toán hàm số đồng biến
Khi giải bài tập Toán đặc biệt với các dạng bài trắc nghiệm. Chúng ta không chỉ cần nắm rõ công thức và lý thuyết. Mà còn cần một chút mẹo nhỏ để tính nhanh ra đáp án. Dưới đây là một số mẹo nhỏ giúp bạn giải nhanh các bài tập trắc nghiệm về hàm số đồng biến.
Ví dụ: Tìm hàm số đồng biến trên khoảng R
A. y = (x2+1)2-3x
B. y = x – 1/x
C. y = x-1x
Hướng dẫn giải:
Mẹo 1: Thực hiện từ trái qua phải
Chọn đáp án B. Ta có với ý A thì y’ (0) = -3 < 0 vì vậy đáp án A bị loại. Với ý B thì y’ > 0 với mọi x thuộc R. Vì vậy đáp án B đúng nên ta dừng lại ở đây.
Mẹo 2: Sử dụng phép thử
-
Đầu tiên hàm số đồng biến trên R thì chắc chắn sẽ phải xác định trên R. Vì vậy mà đáp án C và D sẽ bị loại trừ.
-
Với đáp án A vì A là hàm số bậc bốn sẽ có đạo hàm bậc 3. Hơn nữa đa thức bậc 3 sẽ không thể dương vì vậy ta loại tiếp đáp án A. Do đó chỉ còn đáp án B là đúng đắn nhất.
-
Nhận xét: Như vậy để tìm được đáp án nhanh nhất cho bài toán trên. Bạn có thể vận dụng 1 trong 2 mẹo mà Monkey gợi ý bên trên. Với cách thức nào thì bạn vẫn phải tính đạo hàm của hàm số đó để tính nhanh nhất đáp số.
Trên đây là những kiến thức về hàm số đồng biến mà Monkey muốn gửi tới tất cả các bạn đọc. Với mong muốn lan tỏa tri thức tới bạn trẻ trên mọi miền Tổ quốc. Monkey chúc bạn học Toán thật tốt!